12.数据结构与算法-图的存储 & 深度和广度优先遍历

498 阅读16分钟

数据之间的关系有 3 种,分别是 "一对一"、"一对多" 和 "多对多",前两种关系的数据可分别用线性表树结构存储,本节学习存储具有"多对多"逻辑关系数据的结构——图存储结构。

图【Grap】是由顶点的有穷非空集合和顶点之间边的集合组成,通常表示为:G[V,E]。其中,G 表示一个图,V是图G中的顶点集合,E是G图中边的集合

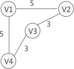
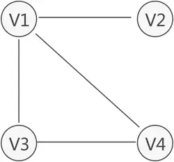
无向图

图中存储的各个数据元素被称为顶点(而不是节点)。上图中含有 4 个顶点,分别为顶点 V1、V2、V3 和 V4。

图存储结构中,习惯上用Vi 表示图中的顶点,且所有顶点构成的集合通常用 V 表示,上图中顶点的集合为 V={V1,V2,V3,V4}

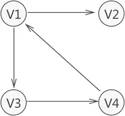
有向图

图的基本常识

弧头和弧尾

有向图中,无箭头一端的顶点通常被称为"初始点"或"弧尾",箭头直线的顶点被称为"终端点"或"弧头"。

入度和出度

对于有向图中的一个顶点 V 来说,箭头指向 V 的弧的数量为 V 的入度InDegree,记为 ID(V));箭头远离 V 的弧的数量为 V 的出度OutDegree,记为OD(V))。上图顶点 V1来说,该顶点的入度为 1,出度为 2(该顶点的度为 3)。

边 (V1,V2) 和 弧 <V1,V2> 的区别

无向图中描述两顶点(V1 和 V2)之间的关系可以用 (V1,V2) 来表示,而有向图中描述从 V1 到 V2 的"单向"关系用 <V1,V2> 来表示。

由于图存储结构中顶点之间的关系是用线来表示的,因此 (V1,V2) 还可以用来表示无向图中连接 V1 和 V2 的线,又称为;同样,<V1,V2> 也可用来表示有向图中从 V1 到 V2 带方向的线,又称为

集合 VR 的含义

图中习惯用 VR 表示图中所有顶点之间关系的集合。上图无向图的集合 VR={(v1,v2),(v1,v4),(v1,v3),(v3,v4)},上图有向图的集合 VR={<v1,v2>,<v1,v3>,<v3,v4>,<v4,v1>}

路径和回路

无论是无向图还是有向图,从一个顶点到另一顶点途径的所有顶点组成的序列(包含这两个顶点),称为一条路径。如果路径中第一个顶点和最后一个顶点相同,则此路径称为"回路"(或"")。

并且,若路径中各顶点都不重复,此路径又被称为"简单路径";同样,若回路中的顶点互不重复,此回路被称为"简单回路"(或简单环)。

上图无向图中,从 V1 存在一条路径还可以回到 V1,此路径为 {V1,V3,V4,V1},这是一个回路(环),而且还是一个简单回路(简单环)。 在有向图中,每条路径或回路都是有方向的。

权和网的含义

在某些实际场景中,图中的每条边(或弧)会赋予一个实数来表示一定的含义,这种与边(或弧)相匹配的实数被称为"",而带权的图通常称为网

子图

指的是由图中一部分顶点和边构成的图,称为原图的子图

图存储结构的分类

根据不同的特征,图又可分为完全图连通图稀疏图稠密图

完全图:若图中各个顶点都与除自身外的其他顶点有关系,这样的无向图称为完全图,同时,满足此条件的有向图则称为有向完全图

具有 n 个顶点的完全图,图中边的数量为n(n-1)/2;而对于具有 n 个顶点的有向完全图,图中弧的数量为n(n-1)

连通图:如果图中任意两点都是连通的,那么图被称作连通图

稀疏图和稠密图:这两种图是相对存在的,即如果图中具有很少的边(或弧),此图就称为"稀疏图";反之,则称此图为"稠密图"。

稀疏和稠密的判断条件是:e<nlogn,其中 e 表示图中边(或弧)的数量,n 表示图中顶点的数量。如果式子成立,则为稀疏图;反之为稠密图。

图的顺序存储-邻接矩阵(二维数组)

如果顶点之间存在边或弧,在相应位置用 1 表示,反之用 0表示;

如果是网(带权值),顶点之间存在边或弧,在相应位置用 权值 表示,反之用 无穷大 表示

#include "stdio.h"
#include "stdlib.h"

#include "math.h"
#include "time.h"

#define OK 1
#define ERROR 0
#define TRUE 1
#define FALSE 0
#define MAXVEX 100 /* 最大顶点数,应由用户定义 */
#define INFINITYC 0

typedef int Status;    /* Status是函数的类型,其值是函数结果状态代码,如OK等 */
typedef char VertexType; /* 顶点类型应由用户定义  */
typedef int EdgeType; /* 边上的权值类型应由用户定义 */
typedef struct
{
    VertexType vexs[MAXVEX]; /* 顶点表 */
    EdgeType arc[MAXVEX][MAXVEX];/* 邻接矩阵,可看作边表 */
    int numNodes, numEdges; /* 图中当前的顶点数和边数  */
}MGraph;

void CreateMGraph(MGraph *G){
    
    int i,j,k,w;
    printf("输入顶点数和边数:\n");
    //1. 输入顶点数/边数
    scanf("%d,%d",&(G->numNodes),&(G->numEdges));
    printf("顶点数:%d,边数:%d\n",G->numNodes,G->numEdges);
    
    //2.输入顶点信息/顶点表
    for(i = 0; i<= G->numNodes;i++)
        scanf("%c",&G->vexs[i]);
    
    
    //3.初始化邻接矩阵
    for(i = 0; i < G->numNodes;i++)
         for(j = 0; j < G->numNodes;j++)
             G->arc[i][j] = INFINITYC;
    
    //4.输入边表信息
    for(k = 0; k < G->numEdges;k++){
        printf("输入边(vi,vj)上的下标i,下标j,权w\n");
        scanf("%d,%d,%d",&i,&j,&w);
        
        G->arc[i][j] = w;
        //如果无向图,矩阵对称;
        G->arc[j][i] = G->arc[i][j];
        
    }
    /*5.打印邻接矩阵*/
    for (int i = 0; i < G->numNodes; i++) {
        printf("\n");
        for (int j = 0; j < G->numNodes; j++) {
            printf("%d ",G->arc[i][j]);
        }
    }
    printf("\n");
}

int main(void)
{
    printf("邻接矩阵实现图的存储\n");
    /*图的存储-邻接矩阵*/
    MGraph G;
    CreateMGraph(&G);
    return 0;
}

/*
 输入顶点数和边数:
 4,5
 顶点数:4,边数:5
 abcd
 输入边(vi,vj)上的下标i,下标j,权w
 0,1,1
 输入边(vi,vj)上的下标i,下标j,权w
 0,2,1
 输入边(vi,vj)上的下标i,下标j,权w
 0,3,1
 输入边(vi,vj)上的下标i,下标j,权w
 1,2,1
 输入边(vi,vj)上的下标i,下标j,权w
 2,3,1

 0 1 1 1
 1 0 1 0
 1 1 0 1
 1 0 1 0
 */

图的链式存储-邻接表

邻接表,存储方法跟树的孩子链表示法相类似,是一种顺序分配和链式分配相结合的存储结构。如这个表头结点所对应的顶点存在相邻顶点,则把相邻顶点依次存放于表头结点所指向的单向链表中。

对于无向图来说,使用邻接表进行存储也会出现数据冗余,表头结点A所指链表中存在一个指向C的表结点的同时,表头结点C所指链表也会存在一个指向A的表结点

#include "stdio.h"
#include "stdlib.h"

#include "math.h"
#include "time.h"


#define M 100
#define true 1
#define false 0

typedef char Element;
typedef int BOOL;
typedef int EdgeType; /* 边上的权值类型应由用户定义 */
//邻接表的节点
typedef struct Node{
    int adj_vex_index;  //弧头的下标,也就是被指向的下标
    EdgeType data;       //权重值
    struct Node * next; //边指针
}EdgeNode;

//顶点节点表
typedef struct vNode{
    Element data;          //顶点字符
    EdgeNode * firstedge;  //顶点下一个是谁?
}VertexNode, Adjlist[M];

//总图的一些信息
typedef struct Graph{
    Adjlist adjlist;       //顶点表
    int arc_num;           //边的个数
    int node_num;          //节点个数
    BOOL is_directed;      //是不是有向图
}Graph, *GraphLink;

void creatGraph(GraphLink *g){
    int i,j,k;
    EdgeNode *p;
    
    //1. 顶点,边,是否有向
    printf("输入顶点数目,边数和有向?:\n");
    scanf("%d %d %d", &(*g)->node_num, &(*g)->arc_num, &(*g)->is_directed);
    
    //2.顶点表
     printf("输入顶点信息:\n");
    for (i = 0; i < (*g)->node_num; i++) {
        getchar();
        scanf("%c", &(*g)->adjlist[i].data);
        (*g)->adjlist[i].firstedge = NULL;
    }
    
    //3.
    printf("输入边信息:\n");
    for (k = 0; k < (*g)->arc_num; k++){
        getchar();
        scanf("%d %d", &i, &j);
        
        //①新建一个节点
        p = (EdgeNode *)malloc(sizeof(EdgeNode));
        //②弧头的下标
        p->adj_vex_index = j;
        //③头插法插进去,插的时候要找到弧尾,那就是顶点数组的下标i
        p->next = (*g)->adjlist[i].firstedge;
        //④将顶点数组[i].firstedge 设置为p
        (*g)->adjlist[i].firstedge = p;
        
        //j->i 不是有向图
        if(!(*g)->is_directed)
        {
            // j -----> i
            //①新建一个节点
            p = (EdgeNode *)malloc(sizeof(EdgeNode));
            //②弧头的下标i
            p->adj_vex_index = i;
            //③头插法插进去,插的时候要找到弧尾,那就是顶点数组的下标i
            p->next = (*g)->adjlist[j].firstedge;
            //④将顶点数组[i].firstedge 设置为p
            (*g)->adjlist[j].firstedge = p;
        }
    }
}

void putGraph(GraphLink g){
    int i;
    printf("邻接表中存储信息:\n");
    //遍历一遍顶点坐标,每个再进去走一次
    for (i = 0; i < g->node_num; i++) {
        EdgeNode * p = g->adjlist[i].firstedge;
        while (p) {
            printf("%c->%c ", g->adjlist[i].data, g->adjlist[p->adj_vex_index].data);
            p = p->next;
        }
        printf("\n");
    }
}

int main(int argc, const char * argv[]) {
    // insert code here...
    printf("邻接表实现图的存储\n");
    /*
     邻接表实现图的存储
     输入顶点数目,边数和有向?:
     4 5 0
     输入顶点信息:
     0 1 2 3
     输入边信息:
     0 1 0 2 0 3 2 1 2 3
     邻接表中存储信息:
     0->3 0->2 0->1
     1->2 1->0
     2->3 2->1 2->0
     3->2 3->0
    */
    /*
     邻接表实现图的存储
     输入顶点数目,边数和有向?:
     4 5 1
     输入顶点信息:
     0 1 2 3
     输入边信息:
     1 0 1 2 2 1 2 0 0 3
     邻接表中存储信息:
     0->3
     1->2 1->0
     2->0 2->1
     */
    /*
     输入顶点数目,边数和有向?:
     4 5 1
     输入顶点信息:
     a b c d
     输入边信息:
     1 0 1 2 2 1 2 0 0 3
     邻接表中存储信息:
     a->d
     b->c b->a
     c->a c->b
     */
    GraphLink g = (Graph *)malloc(sizeof(Graph));
    creatGraph(&g);
    putGraph(g);
    return 0;
}

深度优先搜索(简称“深搜”或DFS:Depth First Search

深度优先搜索的过程类似于树的先序遍历,首先从例子中体会深度优先搜索。上图 是一个无向图,采用深度优先算法遍历这个图的过程为:

1.首先任意找一个未被遍历过的顶点,例如从 V1 开始,由于 V1 率先访问过了,所以,需要标记 V1 的状态为访问过;
2.然后遍历 V1 的邻接点,例如访问 V2 ,并做标记,然后访问 V2 的邻接点,例如 V4 (做标记),然后 V8 ,然后 V5 ;
3.当继续遍历 V5 的邻接点时,根据之前做的标记显示,所有邻接点都被访问过了。此时,从 V5 回退到 V8 ,看 V8 是否有未被访问过的邻接点,如果没有,继续回退到 V4 , V2 , V1 ;
4.通过查看 V1 ,找到一个未被访问过的顶点 V3 ,继续遍历,然后访问 V3  邻接点 V6 ,然后 V7 ;
5.由于 V7 没有未被访问的邻接点,所有回退到 V6 ,继续回退至 V3 ,最后到达 V1 ,发现没有未被访问的;
6.最后一步需要判断是否所有顶点都被访问,如果还有没被访问的,以未被访问的顶点为第一个顶点,继续依照上边的方式进行遍历。

根据上边的过程,可以得到上图通过深度优先搜索获得的顶点的遍历次序为: V1 -> V2 -> V4 -> V8 -> V5 -> V3 -> V6 -> V7

所谓深度优先搜索,是从图中的一个顶点出发,每次遍历当前访问顶点的临界点,一直到访问的顶点没有未被访问过的临界点为止。然后采用依次回退的方式,查看来的路上每一个顶点是否有其它未被访问的临界点。访问完成后,判断图中的顶点是否已经全部遍历完成,如果没有,以未访问的顶点为起始点,重复上述过程。

深度优先搜索是一个不断回溯的过程。

邻接矩阵实现

#define OK 1
#define ERROR 0
#define TRUE 1
#define FALSE 0

typedef int Status;    /* Status是函数的类型,其值是函数结果状态代码,如OK等 */
typedef int Boolean; /* Boolean是布尔类型,其值是TRUE或FALSE */

typedef char VertexType; /* 顶点类型应由用户定义 */
typedef int EdgeType; /* 边上的权值类型应由用户定义 */

#define MAXSIZE 9 /* 存储空间初始分配量 */
#define MAXEDGE 15
#define MAXVEX 9
#define INFINITYC 65535

typedef struct
{
    VertexType vexs[MAXVEX]; /* 顶点表 */
    EdgeType arc[MAXVEX][MAXVEX];/* 邻接矩阵,可看作边表 */
    int numVertexes, numEdges; /* 图中当前的顶点数和边数 */
}MGraph;


/*DFS遍历*/
Boolean visited[MAXVEX]; /* 访问标志的数组 */
//1. 标识顶点是否被标记过;
//2. 选择从某一个顶点开始(注意:非连通图的情况)
//3. 进入递归,打印i点信息,标识; 边表
//4. [i][j] 是否等于1,没有变遍历过visted
void DFS(MGraph G,int i){
    //1.
    visited[i] = TRUE;
    printf("%c",G.vexs[i]);
    
    //2.0~numVertexes
    for(int j = 0; j < G.numVertexes;j++){
        //i和j顶点相连 并且 没有被访问
        if(G.arc[i][j] == 1 && !visited[j])
            DFS(G, j);
    }
}

void DFSTravese(MGraph G){
    //1.初始化
    for(int i=0;i<G.numVertexes;i++){
        visited[i] = FALSE;
    }
//    DFS(G, 0);
    //2.某一个顶点 这里循环主要是处理非连通图的情况, 连通图的话循环里面只会执行一次
    for(int i = 0;i<G.numVertexes;i++){
        if(!visited[i]){
            DFS(G, i);
        }
    }
}

邻接表实现

结构

#define OK 1
#define ERROR 0
#define TRUE 1
#define FALSE 0

#define MAXSIZE 9 /* 存储空间初始分配量 */
#define MAXEDGE 15
#define MAXVEX 9
#define INFINITYC 65535

typedef int Status;    /* Status是函数的类型,其值是函数结果状态代码,如OK等 */
typedef int Boolean; /* Boolean是布尔类型,其值是TRUE或FALSE */

typedef char VertexType; /* 顶点类型应由用户定义 */
typedef int EdgeType; /* 边上的权值类型应由用户定义 */

/* 邻接表结构****************** */
typedef struct EdgeNode /* 边表结点 */
{
    int adjvex;    /* 邻接点域,存储该顶点对应的下标 */
    int weight;        /* 用于存储权值,对于非网图可以不需要 */
    struct EdgeNode *next; /* 链域,指向下一个邻接点 */
}EdgeNode;

typedef struct VertexNode /* 顶点表结点 */
{
    int in;    /* 顶点入度 */
    char data; /* 顶点域,存储顶点信息 */
    EdgeNode *firstedge;/* 边表头指针 */
}VertexNode, AdjList[MAXVEX];

typedef struct
{
    AdjList adjList;
    int numVertexes,numEdges; /* 图中当前顶点数和边数 */
}graphAdjList,*GraphAdjList;
Boolean visited[MAXSIZE]; /* 访问标志的数组 */
/* 邻接表的深度优先递归算法 */
void DFS(GraphAdjList GL, int i)
{
    EdgeNode *p;
    visited[i] = TRUE;
    
    //2.打印顶点 A
    printf("%c ",GL->adjList[i].data);
    
    p = GL->adjList[i].firstedge;
    
    //3.
    while (p) {
        if(!visited[p->adjvex])
            DFS(GL,p->adjvex);
        
        p = p->next;
    }
    
}

/* 邻接表的深度遍历操作 */
void DFSTraverse(GraphAdjList GL)
{
    //1. 将访问记录数组默认置为FALSE
    for (int i = 0; i < GL->numVertexes; i++) {
        /*初始化所有顶点状态都是未访问过的状态*/
        visited[i] = FALSE;
    }

    //2. 选择一个顶点开始DFS遍历. 例如A
    for(int i = 0; i < GL->numVertexes; i++)
        //对未访问过的顶点调用DFS, 若是连通图则只会执行一次.
        if(!visited[i])
            DFS(GL, i);
}

广度/宽度优先搜索 (简称“深搜”或BFS:Breadth First Search

Dijkstra(迪杰斯特拉算法)单源最短路径算法和Prim最小生成树算法都采用了和宽度优先搜索类似的思想

广度优先搜索类似于树的层次遍历。从图中的某一顶点出发,遍历每一个顶点时,依次遍历其所有的邻接点,然后再从这些邻接点出发,同样依次访问它们的邻接点。按照此过程,直到图中所有被访问过的顶点的邻接点都被访问到。

广度优先搜索的实现需要借助队列这一特殊数据结构

需要用到的队列结构与相关功能函数

// ************** Queue Start **************
/* 循环队列的顺序存储结构 */
typedef struct
{
    int data[MAXSIZE];
    int front;        /* 头指针 */
    int rear;        /* 尾指针,若队列不空,指向队列尾元素的下一个位置 */
}Queue;

/* 初始化一个空队列Q */
Status InitQueue(Queue *Q)
{
    Q->front=0;
    Q->rear=0;
    return  OK;
}

/* 若队列Q为空队列,则返回TRUE,否则返回FALSE */
Status QueueEmpty(Queue Q)
{
    if(Q.front==Q.rear) /* 队列空的标志 */
    return TRUE;
    else
    return FALSE;
}

/* 若队列未满,则插入元素e为Q新的队尾元素 */
Status EnQueue(Queue *Q,int e)
{
    if ((Q->rear+1)%MAXSIZE == Q->front) return ERROR;   /* 队列满的判断 */
    Q->data[Q->rear]=e;            /* 将元素e赋值给队尾 */
    Q->rear=(Q->rear+1)%MAXSIZE;/* rear指针向后移一位置, */
    /* 若到最后则转到数组头部 */
    return  OK;
}

/* 若队列不空,则删除Q中队头元素,用e返回其值 */
Status DeQueue(Queue *Q,int *e)
{
    if (Q->front == Q->rear)  return ERROR; /* 队列空的判断 */
    *e=Q->data[Q->front];                /* 将队头元素赋值给e */
    Q->front=(Q->front+1)%MAXSIZE;    /* front指针向后移一位置, */
    /* 若到最后则转到数组头部 */
    return  OK;
}
// ************** Queue End **************

邻接矩阵实现

/*
1、把根节点放到队列的末尾。
2、每次从队列的头部取出一个元素,查看这个元素所有的下一级元素,把它们放到队列的末尾。并把这个元素记为它下一级元素的前驱。
3、找到所要找的元素时结束程序。
4、如果遍历整个树还没有找到,结束程序
*/
/* 邻接矩阵广度优先遍历-代码实现*/
Boolean visited[MAXVEX]; /* 访问标志的数组 */
void BFSTraverse(MGraph G){
 
    //1.
    Queue Q;
    InitQueue(&Q);
    
    //2.将访问标志数组全部置为"未访问状态FALSE"
    for (int i = 0 ; i < G.numVertexes; i++) {
        visited[i] = FALSE;
    }
    
    //3.对遍历邻接表中的每一个顶点(对于连通图只会执行1次,这个循环是针对非连通图)
    for (int i = 0 ; i < G.numVertexes; i++) {
        
        if(!visited[i]){
            visited[i] = TRUE;
            printf("%c  ",G.vexs[i]);
            
            //4. 入队
            EnQueue(&Q, i);
            while (!QueueEmpty(Q)) {
                //出队
                DeQueue(&Q, &i);
                for (int j = 0; j < G.numVertexes; j++) {
                    //相连 且 未访问
                    if(G.arc[i][j] == 1 && !visited[j])
                    {    visited[j] = TRUE;
                        printf("%c   ",G.vexs[j]);
                        EnQueue(&Q, j);
                    }
                }
            }
        }
        
    }
}

邻接表实现

/*  邻接表广度优先遍历*/
Boolean visited[MAXSIZE]; /* 访问标志的数组 */
void BFSTraverse(GraphAdjList GL){
    
    //1.创建结点
    EdgeNode *p;
    
    Queue Q;
    InitQueue(&Q);
    

    //2.将访问标志数组全部置为"未访问状态FALSE"
    for(int i = 0; i < GL->numVertexes; i++)
        visited[i] = FALSE;
    
    //3.对遍历邻接表中的每一个顶点(对于连通图只会执行1次,这个循环是针对非连通图)
    for(int i = 0 ;i < GL->numVertexes;i++){
        //4.判断当前结点是否被访问过.
        if(!visited[i]){
            visited[i] = TRUE;
            //打印顶点
            printf("%c ",GL->adjList[i].data);
            
            EnQueue(&Q, i);
            while (!QueueEmpty(Q)) {
                DeQueue(&Q, &i);
                p = GL->adjList[i].firstedge;
                while (p) {
                    //判断
                    if(!visited[p->adjvex]){
                        visited[p->adjvex] = TRUE;
                         printf("%c ",GL->adjList[p->adjvex].data);
                        EnQueue(&Q, p->adjvex);
                    }
                    p = p->next;
                }
            }
            
        }
    } 
}