用泊松分布来解释为什么HashMap的链表变树的阈值是8

1,682 阅读4分钟

前言

有网友指出《面试Java——集合之HashMap和ConcurrentHashMap》一文,关于为什么是8,还可以加一句符合泊松分布。于是我了解一下泊松分布后,确实和网友说的一致,同时非常感谢网友指出文章存在的瑕疵。接下来的内容,大头菜将试图用泊松分布来论证HashMap的链表变树的阈值为什么是8

泊松分布

首先,什么是泊松分布?

维基百科官方解释:

泊松分布(法语:loi de Poisson,英语:Poisson distribution)又称Poisson分布、帕松分布、布瓦松分布、布阿松分布、普阿松分布、波以松分布、卜氏分布、帕松小数法则(Poisson law of small numbers),是一种统计与概率学里常见到的离散概率分布,由法国数学家西莫恩·德尼·泊松在1838年时发表。
泊松分布适合于描述单位时间内随机事件发生的次数的概率分布。如某一服务设施在一定时间内受到的服务请求的次数,电话交换机接到呼叫的次数、汽车站台的候客人数、机器出现的故障数、自然灾害发生的次数、DNA序列的变异数、放射性原子核的衰变数、激光的光子数分布等等。

泊松分布的概率质量函数为:

图片摘自网络

我总结一下,简单点来说:泊松分布就是描述单位时间内,独立事件发生的次数。

简单举个例子,让大家熟悉一下:

比如:某医院平均每小时出生3个婴儿,请问下一个小时,会出生几个?

有可能出生6个,也有可能一个都不出生,这是我们没法知道的。

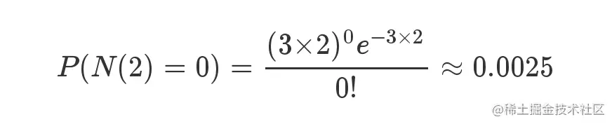
如果尝试用泊松分布来表示:等号的左边,P 表示概率,N表示某种函数关系,t 表示时间,n 表示数量,1小时内出生3个婴儿的概率,就表示为 P(N(1) = 3) 。等号的右边,λ 表示事件的频率。

接下来两个小时,一个婴儿都不出生的概率是0.25%,基本不可能发生。

图片摘自网络

接下来一个小时,至少出生两个婴儿的概率是80%。

图片摘自网络

泊松分布的图形大概是下面的样子。

图片摘自网络

可以看到,在频率附近,事件的发生概率最高,然后向两边对称下降,即变得越大和越小都不太可能。每小时出生3个婴儿,这是最可能的结果,出生得越多或越少,就越不可能。

看完例子后,你应该对泊松分布有一个大概的认识了。接下来,我们尝试使用泊松分布去分析HashMap的链表变树。

HashMap的链表变树阈值为什么是8

根据泊松分布:单位时间内,独立事件发生的次数。

HashMap的key碰撞问题,每次key的碰撞,都可以认为是一次独立事件。与上次或下次是否发生key碰撞,都无关系。

图片摘自网络

因此,用泊松分布尝试表示:P 表示概率,N表示某种函数关系,t 表示时间,n 表示数量,每1秒key发送碰撞的次数为k,就表示为 P(N(1) = k) 。等号的右边,λ 表示事件的频率。关于一个key是否发生碰撞的概率为0.5。

  • e^-0.5 = 0.6065

把相应数值代入泊松分布公式:

P(N(1)=k)=0.6065(0.5k)/k!P(N(1)=k) = 0.6065*(0.5^k)/k!

  • 当k=0时,P= 0.6065
  • 当k=1时,p= 0.3032
  • 当k=2时,p= 0.0758
  • 当k=3时,p= 0.0126
  • 当k=4时,p= 0.0015
  • 当k=5时,p= 0.0001
  • 当k=6时,p= 0.000013
  • 当k=7时,p= 0.0000009
  • 当k=8时,p= 0.00000006
  • 当k=9时,p= 0.000000003

有没有发现上述的结果有点熟悉:

对比一下HashMap的注释:

    * 0:    0.60653066
     * 1:    0.30326533
     * 2:    0.07581633
     * 3:    0.01263606
     * 4:    0.00157952
     * 5:    0.00015795
     * 6:    0.00001316
     * 7:    0.00000094
     * 8:    0.00000006
     * more: less than 1 in ten million

当k=9时,也就是发生的碰撞次数为9次时,概率为亿分之三,碰撞的概率已经无限接近为0。

如果设置为9,意味着,几乎永远都不会再次发生碰撞,换句话说,链表的长度此时为8,要发生碰撞才会从链表变树。但永远都不会变树,因为概率太小了。因此设置为9,实在没必要。

这就是链表变树的阈值为8的原因。

参考资料

  • 维基百科
  • 阮一峰的网络日志——《泊松分布和指数分布:10分钟教程》

絮叨

非常感谢你能看到这里,如果觉得文章写得不错 求关注 求点赞 求分享 (对我非常非常有用)。
如果你觉得文章有待提高,我十分期待你对我的建议,求留言。
如果你希望看到什么内容,我十分期待你的留言。
各位的捧场和支持,是我创作的最大动力!