公众号:字节数组
希望对你有所帮助 🤣🤣
本系列文章会陆续对 Java 和 Android 的集合框架(JDK 1.8,Android SDK 30)中的几个常见容器结合源码进行介绍,了解不同容器在数据结构、适用场景、优势点上的不同,希望对你有所帮助 🤣🤣
一、数组和链表
很多集合框架在底层结构都使用到了数组和链表这两种数据结构,它们在数据存储方式和优劣点这两方面有着很大区别,这里先来介绍下这两者的结构和区别
1、数组
假设现在有六个元素存放在数组中,则数组在内存中的存储结构就如下所示

- 数组是一块连续的内存空间,元素按照坐标索引依次排列,可以直接通过坐标定位到每一个数据的内存地址,例如可以直接通过坐标 3 获取到 element4,省去了从头到尾的遍历操作,因此随机读取数据的效率较高
- 相对应的,由于数组要求元素是连续存储的,因此在添加和移除数据时有可能需要移动大量数据,所以在添加和移除数据时效率较低
- 数组在使用前需要先指定其空间大小,在声明空间大小后无法再次修改。如果我们在使用前已知待存入的数据量的话,自然可以将数组初始化为目标容量,这样就不会浪费内存空间了。但实际上数据量往往是未知的,经常会因为申请了较大的内存空间导致浪费,或者是申请少了导致需要后续扩容,而数组在扩容时只能创建一个新的数组并将数据整体迁移,这就影响到了数组的运行性能
ArrayList 底层就是用数组来存储数据
2、链表
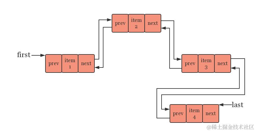
假设现在有四个元素依靠链表来存放,链表在内存中的存储结构就如下所示

- 图中所展示的是一个双向链表,即每个结点除了包含实际的数据外,还存在两个引用分别指向上一个结点(prev)和下一个结点(next),各个结点通过这种双向链接从而串联在一起。此外还存在两个引用分别指向头结点(first)和尾结点(last),方便进行正向遍历和反向遍历
- 链表不要求有连续的内存空间,新添加的结点可以在内存中的任何位置,只要上一个结点和下一个结点互相保存有对方的引用即可,这也导致在随机访问数据时只能遍历整个链表,在最坏的情况下甚至需要全量遍历。当然,可以根据实际情况来选择是正向遍历还是反向遍历,以此提高访问效率,但总的来说链表在随机访问数据时效率要比数组低
- 在添加或移除元素时,只需要修改相邻结点对指定结点的引用即可,而不需像数组那样需要移动元素,因此链表在添加和移除元素时效率较高
- 链表不需事先申请内存空间,根据实际使用情况进行动态申请即可
- 此外还存在一种单向链表的结构,即每个结点包含对下一个结点的引用 next,但不包含 prev,所以单向链表只能从头到尾进行遍历
LinkedList 底层就是用链表来存储数据
二、ArrayList
ArrayList 应该是大多数开发者使用得最为频繁的集合容器了,ArrayList 实现了 List 接口,是一个有序容器,即元素的存放顺序与添加顺序保持一致,允许添加相同元素,包括 null 。ArrayList 底层通过数组来进行数据存储,当向 ArrayList 中添加元素时如果发现数组空间不足,ArrayList 会自动对底层数组进行扩容并迁移现有数据
1、类声明
从 ArrayList 实现的接口可以看出来它是支持快速访问,可克隆,可序列化的
public class ArrayList<E> extends AbstractList<E>
implements List<E>, RandomAccess, Cloneable, java.io.Serializable
2、成员变量
ArrayList 一共包含以下几个成员变量,主要看 elementData。elementData 是用于存放数据的底层数组,由于其数据类型声明为 Object,所以可以用来存放任何类型的数据。而 ArrayList 属于泛型类,如果我们在初始化时就指定了数据类型的话,依靠 Java 泛型为我们提供的语法糖,我们在向 elementData 存取数据时编译器就会自动进行类型校验和类型转换,确保存入和取出的数据类型是安全的
//序列化ID
private static final long serialVersionUID = 8683452581122892189L;
//进行扩容操作后的最小容量
private static final int DEFAULT_CAPACITY = 10;
//如果外部为集合设置的初始化大小为 0,则将 elementData 指向此空数组
private static final Object[] EMPTY_ELEMENTDATA = {};
//如果在初始化集合时使用的是无参构造函数,则将 elementData 指向此空数组
private static final Object[] DEFAULTCAPACITY_EMPTY_ELEMENTDATA = {};
//用来存放元素的数组
transient Object[] elementData;
//集合大小
private int size;
//ArrayList 的快照版本号
protected transient int modCount = 0;
3、构造函数
如果已经知道目标数据量大小的话,在初始化 ArrayList 的时候我们可以直接传入最终的容量值,这样效率会更高一些。因为如果 initialCapacity 过大,则会造成内存浪费;如果 initialCapacity 过小,可能会导致后续需要多次扩容,每次扩容都需要复制原有数据到新数组,这会降低运行效率
如果我们使用的是无参构造函数或者是指定的 initialCapacity 为 0,此时也只会将 elementData 指向空数组,并不会新建一个数组变量
//指定集合的初始容量,以此来进行数组的初始化操作
public ArrayList(int initialCapacity) {
if (initialCapacity > 0) {
this.elementData = new Object[initialCapacity];
} else if (initialCapacity == 0) {
this.elementData = EMPTY_ELEMENTDATA;
} else {
throw new IllegalArgumentException("Illegal Capacity: "+initialCapacity);
}
}
//外部没有指定初始容量,暂且使用空数组
public ArrayList() {
this.elementData = DEFAULTCAPACITY_EMPTY_ELEMENTDATA;
}
//传入一份初始数据来进行初始化
public ArrayList(Collection<? extends E> c) {
elementData = c.toArray();
if ((size = elementData.length) != 0) {
// c.toArray might (incorrectly) not return Object[] (see 6260652)
if (elementData.getClass() != Object[].class)
elementData = Arrays.copyOf(elementData, size, Object[].class);
} else {
this.elementData = EMPTY_ELEMENTDATA;
}
}
4、获取元素
在获取指定索引处的元素时,ArrayList 都是直接通过坐标值来获取元素,无需从头遍历,所以说 ArrayList 遍历和随机访问的效率较高
@SuppressWarnings("unchecked")
E elementData(int index) {
return (E) elementData[index];
}
public E get(int index) {
//判断取值范围是否合法
rangeCheck(index);
return elementData(index);
}
5、添加元素
ArrayList 添加元素的操作就不是那么理想了。如果是直接向集合尾端添加数据,那么直接定位到该位置进行赋值即可;如果是向集合的中间位置 index 插入数据,则需要将数组中索引 index 后的所有数据向后推移一位,然后将数据插入到空出的位置上。此外,在插入数据前 elementData 可能已经空间不足了,那么还需要先进行扩容操作。扩容操作会创建一个新的符合大小的数组,并将原数组中的数据迁移到新数组中,然后让 elementData 指向新数组
由此可以看出来,向集合添加数据和进行扩容都可能会导致数组元素大量移动,所以说 ArrayList 存入数据的效率并不高
public boolean add(E e) {
//在需要的时候进行扩容
ensureCapacityInternal(size + 1);
elementData[size++] = e;
return true;
}
public void add(int index, E element) {
rangeCheckForAdd(index);
//在需要的时候进行扩容
ensureCapacityInternal(size + 1);
//将索引 index 后的所有数值向后推移一位
System.arraycopy(elementData, index, elementData, index + 1,size - index);
elementData[index] = element;
size++;
}
以上说的是存入单个数据的情况,此外还有存入整个集合的情况
//如果待添加的数据不为空则返回 true,否则返回 false
public boolean addAll(Collection<? extends E> c) {
Object[] a = c.toArray();
int numNew = a.length;
ensureCapacityInternal(size + numNew);
//将数组 a 复制到 elementData 的尾端
System.arraycopy(a, 0, elementData, size, numNew);
size += numNew;
return numNew != 0;
}
//从指定索引处添加数据,如果待添加的数据不为空则返回 true,否则返回 false
public boolean addAll(int index, Collection<? extends E> c) {
rangeCheckForAdd(index);
Object[] a = c.toArray();
int numNew = a.length;
ensureCapacityInternal(size + numNew);
//需要移动的数组元素数量
int numMoved = size - index;
//因为要添加的数据可能刚好是从数组最尾端开始添加,所以 numMoved 可能为 0
//所以只在 numMoved > 0 的时候才需要对数组的元素值进行移动,以此空出位置给数组 a
if (numMoved > 0)
System.arraycopy(elementData, index, elementData, index + numNew, numMoved);
//将数组 a 包含的数据添加到 elementData 中
System.arraycopy(a, 0, elementData, index, numNew);
size += numNew;
return numNew != 0;
}
6、移除元素
因为数组是一种内存地址连续的数据结构,所以移除某个元素同样可能导致大量元素移动
//移除指定索引处的元素值,并返回该值
public E remove(int index) {
rangeCheck(index);
modCount++;
//待移除的元素值
E oldValue = elementData(index);
//因为要移除元素导致需要移动的元素数量
int numMoved = size - index - 1;
//因为要移除的元素可能刚好是数组最后一位,所以 numMoved 可能为 0
//所以只在 numMoved > 0 的时候才需要对数组的元素值进行移动
if (numMoved > 0)
System.arraycopy(elementData, index+1, elementData, index, numMoved);
//不管数组是否需要对元素值进行移动,数组的最后一位都是无效数据了
//此处将之置为 null 以帮助GC回收
elementData[--size] = null;
return oldValue;
}
//移除集合中包含的第一位元素值为 o 的对象
//如果包含该对象,则返回 true ,否则返回 false
public boolean remove(Object o) {
if (o == null) {
for (int index = 0; index < size; index++)
if (elementData[index] == null) {
fastRemove(index);
return true;
}
} else {
for (int index = 0; index < size; index++)
if (o.equals(elementData[index])) {
fastRemove(index);
return true;
}
}
return false;
}
7、扩容机制
再来看下数组的扩容机制的具体实现逻辑
ensureCapacity 方法的入参参数 minCapacity 就用于指定希望扩容后的最小空间,但 minCapacity 最终不会小于 DEFAULT_CAPACITY,即扩容后的数组容量不会小于 10。之所以要进行最小容量的限制,是为了减少多次扩容的可能性,10 以内的数组很容易就发生扩容
如果在初始化 ArrayList 前已知目标数据的数据量,最好就使用ArrayList(int initialCapacity)来进行初始化,直接让底层数组扩充到目标大小,或者是在添加数据前就调用 ensureCapacity 方法直接让数组扩容到目标大小,避免之后赋值过程中多次扩容
public void ensureCapacity(int minCapacity) {
int minExpand = (elementData != DEFAULTCAPACITY_EMPTY_ELEMENTDATA)
? 0
: DEFAULT_CAPACITY;
if (minCapacity > minExpand) {
ensureExplicitCapacity(minCapacity);
}
}
private void ensureCapacityInternal(int minCapacity) {
if (elementData == DEFAULTCAPACITY_EMPTY_ELEMENTDATA) {
minCapacity = Math.max(DEFAULT_CAPACITY, minCapacity);
}
ensureExplicitCapacity(minCapacity);
}
private void ensureExplicitCapacity(int minCapacity) {
modCount++;
//如果当前数组大小的确是比需要的最小空间 minCapacity 小,则进行扩容
if (minCapacity - elementData.length > 0)
grow(minCapacity);
}
实际上完成扩容操作的是 grow(int minCapacity) 方法。在扩容前,会先判断如果将容量提升到当前的 1.5 倍是否能达到 minCapacity 的要求 ,如果符合要求则直接将容量扩充到当前的 1.5 倍,否则扩充到 minCapacity,但最终容量不能大于 Integer.MAX_VALUE
构建出一个新的符合大小的数组后,就将原数组中的元素复制到新数组中,至此就完成了扩容
//数组可扩容到的最大容量
private static final int MAX_ARRAY_SIZE = Integer.MAX_VALUE - 8;
private void grow(int minCapacity) {
int oldCapacity = elementData.length;
//假设扩容后的空间大小是原先的1.5倍
int newCapacity = oldCapacity + (oldCapacity >> 1);
if (newCapacity - minCapacity < 0)
newCapacity = minCapacity;
if (newCapacity - MAX_ARRAY_SIZE > 0)
newCapacity = hugeCapacity(minCapacity);
elementData = Arrays.copyOf(elementData, newCapacity);
}
8、修改元素
//将索引 index 出的元素值置为 element,并返回原始数值
public E set(int index, E element) {
rangeCheck(index);
E oldValue = elementData(index);
elementData[index] = element;
return oldValue;
}
9、遍历数组
遍历数组的方法包含以下几个,逻辑都比较简单,直接看注释即可。一个比较重要的知识点是看方法内部对 modCount 的校验
@Override
public void forEach(Consumer<? super E> action) {
Objects.requireNonNull(action);
final int expectedModCount = modCount;
@SuppressWarnings("unchecked")
final E[] elementData = (E[]) this.elementData;
final int size = this.size;
for (int i=0; modCount == expectedModCount && i < size; i++) {
//将集合元素依次传递给 accept 方法
action.accept(elementData[i]);
}
//如果 modCount 值被改动了,说明遍历过程中数组有被改动到
//那么就停止遍历并抛出异常
if (modCount != expectedModCount) {
throw new ConcurrentModificationException();
}
}
//按照给定规则对集合元素进行过滤,如果元素符合过滤规则那就将之移除
@Override
public boolean removeIf(Predicate<? super E> filter) {
Objects.requireNonNull(filter);
//要移除的元素个数
int removeCount = 0;
//用于标记集合是哪个索引位置需要被移除
final BitSet removeSet = new BitSet(size);
final int expectedModCount = modCount;
final int size = this.size;
for (int i=0; modCount == expectedModCount && i < size; i++) {
@SuppressWarnings("unchecked")
final E element = (E) elementData[i];
//依次判断集合元素是否符合过滤规则
if (filter.test(element)) {
//set 方法将导致索引位置 i 的元素变为 true
removeSet.set(i);
removeCount++;
}
}
//不允许在排序的过程中集合被其它方法修改了数组(例如:移除元素)
if (modCount != expectedModCount) {
throw new ConcurrentModificationException();
}
//只有 removeCount > 0 才说明需要移除元素
final boolean anyToRemove = removeCount > 0;
if (anyToRemove) {
//集合移除指定元素后的大小
final int newSize = size - removeCount;
for (int i=0, j=0; (i < size) && (j < newSize); i++, j++) {
//略过被标记为 true 的位置,直接跳到不需要移除元素的数组索引位
i = removeSet.nextClearBit(i);
//有效数据逐渐从尾部向头部聚集
elementData[j] = elementData[i];
}
//移除尾部的无效数据,有利于GC回收
for (int k=newSize; k < size; k++) {
elementData[k] = null;
}
this.size = newSize;
//不允许在排序的过程中集合被其它方法修改了数组(例如:移除元素)
if (modCount != expectedModCount) {
throw new ConcurrentModificationException();
}
modCount++;
}
return anyToRemove;
}
//将集合元素遍历传递给 operator,并将原始数据替换为 operator 的返回值
@Override
@SuppressWarnings("unchecked")
public void replaceAll(UnaryOperator<E> operator) {
Objects.requireNonNull(operator);
final int expectedModCount = modCount;
final int size = this.size;
for (int i=0; modCount == expectedModCount && i < size; i++) {
//依次传递数组元素给 apply 方法,并将其返回值替换原始数据
elementData[i] = operator.apply((E) elementData[i]);
}
//不允许在排序的过程中集合被其它方法修改了数组(例如:移除元素)
if (modCount != expectedModCount) {
throw new ConcurrentModificationException();
}
modCount++;
}
10、迭代器
ArrayList 内部包含一个用于迭代元素的 Iterator 实现类,其用法如下所示
public static void main(String[] args) {
List<String> stringList = new ArrayList<>();
stringList.add("https://github.com/leavesCZY");
Iterator<String> iterator = stringList.iterator();
if (iterator.hasNext()) {
String next = iterator.next();
System.out.println(next);
}
}
在这里有个小细节,ArrayList 里多处使用到了 modCount 这个成员变量,modCount 相当于对 ArrayList 的一个简单“快照”,即类似于 ArrayList 的一个版本号,每当添加、移除和修改元素时,modCount 都会递增
在我们遍历 ArrayList 的过程中,如果同时进行增减元素的操作,或者是存在多线程同时增减元素,那么就会导致遍历结果变得不可靠,或者是直接就导致数组越界异常,所以 ArrayList 就通过 modCount 来标记当前的迭代行为是否处于可靠状态。如果在遍历数组元素的过程中判断到 modCount 的值前后发生了变化,就说明在遍历过程中 ArrayList 被改动了,此时就认定遍历结果不可靠,直接抛出异常。需要注意的是,modCount 做的只是一个简单校验,无法准确判断出当前的遍历操作就真的是安全的
protected transient int modCount = 0;
public Iterator<E> iterator() {
return new Itr();
}
private class Itr implements Iterator<E> {
//lastRet 指向的元素的下一个元素的索引
int cursor;
//最后一个返回的元素的索引
//如果值为 -1,说明还未返回过元素或者改元素被移除了
int lastRet = -1;
//用于验证集合的数据结构在迭代的过程中是否被修改了
int expectedModCount = modCount;
//是否还有元素未被遍历
public boolean hasNext() {
return cursor != size;
}
//获取下一个元素
@SuppressWarnings("unchecked")
public E next() {
checkForComodification();
int i = cursor;
//如果索引值超出取值范围则抛出异常
if (i >= size)
throw new NoSuchElementException();
Object[] elementData = ArrayList.this.elementData;
//如果索引值超出数组的可索引范围则抛出异常
if (i >= elementData.length)
throw new ConcurrentModificationException();
cursor = i + 1;
return (E) elementData[lastRet = i];
}
//移除 lastRet 指向的元素
public void remove() {
if (lastRet < 0)
throw new IllegalStateException();
checkForComodification();
try {
ArrayList.this.remove(lastRet);
//因为 lastRet 位置原始的元素被移除了,所以此时 lastRet 指向的元素是原先 lastRet+1 位置的元素
cursor = lastRet;
lastRet = -1;
//因为是 Itr 主动对集合进行修改,所以此处需要主动更新 expectedModCount 值,避免之后抛出异常
expectedModCount = modCount;
} catch (IndexOutOfBoundsException ex) {
throw new ConcurrentModificationException();
}
}
//遍历从索引 cursor 开始之后剩下的元素
@Override
@SuppressWarnings("unchecked")
public void forEachRemaining(Consumer<? super E> consumer) {
Objects.requireNonNull(consumer);
final int size = ArrayList.this.size;
int i = cursor;
if (i >= size) {
return;
}
final Object[] elementData = ArrayList.this.elementData;
if (i >= elementData.length) {
throw new ConcurrentModificationException();
}
//遍历调用 accept 方法
while (i != size && modCount == expectedModCount) {
consumer.accept((E) elementData[i++]);
}
cursor = i;
lastRet = i - 1;
checkForComodification();
}
//判断迭代器在遍历集合的过程中,集合是否被外部改动了(例如被其它迭代器移除了元素)
//如果是的话则抛出异常
final void checkForComodification() {
if (modCount != expectedModCount)
throw new ConcurrentModificationException();
}
}
11、效率测试
最后再来测试下 ArrayList 扩容次数的高低对其运行效率的影响
对三个 ArrayList 存入相同数据量的数据,但分别为 ArrayList 指定不同的初始化大小
public static void main(String[] args) {
long startTime = System.currentTimeMillis();
List<String> stringList = new ArrayList<>();
for (int i = 0; i < 300000; i++) {
stringList.add("leavesC " + i);
}
long endTime = System.currentTimeMillis();
System.out.println("初始容量为0,所用时间:" + (endTime - startTime) + "毫秒");
startTime = System.currentTimeMillis();
List<String> stringList2 = new ArrayList<>(100000);
for (int i = 0; i < 300000; i++) {
stringList2.add("leavesC " + i);
}
endTime = System.currentTimeMillis();
System.out.println("初始容量为100000,所用时间:" + (endTime - startTime) + "毫秒");
startTime = System.currentTimeMillis();
List<String> stringList3 = new ArrayList<>(300000);
for (int i = 0; i < 300000; i++) {
stringList3.add("leavesC " + i);
}
endTime = System.currentTimeMillis();
System.out.println("初始容量为300000,所用时间:" + (endTime - startTime) + "毫秒");
}
三种方式下 ArrayList 之间的运行效率差距还是很大的,虽然这种测试方法并不严谨,但也可以看到在省去扩容操作后 ArrayList 的运行效率还是提升了很多的
初始容量为0,所用时间:39毫秒
初始容量为100000,所用时间:32毫秒
初始容量为300000,所用时间:13毫秒
三、LinkedList
LinkedList 同时实现了 List 接口和 Deque 接口,所以既可以将 LinkedList 当做一个有序容器,也可以将之看作一个队列(Queue),同时又可以看作一个栈(Stack)。虽然 LinkedList 和 ArrayList 一样都实现了 List 接口,但其底层是通过双向链表来实现的,所以插入和删除元素的效率都要比 ArrayList 高,但也因此随机访问的效率要比 ArrayList 低
1、类声明
从 LinkedList 实现的几个接口可以看出来,LinkedList 是支持快速访问,可克隆,可序列化的,而且可以将之看成一个支持有序访问的队列或者栈
public class LinkedList<E> extends AbstractSequentialList<E>
implements List<E>, Deque<E>, Cloneable, java.io.Serializable
LinkedList 内部通过双向链表的数据结构来实现的,每个链表结点除了存储本结点的数据元素外,还有两个指针分别用于指向其上下两个相邻结点,这个结点就是 LinkedList 中的静态类 Node
private static class Node<E> {
//当前结点包含的实际元素
E item;
//指向下一个结点
Node<E> next;
//指向上一个结点
Node<E> prev;
Node(Node<E> prev, E element, Node<E> next) {
this.item = element;
this.next = next;
this.prev = prev;
}
}
2、成员变量
//双向链表包含的结点总数,即数据总量
transient int size = 0;
//双向链表的头结点
transient Node<E> first;
//双向链表的尾结点
transient Node<E> last;
//序列化ID
private static final long serialVersionUID = 876323262645176354L;
当中的成员变量 first 和 last 分别用于指向链表的头部和尾部结点,因此 LinkedList 的数据结构图是类似于这样的

3、构造函数
LinkedList 不需要去请求一片连续的内存空间来存储数据,而是在每次有新的元素需要添加时再来动态请求内存空间,因此 LinkedList 的两个构造函数都很简单
public LinkedList() {
}
//传入初始数据
public LinkedList(Collection<? extends E> c) {
this();
addAll(c);
}
4、添加元素
add(E e) 方法用于向链表的尾部添加结点,因为有 last 指向链表的尾结点,因此向尾部添加新元素只需要修改几个引用即可,效率较高
//将元素 e 作为尾结点添加
//因为 LinkedList 允许添加相同元素,所以此方法固定返回 true
public boolean add(E e) {
linkLast(e);
return true;
}
//将元素 e 置为尾结点
void linkLast(E e) {
//先保存原尾结点
final Node<E> l = last;
//构建新的尾结点,并指向原尾结点
final Node<E> newNode = new Node<>(l, e, null);
last = newNode;
//如果原尾结点为 null,说明原链表包含的元素个数为 0,则此时插入的尾结点同时即为头结点
//如果原尾结点不为 null,则将 next 指向新的尾结点
if (l == null)
first = newNode;
else
l.next = newNode;
//元素个数加1
size++;
modCount++;
}

add(int index, E element) 方法用于向指定索引处添加元素,需要先通过索引 index 获取相应位置的结点,并在该位置开辟一个新的结点来存储元素 element,最后还需要修改相邻结点间的引用
//在索引 index 处插入元素 element
public void add(int index, E element) {
//判断索引大小是否合法,不合法则抛出 IndexOutOfBoundsException
checkPositionIndex(index);
//如果 index == size,则将 element 作为尾结点来添加
//否则则在索引 index 前开辟一个新结点
if (index == size)
linkLast(element);
else
linkBefore(element, node(index));
}
//将元素 e 置为 succ 结点的上一个结点
void linkBefore(E e, Node<E> succ) {
//保存 succ 的上一个结点信息
final Node<E> pred = succ.prev;
//构建元素 e 对应的结点
final Node<E> newNode = new Node<>(pred, e, succ);
//将结点 succ 的上一个结点指向 newNode
succ.prev = newNode;
//如果 pred 为 null,说明 succ 是头结点,则将 newNode 置为新的头结点
if (pred == null)
first = newNode;
else
pred.next = newNode;
//元素个数加1
size++;
modCount++;
}

5、移除元素
remove() 方法有两种重载形式,其内部都是通过调用 unlink(Node<E> x) 方法来移除指定结点在链表中的引用,不同于 ArrayList 在移除元素时可能导致的大量数据移动,LinkedList 只需要通过移除引用即可将指定元素从链表中移除
//移除索引 index 处的结点
public E remove(int index) {
//判断索引大小是否合法,不合法则抛出 IndexOutOfBoundsException
checkElementIndex(index);
return unlink(node(index));
}
//对链表进行正向遍历,移除第一个元素值为 o 的结点
//如果移除成功则返回 true,否则返回 false
public boolean remove(Object o) {
if (o == null) {
for (Node<E> x = first; x != null; x = x.next) {
if (x.item == null) {
//移除结点 x
unlink(x);
return true;
}
}
} else {
for (Node<E> x = first; x != null; x = x.next) {
if (o.equals(x.item)) {
//移除结点 x
unlink(x);
return true;
}
}
}
return false;
}
//移除结点 x 并返回其包含的元素值
E unlink(Node<E> x) {
final E element = x.item;
final Node<E> next = x.next;
final Node<E> prev = x.prev;
//如果 prev == null,说明结点 x 为头结点,则将头结点置为原先的第二个结点
//如果 prev != null,则移除对结点 x 的引用
if (prev == null) {
first = next;
} else {
prev.next = next;
x.prev = null;
}
//如果 next == null,则说明结点 x 为尾结点,则将尾结点置为原先的倒数第二个结点
//如果 next != null,则移除对结点 x 的引用
if (next == null) {
last = prev;
} else {
next.prev = prev;
x.next = null;
}
//帮助GC回收
x.item = null;
//元素个数减1
size--;
modCount++;
return element;
}
6、随机访问元素
对于单向链表来说,如果想随机定位到某个结点,那么只能通过从头结点开始遍历的方式来定位,最极端的情况下需要遍历整个链表才能定位到目标结点。如果是双向链表,则可以选择正向遍历或者反向遍历,最极端的情况下需要遍历一半链表才能定位到目标结点。所以,相比数组来说 LinkedList 的随机访问效率并不高
//获取索引 index 处的结点元素
public E get(int index) {
//判断索引大小是否合法,不合法则抛出 IndexOutOfBoundsException
checkElementIndex(index);
return node(index).item;
}
//将索引 index 处的结点包含的元素修改为 element,并返回旧元素
public E set(int index, E element) {
//判断索引大小是否合法,不合法则抛出 IndexOutOfBoundsException
checkElementIndex(index);
Node<E> x = node(index);
E oldVal = x.item;
x.item = element;
return oldVal;
}
//获取索引 index 处的结点
Node<E> node(int index) {
//size >> 1 的含义即为:将 size 值除以 2
//如果 index 靠近链表的头部,则从头部向尾部正向遍历查找结点
//如果 index 靠近链表的尾部,则从尾部向头部反向遍历查找结点
//最极端的情况下遍历一半元素才能定位到目标节点
if (index < (size >> 1)) {
Node<E> x = first;
for (int i = 0; i < index; i++)
x = x.next;
return x;
} else {
Node<E> x = last;
for (int i = size - 1; i > index; i--)
x = x.prev;
return x;
}
}
7、几个常用的方法
//判断是否包含元素 o
public boolean contains(Object o) {
return indexOf(o) != -1;
}
//获取元素个数
public int size() {
return size;
}
//清空链表元素,将各个结点之间的引用都切断
public void clear() {
for (Node<E> x = first; x != null; ) {
Node<E> next = x.next;
x.item = null;
x.next = null;
x.prev = null;
x = next;
}
first = last = null;
size = 0;
modCount++;
}
//返回第一个元素值为 o 的结点所在的索引值
//如果查找不到,则返回 -1
public int indexOf(Object o) {
int index = 0;
if (o == null) {
for (Node<E> x = first; x != null; x = x.next) {
if (x.item == null)
return index;
index++;
}
} else {
for (Node<E> x = first; x != null; x = x.next) {
if (o.equals(x.item))
return index;
index++;
}
}
return -1;
}
//返回最后一个元素值为 o 的结点所在的索引值
//如果查找不到,则返回 -1
public int lastIndexOf(Object o) {
int index = size;
if (o == null) {
for (Node<E> x = last; x != null; x = x.prev) {
index--;
if (x.item == null)
return index;
}
} else {
for (Node<E> x = last; x != null; x = x.prev) {
index--;
if (o.equals(x.item))
return index;
}
}
return -1;
}
8、Deque 接口
以上介绍的几个方法都是 List 接口中所声明的,接下来看下 Deque 接口中的方法
其实 Deque 接口中很多方法的含义都是类似的,且一些方法都是相互调用的,并不算复杂
//将元素 e 置为头结点
public void addFirst(E e) {
linkFirst(e);
}
//将元素 e 置为尾结点
public void addLast(E e) {
linkLast(e);
}
//将元素 e 作为尾结点添加
public boolean offer(E e) {
return add(e);
}
//将元素 e 作为头结点添加
public boolean offerFirst(E e) {
addFirst(e);
return true;
}
//将元素 e 作为尾结点添加
public boolean offerLast(E e) {
addLast(e);
return true;
}
//获取头部结点的元素值
public E peekFirst() {
final Node<E> f = first;
return (f == null) ? null : f.item;
}
//获取尾部结点的元素值
public E peekLast() {
final Node<E> l = last;
return (l == null) ? null : l.item;
}
//获取头部结点的元素值,并将之从链表中移除
public E pollFirst() {
final Node<E> f = first;
return (f == null) ? null : unlinkFirst(f);
}
//获取尾部结点的元素值,并将之从链表中移除
public E pollLast() {
final Node<E> l = last;
return (l == null) ? null : unlinkLast(l);
}
//将元素 e 作为头结点添加
public void push(E e) {
addFirst(e);
}
//获取头部结点的元素值,并将之从链表中移除
public E pop() {
return removeFirst();
}
//从链表头部向尾部正向遍历,移除第一个元素值为 o 的结点
//如果移除成功则返回 true,否则返回 false
public boolean removeFirstOccurrence(Object o) {
return remove(o);
}
//从链表尾部向头部反向遍历,移除第一个元素值为 o 的结点
//如果移除成功则返回 true,否则返回 false
public boolean removeLastOccurrence(Object o) {
if (o == null) {
for (Node<E> x = last; x != null; x = x.prev) {
if (x.item == null) {
unlink(x);
return true;
}
}
} else {
for (Node<E> x = last; x != null; x = x.prev) {
if (o.equals(x.item)) {
unlink(x);
return true;
}
}
}
return false;
}
9、效率测试
上面说过,LinkedList 相比 ArrayList 在添加和移除元素时效率上会高很多,但随机访问元素的效率要比 ArrayList 低,这里也来做个测试,验证两者之间的差别
分别向 ArrayList 和 LinkedList 存入同等数据量的数据,然后各自移除 100 个元素以及遍历 10000 个元素,观察两者所用的时间
ArrayList:
public static void main(String[] args) {
List<String> stringArrayList = new ArrayList<>();
for (int i = 0; i < 300000; i++) {
stringArrayList.add("leavesC " + i);
}
long startTime = System.currentTimeMillis();
for (int i = 0; i < 100; i++) {
stringArrayList.remove(100 + i);
}
long endTime = System.currentTimeMillis();
System.out.println("移除 ArrayList 中的100个元素,用时:" + (endTime - startTime) + "毫秒");
startTime = System.currentTimeMillis();
for (int i = 0; i < 10000; i++) {
stringArrayList.get(i);
}
endTime = System.currentTimeMillis();
System.out.println("遍历 ArrayList 中的10000个元素,用时:" + (endTime - startTime) + "毫秒");
}
LinkedList:
public static void main(String[] args) {
List<String> stringLinkedList = new LinkedList<>();
for (int i = 0; i < 300000; i++) {
stringLinkedList.add("leavesC " + i);
}
long startTime = System.currentTimeMillis();
for (int i = 0; i < 100; i++) {
stringLinkedList.remove(100 + i);
}
long endTime = System.currentTimeMillis();
System.out.println("移除 LinkedList 中的100个元素,用时:" + (endTime - startTime) + "毫秒");
startTime = System.currentTimeMillis();
for (int i = 0; i < 10000; i++) {
stringLinkedList.get(i);
}
endTime = System.currentTimeMillis();
System.out.println("遍历 LinkedList 中的10000个元素,用时:" + (endTime - startTime) + "毫秒");
}
可以看出来两者之间的差距还是非常大的,在使用集合框架前需要根据实际应用场景来决定使用哪一个
移除 ArrayList 中的100个元素,用时:18毫秒
遍历 ArrayList 中的10000个元素,用时:1毫秒
移除 LinkedList 中的100个元素,用时:0毫秒
遍历 LinkedList 中的10000个元素,用时:237毫秒