JS实现树结构

2,694 阅读4分钟

树(Tree)

树的定义

树是由根结点和若干颗子树构成的。树是由一个集合以及在该集合上定义的一种关系构成的。集合中的元素称为树的结点,所定义的关系称为父子关系。父子关系在树的结点之间建立了一个层次结构。在这种层次结构中有一个结点具有特殊的地位,这个结点称为该树的根结点,或称为树根。

  1. 树(Tree): n(n>= 0) 个结点构成的有限集合。

    ​ 当n = 0时,称为空树

  2. 结点的度(Degree): 节点的子树个数>= 1

  3. 树的度:树的所有结点中最大的度数

  4. 叶子结点:度为0的结点

  5. 路径和路径长度: 结点之间的线段数,如a-b-c 为2

  6. 结点的层次:规定根结点在1层,其他任意结点的层数是其父结点的层数加1

  7. 树的深度:树中所有节点的最大层次

树的表示方式

  1. 普通表示法

    这种表示法实现起来较复杂,采用数组的实现方式,子节点过多时,数组的维度越大,效率更低。

  2. 兄弟结点表示法

    这种表示方法可采用链表来实现,即保证兄弟之间的位置,都根据左右结点来表示,即转成二叉树的实现方式,也就是说,所有的树结构都可以转成二叉树的形式。

    // A结点
    Node {
        this.data = data;
        this.leftChild = B;
        this.rightSibling = C
    }
    // C结点
    Node {
        this.data = data;
        this.leftChild = G;
        this.rightSibling = D
    }
    

二叉树

二叉树:每个节点最多含有两个子树的树称为二叉树;

特点

  1. 一个二叉树第i层的最大结点树为: 2^(i - 1)
  2. 深度为k的二叉树中最多含有2^k-1个节点
  3. 在二叉树中,有n0个叶子结点,n2个度为2的节点,则n0 = n2 + 1

特殊类型

满二叉树:叶节点除外的所有节点均含有两个子树的树被称为满二叉树

完全二叉树:除最后一层外,其他各层的节点数都达到最大值,且最后一层从左向右的叶节点连续存在,只缺右侧若干节点。

存储

二叉树的存储常见的方式是数组和链表

  1. 使用数组: 完美二叉树或者完全二叉树

  1. 使用链表: 非完全二叉树

    因为如果继续使用数组的话,会造成空间浪费。


二叉搜索树

特点

左节点的key值 < 父节点的key值 < 右节点的key

代码实现

  1. 初始化二叉树代码

    • 这里采用的是简单的三个属性

      key: 用来保存值的大小

      left: 用来表示左子树

      right: 用来表示右字数

    function BinarySearchTree() {
      // 节点元素
      function Node(key) {
        this.key = key // 这里简单的实现key为数字的,也可以保存为key-value的键值对
        this.left = null;
        this.right = null;
      }
    
      //初始化根节点
      this.root = null;
    }
    
  2. 插入操作

    1. 判断是否有root根节点 --> 没有则直接添加为root

    2. 有根节点 -->添加递归插入方法

    3. 判断是添加在左节点还是右节点 --> 若是添加在左节点,判断是否为nullnull则添加,反之,则一样。

    BinarySearchTree.prototype.insert = (key) => {
        // 1. 创建节点元素
        const newNode = new Node(key);
        // 2. 判断是否有root根节点
        if(this.root === null) {
          this.root = newNode
        }else {
          insertNode(this.root, newNode)
        }
      }
    
      // 插入递归操作
      function insertNode(oldNode, newNode) {
        // 1. 判断是在左节点还是在右节点
        if( newNode.key < oldNode.key) {
          // 2. 判断左节点是否为null
          if(oldNode.left === null) {
            // 为null时,直接添加在后面
            oldNode.left = newNode;
          }else {
            // 不为null,则需要重新递归
            insertNode(oldNode.left, newNode)
          }
        }else {
          // 同上
          if(oldNode.right === null) {
            oldNode.right = newNode;
          }else {
            insertNode(oldNode.right, newNode)
          }
        }
      }
    
    
    
    // 测试插入代码
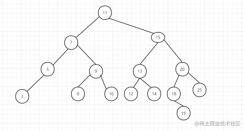
    const bsts = new BinarySearchTree();
    bsts.insert(11)
    bsts.insert(7)
    bsts.insert(15)
    bsts.insert(5)
    bsts.insert(9)
    bsts.insert(13)
    bsts.insert(20)
    bsts.insert(3)
    bsts.insert(8)
    bsts.insert(10)
    bsts.insert(12)
    bsts.insert(14)
    bsts.insert(18)
    bsts.insert(25)
    bsts.insert(19)
    
    1. 添加完测试代码后,视图如下:

  3. 遍历操作

    1. 先序遍历

      1. 处理根节点

      2. 先序遍历左节点

      3. 先序遍历右节点

        BinarySearchTree.prototype.preOrder = function(cb) {
          _preOrderNode(this.root, cb)
        }
        // 先序遍历递归函数
        function _preOrderNode(node, cb) {
          // 如果在处理过程中,左右子树都为null后,则停止递归
          if(node !== null) {
            // 1处理key,将node.key通过callback函数进行累加
            cb(node.key);
            // 2处理经过的左子树
            _preOrderNode(node.left, cb)
            // 3处理经过的右子树
            _preOrderNode(node.right, cb)
      
          }
        }
      
    2. 中序遍历

      1. 中序遍历左节点

      2. 找到根节点

      3. 中序遍历右节点

      BinarySearchTree.prototype.midOrder = function(cb) {
          _midOrderNode(this.root, cb)
        }
        function _midOrderNode(node, cb) {
          if(node !== null) {
            //  1. 中序遍历左节点
            _midOrderNode(node.left, cb)
            //  2. 找到根节点
            cb(node.key)
            //  3. 中序遍历右节点
            _midOrderNode(node.right, cb)
          }
        }
      
    3. 后序遍历

      1. 后序遍历左子树节点

      2. 后序遍历右子树节点

      3. 找到根节点

      BinarySearchTree.prototype.postOrder = function(cb) {
          _postOrderNode(this.root, cb)
        }
        function _postOrderNode(node, cb) {
          if(node !== null) {
            //  1. 后序遍历左子树节点
            _postOrderNode(node.left, cb)
            //  2. 后序遍历右子树节点
            _postOrderNode(node.right, cb)
            //  3. 找到根节点
            cb(node.key)
          }
        }
      
      
    4. 测试代码

      // 先序遍历测试
      let pre = ""
      bst.preOrder((key) => {
        pre += key + " "
      })
      console.log("先序遍历测试" + pre)
      
      // 中序遍历测试
      let mid = ""
      bst.midOrder((key) => {
        mid += key + " "
      })
      console.log("中序遍历测试" + mid)
      
      
      // 后序遍历测试
      let post = ""
      bst.postOrder((key) => {
        post += key + " "
      })
      console.log("后序遍历测试" +post)
      
      
      序遍历测试11 7 5 3 9 8 10 15 13 12 14 20 18 19 25
      中序遍历测试3 5 7 8 9 10 11 12 13 14 15 18 19 20 25
      后序遍历测试3 5 8 10 9 7 12 14 13 19 18 25 20 15 11
      
  4. 查找最值

    结合二叉搜索树的特点,左子树节点 < 父节点 < 右子树节点

    /**
       * 最大值max
       * 在当右子树为null时,所在的元素为最大
       */
      BinarySearchTree.prototype.max = () => {
        let node = this.root
        let key = null
        while(node) {
          key = node.key
          node = node.right
        }
        return key
      }
    
      /**
       * 最小值min
       * 在当左子树为null时,所在的元素为最小
       */
      BinarySearchTree.prototype.min = () => {
        let node = this.root
        let key = null
        while(node) {
          key = node.key
          node = node.left
        }
        return key
      }
    
  5. 搜索是否存在某个key

     /**
       * 搜索是否存在某个key
       */
      BinarySearchTree.prototype.search = (key) => {
        let current = this.root;
        while(current) {
          if(key < current.key) {
            current = current.left
          }else if (key > current.key){
            current = current.right;
          }else {
            return true
          }
        }
        return false;
      }
    
  6. 删除操作

    1. 若key为叶子节点,key的父节点指向null

    2. 若key后只有一个节点,这key的父节点指向key的子节点

    3. 若key后有两个节点,需要考虑前驱或者后继节点来填补,再调整后续的节点变动

    /**
       * 删除某个key
       * 1 若key为叶子节点,key的父节点指向null
       * 2 若key后只有一个节点,这key的父节点指向key的子节点
       * 3.若key后有两个节点,需要考虑前驱或者后继节点来填补,再调整后续的节点变动
       */
      BinarySearchTree.prototype.remove = (key) => {
        let current = this.root;
        // 需要记录parent,isLeftChild是左节点还是右节点
        let parent = this.root;
        let isLeftChild = true
        // 找出当前key所在位置
        while(current.key !== key) {
          parent = current
          if(key < current.key) {
            current = current.left
            isLeftChild = true
          }else {
            current = current.right
            isLeftChild = false
          }
          // 如果current为null,则直接退出
          if (current === null) {
            return false;
          }
        }
        const type = isLeftChild ? 'left' : 'right';
        // 当只有叶子节点
        if(current.left === null && current.right === null) {
          if(current.key === this.root.key) {
            this.root = null
          }else {
            parent[type] = null
          }
        }
        // 只有一个左子树节点,则需要将parent指向子节点
        else if (current.left === null && current.right) {
          // 将父节点指向子节点
          parent[type] = current.right
        } else if (current.right === null && current.left) {
          parent[type] = current.left
        }
        // 有两个子节点,可以找出前驱或者后继
        // 这里采用的是后继的做法,即比删除节点大一点点的树,即在右子树的最最最左节点
        else {
          // 找出后继节点
          const node = _closeBigger(current.right)
          if(current.key === this.root.key) {
            this.root = node
            node.left = current.left
          }else {
            if(isLeftChild) {
              parent.left = node
              node.left = current.left
            }else {
              parent.right = node
              node.left = current.left
            }
          }
        }
      }
      // 找出后继节点
      function _closeBigger(node) {
        let temp = node
        let current = null
        // 保存一个后继节点的父节点,因为可能存在后继节点不是node,而是后边left子树的节点
        let currentParent = null
        while(node) {
          currentParent = current // 保存父节点
          current = node
          node = node.left
        }
        // 当node.key !== current.key时,需要调整节点
        if(temp !== current) {
          // 根据平衡二叉树的性质,最左边是最小的,当currentParent.left -> current.right(存在或者为null)
          currentParent.left = current.right
          current.right = currentParent
        }
        return current
      }
    }
    

上一篇: JS实现哈希表