图片质量评估论文 | 无监督SER-FIQ | CVPR2020

790 阅读2分钟
  • 论文名称:SER-FIQ: Unsupervised Estimation of Face Image Quality Based on Stochastic Embedding Robustness
  • 论文链接:arxiv.org/abs/2003.09…

0 综述

这可能是我看CVPR论文中,唯一一个5分钟就看完原理的论文了,简单有趣。这一篇文章是CVPR2020的与图像质量评估相关的文章,整体思想比较新颖,而且是无监督的方式,感觉构思不错,我要好好读读这一篇。

1 细节

人脸质量评估的目的是评估一个人脸图片与面部识别算法的适用性,什么是高质量的人脸图片?不是看的清晰的,而是可以正确被面部识别算法识别的。

基于这种思想,计算人脸识别算法的随机子网络的输出的方差,得到图片的鲁棒性,从而反应图片的质量,如下图:

上图中的随机子网络,其实就是dropout实现的全连接层,所以要求人脸识别模型中必须包含dropout层。

作者对于每个图片,随机构建了m个随机子网络,然后对m个输出计算方差。我们用数学来表示这m个随机子网络的输出:

X(I)={xs},s1,2,...,mX(I)=\{x_s\}, s \in {1,2,...,m}

其中I表示原始图像,m为随机子网络的数量,sms_m表示第m个随机子网络,输入I的时候的输出。

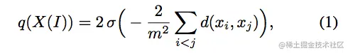
那么我们用下面的公式来计算图像I的quality score:

这样质量分数是在0和1之间的一个数字。

这个流程图也很简单,跟我们刚才说的一样。

2 总结

上图是一个实验结果图,不同模型的之间的对比。论文后面用大量篇幅在各种人面识别模型和数据集上做实验和对比,这里就不多描述了。回头有机会,这个方法可以试一试,简单又有意思。