如何使用StarUML绘制E-R图

9,780 阅读2分钟

ER图

E-R图也称实体-联系图(Entity Relationship Diagram),提供了表示实体类型、属性和联系的方法,用来描述现实世界的概念模型。
构成E-R图的三个基本要素是实体型属性联系

绘制

打开StarUML后,会自动新建一个项目

  1. 选择上方的Model -> Add Diagram -> ER Diagram

    image-20210408183159000.png

  2. 新建ER图后,可以看见左方有ER图的工具栏

    image-20210408213102619.png
    点击Entity后,再到右边空白处点击,即可生成一个Entity对象

  3. 设置实体属性

    在图中,右击实体选择 Add->Column

    image-20210408213317401.png
    双击实体属性,可实现某些快捷操作 未命名图片.png 或者查看右下方的Editors,里面有更详细的设置

    image-20210408214243709.png
    添加属性后,点击属性,可以在Editors的Properties中点击type给属性添加类型
    image-20210410144932489.png
    还可以通过length设置属性类型的长度

    image-20210410145023197.png

  4. 设置实体之间的关系

    现有两个实体Student和Course。 image-20210410145223798.png
    可以看到左栏中的Entity-Relationship中有实体关系的连线选择

    image-20210410145345615.png

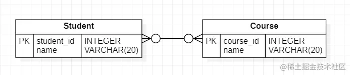
    • 假设一个学生能选多门课(可以一门都不选),每门课也能被多个学生选择(每门课都必须有至少一个学生选)
      这个情况是多对多情况,我们点击Many to Many Relationship,然后点中一个实体后,鼠标左键按住不放,拖动到另一个实体上

      image-20210410145839343.png
      点击连线,可以在Editors中进行更多的设置 image-20210410145923135.png
      因为每门课都至少对应一个学生,所以在那端,应该是1...n的关系 image-20210410150146769.png

    • 在上面的情况上添加一个班级实体,每个班级中都有学生,每个学生只有一个班级
      这种情况是一对多情况

      image-20210410150558162.png

    • 当我们选择一个关联关系后,直接点击一个实体,那么就是自关联关系。比如每个班级都有一个班长管理学生,而班长本身也是学生,这就构成了自关联关系

      image-20210410151259794.png

总结

本文介绍了在StarUML中进行一个基本的ER图绘制,还对实体之间的几种关联关系进行举例。
最后是来自官方文档的ER图示例

Main.png

参考

StarUML的ER图文档
E-R图 百度百科