
练习之前,你需要了解的
适用人群
如果你正在为面试做准备,却对于庞杂的数据结构和算法知识,不知道何从下手;
如果你以前曾经学过一些基础的数据结构或者算法的基础知识,却根本没有理解清楚,更不能独立完成算法的设计, 想重新巩固这方面的知识;
如果已经有了一小段工作经验,但却老是在整天用轮子、调API当中度过,想看一看底层的源码却常常因编程的内力不足而放弃;
如果你听说过LeetCode这个网站,想要一刷到底,迈向算法巅峰,却因为浩瀚的题量和缺乏系统训练感到无力,三天打鱼两天晒网,进而感到焦虑,甚至放弃......
如果上面任何一条符合你的现状,那么恭喜你,你来对了地方。作为一个圈内小有名气的前端博主,我想借着我的影响力,分享出我系统梳理和练习的过程,希望能够帮助到更多跟我一样遇到类似困难的人,让你少一些不必要的折腾。
全程使用的语言是 JavaScript,因此标题上说的是前端xxx, 但实际上你也知道,数据结构和算法这东西主要是考验一个人的思维,至于语言,其中并没有用到任何 JS 的高深语法特性,只要有所编程经验,能理解代码是完全没有问题的,这一点大家放心。
算法没有用?
在练习之前,首先阐明一下我的观点,以免大家对数据结构和算法或者这个系列产生更多的误解。
我想各位当中肯定有准备面试的同学,那么你肯定听说过面试造火箭,工作拧螺丝, 不少人也拿这句话拿来诟病当前一些互联网大厂的算法面试,因此就有这样的言论: 除了应付面试,学算法其实没啥用。
这句话我并不完全反对,因为现在随着技术生态的发展,各位走在领域前沿的大牛们已经给大家备足了轮子,遇到一般的业务问题直接把人家的方案拿到用就可以了,另外我也看到过一句话,刚开始觉得扯淡,后来想想觉得有那么一丝道理:
凡是需要跨过一定智商门槛才能掌握的技术,都不会轻易的流行。
换句话说:技术变得更简单,别人更愿意用,更容易流行。
这也是当前各种技术框架的真实写照: 足够好用,足够简单,简单到你不需要知道底层复杂的细节。
那么问题来了,作为一个集智慧和才华于一身的程序员,自己的价值在哪里?
我觉得价值的大小取决于你能够解决的问题,如果说照着设计稿画出一个简单的 Button,你能完成,别的前端也能完成,甚至后后端的同学都能把效果差不多做出来,那这个时候就谈何个人价值?只不过在一个随时可替代的岗位上完成了大多数人能轻易做到的事情,张三来完成,或者李四来完成,其实没什么区别。
但是现在如果面对的是一个复杂的工程问题,需要你来开发一个辅助业务的脚手架工具,改造框架源码来提高项目的扩展性,或者面对严重的性能问题能马上分析出原因,然后给出解决的思路并在不同因素中平衡,这些都不是一个业余的玩家能够在短时间内胜任的,这就是体现自己价值的地方。
回到算法本身,它代表的是你解决更加复杂问题能力的一部分。
可能干讲不容易理解,我们以 Vue 这个框架为例,如果你以前没有接触过深度优先遍历和递归的概念,没有看过相应的代码,那么虚拟 DOM 整个patch的源码你是基本不可能看懂的;如果你没有系统掌握过栈先进后出这种特点的应用,你也是很难理解 Vue 模板编译阶段为什么要用栈来检查标签是否正常闭合;同样的,如果你没有回溯这种算法的代码经验,你也是很难理解 Vue 模板编译的优化阶段,到底是怎样在从父到子深度优先遍历的过程中检查到非静态的子节点后给父节点打上标记;并且,如果你以前不知道 LRU 缓存淘汰算法究竟是个什么东西,你看到keep-alive组件的实现这里会非常纳闷:
if (cache[key]) {
vnode.componentInstance = cache[key].componentInstance
// make current key freshest
remove(keys, key)
keys.push(key)
}
缓存命中了,为什么还要维护一个 keys 数组,而且把这个 key 从数组中删了,又要放到末尾,啥操作呢?
如果之前有相应算法基础,你反而会觉得这个非常自然的事情。
看到了吧?你觉得尤大能写出优秀的“明星”项目,会没有一点扎实的数据结构和算法功底?
当然不仅仅是前端领域,我想服务端也是差不多的情况,这里就不多举例了。
所以各位,我认为基本的算法能力对于一个想要解决复杂问题的工程师而言,不是一个加分项,而且是必备项。算法有大用。
如何系统练习?
接下来我来分享一下练习数据结构和算法的一些心得,或者方法,分两个关键字来说: 系统和练习。
专题突破
如何做到系统的训练?
我想按照LeetCode上的顺序一题一题刷肯定不是系统,大部分情况是相邻的几个题毫无联系,这一题做了个链表相关的,下一题又是一个哈希表,再下一题又了一个二分搜索树,思维不断的跳转,一方面可能你的基础很薄弱,各个数据结构和算法理解的并不深刻,反复跳到你不熟悉的地方,会挫败你的信心,增加焦虑,甚至直接劝退,另一方面,可能再遇到难一点的链表题,你又不会了,可能你会纳闷: 不是刚刚才写出来了一个链表题吗?怎么现在又不会了?容易让你产生自我怀疑,也会影响你训练的自驱力。
因此我觉得分专题各个训练突破是一个相对合理的战略。在做到专和精的同时,也会让你掌握的更快,从而更容易解出类似的题,增强自信心。
另外要介绍的就是本系列的专题系统了,一共会分为这些模块:

本次分享的是链表篇、栈与队列和二叉树部分。
刻意练习
《异类:不一样的成功启示录》这本书里面谈到一万小时刻意练习成为高手的理论,后面也很多人谈到这个理论,我几年前就听说过,但真正体会到它的实际意义却是最近在训练算法的过程中,而且是走了很多弯路之后。可见理论到实际的过程是多么艰难。
我所理解的刻意练习,运用到算法的训练上面来,就是两点:
-
经常性地做你不会做的题
-
多种解法方式轮流试,最大化地挖掘一道题的价值
刻意练习有一个重要的观点是走出舒适圈。对于算法练习也是一样,为什么很多人觉得刷算法没用,那是因为他们总是在做自己熟悉的题型,用自己熟悉的方法,蹲在自己的舒适圈,这样做的再多也意义不大,但是如果总是在做自己不熟练的题型,用不一样的方法,对于自己思维的成长是相当有帮助的,所以我觉得把握经常性地做不会的题,这样做的越多越好,当然了,时间有限,我们需要根据自己的需要来取舍。
之所以我会把这个系列叫做练习,而不是刷题,就是因为练习的本质是练,而不是简单的AC就可以。比如下面这一题:

可能有经验的同学,用递归的方式很容易就解出来了。但是,你有想过如何用非递归的方式吗?如果能用非递归来是实现一遍,相信给自己带来的帮助和提升会比递归解大得多。
另外说一句,本系列中所有的代码都是原创的,而且不仅仅给出递归代码,在绝大多数情况下会给出对应的非递归解法,深入地挖掘一道题的最大价值,达到练习而不是刷题的效果。
最后的最后,我要强调的是: 对于这种修炼内功的练习,任何视频或者专栏都仅仅只是辅助作用,最重要的是还是自己的坚持和独立思考,如果你通过我这个系列能够让自己的算法能力更上一层楼,或者说能够有所收获,你应该感谢的是你自己。如果觉得这个系列还不错,希望能进GitHub 地址,给这个项目点一个 star,非常感谢!
链表篇
反转链表
反转链表这里一共有三个题目供大家训练。分别是原地单链表的反转、两个一组反转链表和K个一组反转链表,难度由阶梯式上升。
而在面试当中凡是遇到链表,反转类的题目出现的频率也是数一数二的,因此把它当做链表开篇的训练类型,希望大家能引起足够的重视💪。
No.1 简单的反转链表
反转一个单链表。
示例:
输入: 1->2->3->4->5->NULL
输出: 5->4->3->2->1->NULL
来源: LeetCode 第 206 题
循环解决方案
这道题是链表中的经典题目,充分体现链表这种数据结构操作思路简单, 但是实现上并没有那么简单的特点。
那在实现上应该注意一些什么问题呢?
保存后续节点。作为新手来说,很容易将当前节点的 next指针直接指向前一个节点,但其实当前节点下一个节点的指针也就丢失了。因此,需要在遍历的过程当中,先将下一个节点保存,然后再操作next指向。
链表结构声定义如下:
function ListNode(val) {
this.val = val;
this.next = null;
}
实现如下:
/**
* @param {ListNode} head
* @return {ListNode}
*/
let reverseList = (head) => {
if (!head)
return null;
let pre = null, cur = head;
while (cur) {
// 关键: 保存下一个节点的值
let next = cur.next;
cur.next = pre;
pre = cur;
cur = next;
}
return pre;
};
由于逻辑比较简单,代码直接一气呵成。不过仅仅写完还不够,对于链表问题,边界检查的习惯能帮助我们进一步保证代码的质量。具体来说:
- 当 head 节点为空时,我们已经处理,通过✅
- 当链表只包含
一个节点时, 此时我们希望直接返回这个节点,对上述代码而言,进入循环后pre被赋值为cur,也就是head,没毛病,通过✅
运行在 LeetCode, 成功 AC ✌
但作为系统性的训练而言,单单让程序通过未免太草率了,我们后续会尽可能地用不同的方式去解决相同的问题,达到融会贯通的效果,也是对自己思路的开拓,有时候或许能达到更优解。
递归解决方案
由于之前的思路已经介绍得非常清楚了,因此在这我们贴上代码,大家好好体会:
let reverseList = (head) =>{
let reverse = (pre, cur) => {
if(!cur) return pre;
// 保存 next 节点
let next = cur.next;
cur.next = pre;
return reverse(cur, next);
}
return reverse(null, head);
}
No.2 区间反转
反转从位置 m 到 n 的链表。请使用一趟扫描完成反转。
说明: 1 ≤ m ≤ n ≤ 链表长度。
示例:
输入: 1->2->3->4->5->NULL, m = 2, n = 4
输出: 1->4->3->2->5->NULL
来源: LeetCode 第 92 题
思路
这一题相比上一个整个链表反转的题,其实是换汤不换药。我们依然有两种类型的解法:循环解法和递归解法。
需要注意的问题就是前后节点的保存(或者记录),什么意思呢?看这张图你就明白了。

关于前节点和后节点的定义,大家在图上应该能看的比较清楚了,后面会经常用到。
反转操作上一题已经拆解过,这里不再赘述。值得注意的是反转后的工作,那么对于整个区间反转后的工作,其实就是一个移花接木的过程,首先将前节点的 next 指向区间终点,然后将区间起点的 next 指向后节点。因此这一题中有四个需要重视的节点: 前节点、后节点、区间起点和区间终点。接下来我们开始实际的编码操作。
循环解法
/**
* @param {ListNode} head
* @param {number} m
* @param {number} n
* @return {ListNode}
*/
var reverseBetween = function(head, m, n) {
let count = n - m;
let p = dummyHead = new ListNode();
let pre, cur, start, tail;
p.next = head;
for(let i = 0; i < m - 1; i ++) {
p = p.next;
}
// 保存前节点
front = p;
// 同时保存区间首节点
pre = tail = p.next;
cur = pre.next;
// 区间反转
for(let i = 0; i < count; i++) {
let next = cur.next;
cur.next = pre;
pre = cur;
cur = next;
}
// 前节点的 next 指向区间末尾
front.next = pre;
// 区间首节点的 next 指向后节点(循环完后的cur就是区间后面第一个节点,即后节点)
tail.next = cur;
return dummyHead.next;
};
递归解法
对于递归解法,唯一的不同就在于对于区间的处理,采用递归程序进行处理,大家也可以趁着复习一下递归反转的实现。
var reverseBetween = function(head, m, n) {
// 递归反转函数
let reverse = (pre, cur) => {
if(!cur) return pre;
// 保存 next 节点
let next = cur.next;
cur.next = pre;
return reverse(cur, next);
}
let p = dummyHead = new ListNode();
dummyHead.next = head;
let start, end; //区间首尾节点
let front, tail; //前节点和后节点
for(let i = 0; i < m - 1; i++) {
p = p.next;
}
front = p; //保存前节点
start = front.next;
for(let i = m - 1; i < n; i++) {
p = p.next;
}
end = p;
tail = end.next; //保存后节点
end.next = null;
// 开始穿针引线啦,前节点指向区间首,区间首指向后节点
front.next = reverse(null, start);
start.next = tail;
return dummyHead.next;
}
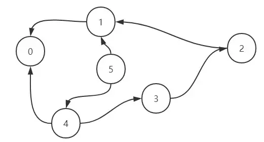
No.3 两个一组翻转链表
给定一个链表,两两交换其中相邻的节点,并返回交换后的链表。
你不能只是单纯的改变节点内部的值,而是需要实际的进行节点交换。
来源: LeetCode 第 24 题
示例:
给定 1->2->3->4, 你应该返回 2->1->4->3.
思路
如图所示,我们首先建立一个虚拟头节点(dummyHead),辅助我们分析。

首先让 p 处在 dummyHead 的位置,记录下 p.next 和 p.next.next 的节点,也就是 node1 和 node2。
随后让 node1.next = node2.next, 效果:

然后让 node2.next = node1, 效果:

最后,dummyHead.next = node2,本次翻转完成。同时 p 指针指向node1, 效果如下:

依此循环,如果 p.next 或者 p.next.next 为空,也就是找不到新的一组节点了,循环结束。
循环解决
思路清楚了,其实实现还是比较容易的,代码如下:
var swapPairs = function(head) {
if(head == null || head.next == null)
return head;
let dummyHead = p = new ListNode();
let node1, node2;
dummyHead.next = head;
while((node1 = p.next) && (node2 = p.next.next)) {
node1.next = node2.next;
node2.next = node1;
p.next = node2;
p = node1;
}
return dummyHead.next;
};
递归方式
var swapPairs = function(head) {
if(head == null || head.next == null)
return head;
let node1 = head, node2 = head.next;
node1.next = swapPairs(node2.next);
node2.next = node1;
return node2;
};
利用递归方式之后,是不是感觉代码特别简洁?😃😃😃
希望你能好好体会一下递归调用的过程,相信理解之后对自己是一个很大的提升。
No.4 K个一组翻转链表
给你一个链表,每 k 个节点一组进行翻转,请你返回翻转后的链表。
k 是一个正整数,它的值小于或等于链表的长度。
如果节点总数不是 k 的整数倍,那么请将最后剩余的节点保持原有顺序。
示例 :
给定这个链表:1->2->3->4->5
当 k = 2 时,应当返回: 2->1->4->3->5
当 k = 3 时,应当返回: 3->2->1->4->5
说明 :
- 你的算法只能使用常数的额外空间。
- 你不能只是单纯的改变节点内部的值,而是需要实际的进行节点交换。
来源: LeetCode 第 25 题
思路
思路类似No.3中的两个一组翻转。唯一的不同在于两个一组的情况下每一组只需要反转两个节点,而在 K 个一组的情况下对应的操作是将 K 个元素的链表进行反转。
递归解法
这一题我觉得递归的解法更容易理解,因此,先贴上递归方法的代码。
以下代码的注释中`首节点`、`尾结点`等概念都是针对反转前的链表而言的。
/**
* @param {ListNode} head
* @param {number} k
* @return {ListNode}
*/
var reverseKGroup = function(head, k) {
let pre = null, cur = head;
let p = head;
// 下面的循环用来检查后面的元素是否能组成一组
for(let i = 0; i < k; i++) {
if(p == null) return head;
p = p.next;
}
for(let i = 0; i < k; i++){
let next = cur.next;
cur.next = pre;
pre = cur;
cur = next;
}
// pre为本组最后一个节点,cur为下一组的起点
head.next = reverseKGroup(cur, k);
return pre;
};
循环解法
重点都放在注释里面了。
var reverseKGroup = function(head, k) {
let count = 0;
// 看是否能构成一组,同时统计链表元素个数
for(let p = head; p != null; p = p.next) {
if(p == null && i < k) return head;
count++;
}
let loopCount = Math.floor(count / k);
let p = dummyHead = new ListNode();
dummyHead.next = head;
// 分成了 loopCount 组,对每一个组进行反转
for(let i = 0; i < loopCount; i++) {
let pre = null, cur = p.next;
for(let j = 0; j < k; j++) {
let next = cur.next;
cur.next = pre;
pre = cur;
cur = next;
}
// 当前 pre 为该组的尾结点,cur 为下一组首节点
let start = p.next;// start 是该组首节点
// 开始穿针引线!思路和2个一组的情况一模一样
p.next = pre;
start.next = cur;
p = start;
}
return dummyHead.next;
};
环形链表
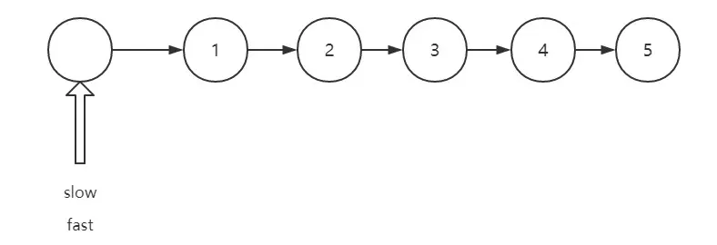
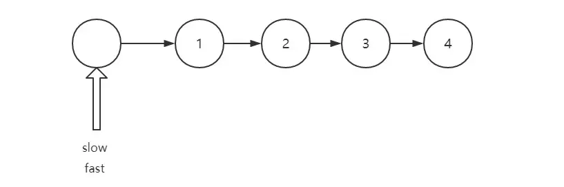
No.1 如何检测链表形成环?
给定一个链表,判断链表中是否形成环。
思路
思路一: 循环一遍,用 Set 数据结构保存节点,利用节点的内存地址来进行判重,如果同样的节点走过两次,则表明已经形成了环。
思路二: 利用快慢指针,快指针一次走两步,慢指针一次走一步,如果两者相遇,则表明已经形成了环。
可能你会纳闷,为什么思路二用两个指针在环中一定会相遇呢?
其实很简单,如果有环,两者一定同时走到环中,那么在环中,选慢指针为参考系,快指针每次相对参考系向前走一步,终究会绕回原点,也就是回到慢指针的位置,从而让两者相遇。如果没有环,则两者的相对距离越来越远,永远不会相遇。
接下来我们来编程实现。
方法一: Set 判重
/**
* @param {ListNode} head
* @return {boolean}
*/
var hasCycle = (head) => {
let set = new Set();
let p = head;
while(p) {
// 同一个节点再次碰到,表示有环
if(set.has(p)) return true;
set.add(p);
p = p.next;
}
return false;
}
方法二: 快慢指针
var hasCycle = function(head) {
let dummyHead = new ListNode();
dummyHead.next = head;
let fast = slow = dummyHead;
// 零个结点或者一个结点,肯定无环
if(fast.next == null || fast.next.next == null)
return false;
while(fast && fast.next) {
fast = fast.next.next;
slow = slow.next;
// 两者相遇了
if(fast == slow) {
return true;
}
}
return false;
};
No.2 如何找到环的起点
给定一个链表,返回链表开始入环的第一个节点。 如果链表无环,则返回 null。
**说明:**不允许修改给定的链表。
思路分析
刚刚已经判断了如何判断出现环,那如何找到环的节点呢?我们来分析一波。

看上去比较繁琐,我们把它做进一步的抽象:

设快慢指针走了x秒,慢指针一秒走一次。
对快指针,有: 2x - L = m * S + Y -----①
对慢指针,有: x - L = n * S + Y -----②
其中,m、n 均为自然数。
① - ② * 2 得:
L = (m - n) * S - Y-----③
好,这是一个非常重要的等式。我们现在假设有一个新的指针在 L 段的最左端,慢指针现在还在相遇处。
让新指针和慢指针都每次走一步,那么,当新指针走了 L 步之后到达环起点,而与此同时,我们看看慢指针情况如何。
由③式,慢指针走了(m - n) * S - Y个单位,以环起点为参照物,相遇时的位置为 Y,而现在由Y + (m - n) * S - Y即(m - n) * S,得知慢指针实际上参照环起点,走了整整(m - n)圈。也就是说,慢指针此时也到达了环起点。
:::tip 结论
现在的解法就很清晰了,当快慢指针相遇之后,让新指针从头出发,和慢指针同时前进,且每次前进一步,两者相遇的地方,就是环起点。
:::
编程实现
懂得原理之后,实现起来就容易很多了。
/**
* @param {ListNode} head
* @return {ListNode}
*/
var detectCycle = function(head) {
let dummyHead = new ListNode();
dummyHead.next = head;
let fast = slow = dummyHead;
// 零个结点或者一个结点,肯定无环
if(fast.next == null || fast.next.next == null)
return null;
while(fast && fast.next) {
fast = fast.next.next;
slow = slow.next;
// 两者相遇了
if(fast == slow) {
let p = dummyHead;
while(p != slow) {
p = p.next;
slow = slow.next;
}
return p;
}
}
return null;
};
链表合并
No.1 合并两个有序链表
将两个有序链表合并为一个新的有序链表并返回。新链表是通过拼接给定的两个链表的所有节点组成的。
示例:
输入:1->2->4, 1->3->4
输出:1->1->2->3->4->4
来源: LeetCode第21题
递归解法
递归解法更容易理解,我们先用递归来做一下:
/**
* @param {ListNode} l1
* @param {ListNode} l2
* @return {ListNode}
*/
var mergeTwoLists = function(l1, l2) {
const merge = (l1, l2) => {
if(l1 == null) return l2;
if(l2 == null) return l1;
if(l1.val > l2.val) {
l2.next = merge(l1, l2.next);
return l2;
}else {
l1.next = merge(l1.next, l2);
return l1;
}
}
return merge(l1, l2);
};
循环解法
var mergeTwoLists = function(l1, l2) {
if(l1 == null) return l2;
if(l2 == null) return l1;
let p = dummyHead = new ListNode();
let p1 = l1, p2 = l2;
while(p1 && p2) {
if(p1.val > p2.val) {
p.next = p2;
p = p.next;
p2 = p2.next;
}else {
p.next = p1;
p = p.next;
p1 = p1.next;
}
}
// 循环完成后务必检查剩下的部分
if(p1) p.next = p1;
else p.next = p2;
return dummyHead.next;
};
No.2 合并 K 个有序链表
合并 k 个排序链表,返回合并后的排序链表。请分析和描述算法的复杂度。
示例:
输入:
[
1->4->5,
1->3->4,
2->6
]
输出: 1->1->2->3->4->4->5->6
来源: LeetCode第23题
自上而下(递归)实现
/**
* @param {ListNode[]} lists
* @return {ListNode}
*/
var mergeKLists = function(lists) {
// 上面已经实现
var mergeTwoLists = function(l1, l2) {/*上面已经实现*/};
const _mergeLists = (lists, start, end) => {
if(end - start < 0) return null;
if(end - start == 0)return lists[end];
let mid = Math.floor(start + (end - start) / 2);
return mergeTwoList(_mergeLists(lists, start, mid), _mergeLists(lists, mid + 1, end));
}
return _mergeLists(lists, 0, lists.length - 1);
};
自下而上实现
在这里需要提醒大家的是,在自下而上的实现方式中,我为每一个链表绑定了一个虚拟头指针(dummyHead),为什么这么做?
这是为了方便链表的合并,比如 l1 和 l2 合并之后,合并后链表的头指针就直接是 l1 的 dummyHead.next 值,等于说两个链表都合并到了 l1 当中,方便了后续的合并操作。
var mergeKLists = function(lists) {
var mergeTwoLists = function(l1, l2) {/*上面已经实现*/};
// 边界情况
if(!lists || !lists.length) return null;
// 虚拟头指针集合
let dummyHeads = [];
// 初始化虚拟头指针
for(let i = 0; i < lists.length; i++) {
let node = new ListNode();
node.next = lists[i];
dummyHeads[i] = node;
}
// 自底向上进行merge
for(let size = 1; size < lists.length; size += size){
for(let i = 0; i + size < lists.length;i += 2 * size) {
dummyHeads[i].next = mergeTwoLists(dummyHeads[i].next, dummyHeads[i + size].next);
}
}
return dummyHeads[0].next;
};
多个链表的合并到这里就实现完成了,在这里顺便告诉你这种归并的方式同时也是对链表进行归并排序的核心代码。希望你能好好体会自上而下和自下而上两种不同的实现细节,相信对你的编程内功是一个不错的提升。
求链表中间节点
判断回文链表
请判断一个单链表是否为回文链表。
示例1:
输入: 1->2
输出: false
示例2:
输入: 1->2->2->1
输出: true
你能否用 O(n) 时间复杂度和 O(1) 空间复杂度解决此题?
来源: LeetCode第234题
思路分析
这一题如果不考虑性能的限制,其实是非常简单的。但考虑到 O(n) 时间复杂度和 O(1) 空间复杂度,恐怕就值得停下来好好想想了。
题目的要求是单链表,没有办法访问前面的节点,那我们只得另辟蹊径:
找到链表中点,然后将后半部分反转,就可以依次比较得出结论了。下面我们来实现一波。
代码实现
其实关键部分的代码就是找中点了。先亮剑:
let dummyHead = slow = fast = new ListNode();
dummyHead.next = head;
// 注意注意,来找中点了
while(fast && fast.next) {
slow = slow.next;
fast = fast.next.next;
}
你可能会纳闷了,为什么边界要设成这样?
我们不妨来分析一下,分链表节点个数为奇数和偶数的时候分别讨论。
- 当链表节点个数为奇数

试着模拟一下, fast 为空的时候,停止循环, 状态如下:

- 当链表节点个数为偶数


对于 fast 为空和fast.next为空两个条件,在奇数的情况下,总是 fast为空先出现,偶数的情况下,总是fast.next先出现.
也就是说: 一旦fast为空, 链表节点个数一定为奇数,否则为偶数。因此两种情况可以合并来讨论,当 fast 为空或者 fast.next 为空,循环就可以终止了。
完整实现如下:
/**
* @param {ListNode} head
* @return {boolean}
*/
var isPalindrome = function(head) {
let reverse = (pre, cur) => {
if(!cur) return pre;
let next = cur.next;
cur.next = pre;
return reverse(cur, next);
}
let dummyHead = slow = fast = new ListNode();
dummyHead.next = head;
// 注意注意,来找中点了, 黄金模板
while(fast && fast.next) {
slow = slow.next;
fast = fast.next.next;
}
let next = slow.next;
slow.next = null;
let newStart = reverse(null, next);
for(let p = head, newP = newStart; newP != null; p = p.next, newP = newP.next) {
if(p.val != newP.val) return false;
}
return true;
};
栈和队列篇
栈&递归
有效括号
给定一个只包括 '(',')','{','}','[',']' 的字符串,判断字符串是否有效。
有效字符串需满足:
左括号必须用相同类型的右括号闭合。 左括号必须以正确的顺序闭合。 注意空字符串可被认为是有效字符串。
示例:
输入: "()"
输出: true
来源: LeetCode第20题
代码实现
/**
* @param {string} s
* @return {boolean}
*/
var isValid = function(s) {
let stack = [];
for(let i = 0; i < s.length; i++) {
let ch = s.charAt(i);
if(ch == '(' || ch == '[' || ch == '{')
stack.push(ch);
if(!stack.length) return false;
if(ch == ')' && stack.pop() !== '(') return false;
if(ch == ']' && stack.pop() !== '[' ) return false;
if(ch == '}' && stack.pop() !== '{') return false;
}
return stack.length === 0;
};
多维数组 flatten
将多维数组转化为一维数组。
示例:
[1, [2, [3, [4, 5]]], 6] -> [1, 2, 3, 4, 5, 6]
代码实现
/**
* @constructor
* @param {NestedInteger[]} nestedList
* @return {Integer[]}
*/
let flatten = (nestedList) => {
let result = [];
let fn = function (target, ary) {
for (let i = 0; i < ary.length; i++) {
let item = ary[i];
if (Array.isArray(ary[i])) {
fn(target, item);
} else {
target.push(item);
}
}
}
fn(result, nestedList)
return result;
同时可采用 reduce 的方式, 一行就可以解决,非常简洁。
let flatten = (nestedList) => nestedList.reduce((pre, cur) => pre.concat(Array.isArray(cur) ? flatten(cur): cur), [])
二叉树层序遍历
二叉树的层序遍历本是下一章的内容,但是其中队列的性质又体现得太明显,因此就以这样一类问题来让大家练习队列的相关操作。这里会不仅仅涉及到普通的层序遍历, 而且涉及到变形问题,让大家彻底掌握。
普通的层次遍历
给定一个二叉树,返回其按层次遍历的节点值。 (即逐层地,从左到右访问所有节点)。
示例:
3
/ \
9 20
/ \
15 7
结果应输出:
[
[3],
[9,20],
[15,7]
]
来源: LeetCode第102题
实现
/**
* @param {TreeNode} root
* @return {number[][]}
*/
var levelOrder = function(root) {
if(!root) return [];
let queue = [];
let res = [];
let level = 0;
queue.push(root);
let temp;
while(queue.length) {
res.push([]);
let size = queue.length;
// 注意一下: size -- 在层次遍历中是一个非常重要的技巧
while(size --) {
// 出队
let front = queue.shift();
res[level].push(front.val);
// 入队
if(front.left) queue.push(front.left);
if(front.right) queue.push(front.right);
}
level++;
}
return res;
};
二叉树的锯齿形层次遍历
给定一个二叉树,返回其节点值的锯齿形层次遍历。(即先从左往右,再从右往左进行下一层遍历,以此类推,层与层之间交替进行)。
例如:
给定二叉树 [3,9,20,null,null,15,7], 输出应如下:
3
/ \
9 20
/ \
15 7
返回锯齿形层次遍历如下:
[
[3],
[20,9],
[15,7]
]
来源: LeetCode第103题
思路
这一题思路稍微不同,但如果把握住层次遍历的思路,就会非常简单。
代码实现
var zigzagLevelOrder = function(root) {
if(!root) return [];
let queue = [];
let res = [];
let level = 0;
queue.push(root);
let temp;
while(queue.length) {
res.push([]);
let size = queue.length;
while(size --) {
// 出队
let front = queue.shift();
res[level].push(front.val);
if(front.left) queue.push(front.left);
if(front.right) queue.push(front.right);
}
// 仅仅增加下面一行代码即可
if(level % 2) res[level].reverse();
level++;
}
return res;
};
二叉树的右视图
给定一棵二叉树,想象自己站在它的右侧,按照从顶部到底部的顺序,返回从右侧所能看到的节点值。
示例:
输入: [1,2,3,null,5,null,4]
输出: [1, 3, 4]
解释:
1 <---
/ \
2 3 <---
\ \
5 4 <---
来源: LeetCode第199题
思路
右视图?如果你以 DFS 即深度优先搜索的思路来想,你会感觉异常的痛苦。没错,当初我就是这样被坑的:)
但如果用广度优先搜索的思想,即用层序遍历的方式,求解这道题目也变得轻而易举。
代码实现
/**
* @param {TreeNode} root
* @return {number[]}
*/
var rightSideView = function(root) {
if(!root) return [];
let queue = [];
let res = [];
queue.push(root);
while(queue.length) {
res.push(queue[0].val);
let size = queue.length;
while(size --) {
// 一个size的循环就是一层的遍历,在这一层只拿最右边的结点
let front = queue.shift();
if(front.right) queue.push(front.right);
if(front.left) queue.push(front.left);
}
}
return res;
};
无权图 BFS 遍历
完全平方数
给定正整数 n,找到若干个完全平方数(比如 1, 4, 9, 16, ...)使得它们的和等于 n。你需要让组成和的完全平方数的个数最少。
示例:
输入: n = 12
输出: 3
解释: 12 = 4 + 4 + 4.
来源: LeetCode第279题
思路
这一题其实最容易想到的思路是动态规划,我们放到后面专门来拆解。实际上用队列进行图的建模,也是可以顺利地用广度优先遍历的方式解决的。

看到这个图,你可能会有点懵,我稍微解释一下你就明白了。
在这个无权图中,每一个点指向的都是它可能经过的上一个节点。举例来说,对 5 而言,可能是 4 加上了1的平方转换而来,也可能是1 加上了2的平方转换而来,因此跟1和2都有联系,依次类推。
那么我们现在要做了就是寻找到从 n 转换到 0 最短的连线数。
举个例子, n = 8 时,我们需要找到它的邻居节点4和7,此时到达 4 和到达 7 的步数都为 1, 然后分别从 4 和 7 出发,4 找到邻居节点3和0,达到 3 和 0 的步数都为 2,考虑到此时已经到达 0,遍历终止,返回到达 0 的步数 2 即可。
Talk is cheap, show me your code. 我们接下来来一步步实现这个寻找的过程。
实现
接下来我们来实现第一版的代码。
/**
* @param {number} n
* @return {number}
*/
var numSquares = function(n) {
let queue = [];
queue.push([n, 0]);
while(queue.length) {
let [num, step] = queue.shift();
for(let i = 1; ; i ++) {
let nextNum = num - i * i;
if(nextNum < 0) break;
// 还差最后一步就到了,直接返回 step + 1
if(nextNum == 0) return step + 1;
queue.push([nextNum, step + 1]);
}
}
// 最后是不需要返回另外的值的,因为 1 也是完全平方数,所有的数都能用 1 来组合
};
这个解法从功能上来讲是没有问题的,但是其中隐藏了巨大的性能问题,你可以去LeetCode去测试一下,基本是超时。
那为什么会出现这样的问题?
出就出在这样一行代码:
queue.push([nextNum, step + 1]);
只要是大于 0 的数,统统塞进队列。要知道 2 - 1 = 1, 5 - 4 = 1, 9 - 8 = 1 ......这样会重复非常多的 1, 依次类推,也会重复非常多的2,3等等等等。
这样大量的重复数字不仅仅消耗了更多的循环次数,同时也造成更加巨大的内存空间压力。
因此,我们需要对已经推入队列的数字进行标记,避免重复推入。改善代码如下:
var numSquares = function(n) {
let map = new Map();
let queue = [];
queue.push([n, 0]);
map.set(n, true);
while(queue.length) {
let [num, step] = queue.shift();
for(let i = 1; ; i++) {
let nextNum = num - i * i;
if(nextNum < 0) break;
if(nextNum == 0) return step + 1;
// nextNum 未被访问过
if(!map.get(nextNum)){
queue.push([nextNum, step + 1]);
// 标记已经访问过
map.set(nextNum, true);
}
}
}
};
单词接龙
给定两个单词(beginWord 和 endWord)和一个字典,找到从 beginWord 到 endWord 的最短转换序列的长度。转换需遵循如下规则:
- 每次转换只能改变一个字母。
- 转换过程中的中间单词必须是字典中的单词。
说明:
- 如果不存在这样的转换序列,返回 0。
- 所有单词具有相同的长度。
- 所有单词只由小写字母组成。
- 字典中不存在重复的单词。
- 你可以假设 beginWord 和 endWord 是非空的,且二者不相同。
示例:
输入:
beginWord = "hit",
endWord = "cog",
wordList = ["hot","dot","dog","lot","log","cog"]
输出: 5
解释: 一个最短转换序列是 "hit" -> "hot" -> "dot" -> "dog" -> "cog",
返回它的长度 5。
来源: LeetCode第127题
思路
这一题是一个更加典型的用图建模的问题。如果每一个单词都是一个节点,那么只要和这个单词仅有一个字母不同,那么就是它的相邻节点。
这里我们可以通过 BFS 的方式来进行遍历。实现如下:
代码实现
/**
* @param {string} beginWord
* @param {string} endWord
* @param {string[]} wordList
* @return {number}
*/
var ladderLength = function(beginWord, endWord, wordList) {
// 两个单词在图中是否相邻
const isSimilar = (a, b) => {
let diff = 0
for(let i = 0; i < a.length; i++) {
if(a.charAt(i) !== b.charAt(i)) diff++;
if(diff > 1) return false;
}
return true;
}
let queue = [beginWord];
let index = wordList.indexOf(beginWord);
if(index !== -1) wordList.splice(index, 1);
let res = 2;
while(queue.length) {
let size = queue.length;
while(size --) {
let front = queue.shift();
for(let i = 0; i < wordList.length; i++) {
if(!isSimilar(front, wordList[i]))continue;
// 找到了
if(wordList[i] === endWord) {
return res;
}
else {
queue.push(wordList[i]);
}
// wordList[i]已经成功推入,现在不需要了,删除即可
// 这一步性能优化,相当关键,不然100%超时
wordList.splice(i, 1);
i --;
}
}
// 步数 +1
res += 1;
}
return 0;
};
实现优先队列
所谓优先队列,就是一种特殊的队列, 其底层使用堆的结构,使得每次添加或者删除,让队首元素始终是优先级最高的。关于优先级通过什么字段、按照什么样的比较方式来设定,可以由我们自己来决定。
要实现优先队列,首先来实现一个堆的结构。
关于堆的说明
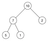
可能你以前没有接触过堆这种数据结构,但是其实是很简单的一种结构,其本质就是一棵二叉树。但是这棵二叉树比较特殊,除了用数组来依次存储各个节点(节点对应的数组下标和层序遍历的序号一致)之外,它需要保证任何一个父节点的优先级大于子节点,这也是它最关键的性质,因为保证了根元素一定是优先级最高的。
举一个例子:

现在这个堆的数组就是: [10, 7, 2, 5, 1]
因此也会产生两个非常关键的操作——siftUp 和 siftDown。
对于siftUp操作,我们试想一下现在有一个正常的堆,满足任何父元素优先级大于子元素,这时候向这个堆的数组末尾又添加了一个元素,那现在可能就不符合堆的结构特点了。那么现在我将新增的节点和其父节点进行比较,如果父节点优先级小于它,则两者交换,不断向上比较直到根节点为止,这样就保证了堆的正确结构。而这样的操作就是siftUp。
siftDown是与其相反方向的操作,从上到下比较,原理相同,也是为了保证堆的正确结构。
实现一个最大堆
最大堆,即堆顶元素为优先级最高的元素。
// 以最大堆为例来实现一波
/**
* @param {number[]} nums
* @param {number} k
* @return {number[]}
*/
class MaxHeap {
constructor(arr = [], compare = null) {
this.data = arr;
this.size = arr.length;
this.compare = compare;
}
getSize() {
return this.size;
}
isEmpty() {
return this.size === 0;
}
// 增加元素
add(value) {
this.data.push(value);
this.size++;
// 增加的时候把添加的元素进行 siftUp
this._siftUp(this.getSize() - 1);
}
// 找到优先级最高的元素
findMax() {
if (this.getSize() === 0)
return;
return this.data[0];
}
// 让优先级最高的元素(即队首元素)出队
extractMax() {
// 1.保存队首元素
let ret = this.findMax();
// 2.让队首和队尾元素交换位置
this._swap(0, this.getSize() - 1);
// 3. 把队尾踢出去,size--
this.data.pop();
this.size--;
// 4. 新的队首 siftDown
this._siftDown(0);
return ret;
}
toString() {
console.log(this.data);
}
_swap(i, j) {
[this.data[i], this.data[j]] = [this.data[j], this.data[i]];
}
_parent(index) {
return Math.floor((index - 1) / 2);
}
_leftChild(index) {
return 2 * index + 1;
}
_rightChild(index) {
return 2 * index + 2;
}
_siftUp(k) {
// 上浮操作,只要子元素优先级比父节点大,父子交换位置,一直向上直到根节点
while (k > 0 && this.compare(this.data[k], this.data[this._parent(k)])) {
this._swap(k, this._parent(k));
k = this._parent(k);
}
}
_siftDown(k) {
// 存在左孩子的时候
while (this._leftChild(k) < this.size) {
let j = this._leftChild(k);
// 存在右孩子而且右孩子比左孩子大
if (this._rightChild(k) < this.size &&
this.compare(this.data[this._rightChild(k)], this.data[j])) {
j++;
}
if (this.compare(this.data[k], this.data[j]))
return;
// 父节点比子节点小,交换位置
this._swap(k, j);
// 继续下沉
k = j;
}
}
}
实现优先队列
有了最大堆作铺垫,实现优先队列就易如反掌,废话不多说,直接放上代码。
class PriorityQueue {
// max 为优先队列的容量
constructor(max, compare) {
this.max = max;
this.compare = compare;
this.maxHeap = new MaxHeap([], compare);
}
getSize() {
return this.maxHeap.getSize();
}
isEmpty() {
return this.maxHeap.isEmpty();
}
getFront() {
return this.maxHeap.findMax();
}
enqueue(e) {
// 比当前最高的优先级的还要高,直接不处理
if (this.getSize() === this.max) {
if (this.compare(e, this.getFront())) return;
this.dequeue();
}
return this.maxHeap.add(e);
}
dequeue() {
if (this.getSize() === 0) return null;
return this.maxHeap.extractMax();
}
}
怎么样,是不是非常简单?传说中的优先队列也不过如此。
且慢,可能会有人问: 你怎么保证这个优先队列是正确的呢?
我们不妨来做一下测试:
let pq = new PriorityQueue(3);
pq.enqueue(1);
pq.enqueue(333);
console.log(pq.dequeue());
console.log(pq.dequeue());
pq.enqueue(3);
pq.enqueue(6);
pq.enqueue(62);
console.log(pq.dequeue());
console.log(pq.dequeue());
console.log(pq.dequeue());
结果如下:
333
1
62
6
3
可见,这个优先队列的功能初步满足了我们的预期。后面,我们将通过实际的例子来运用这种数据结构来解决问题。
优先队列应用
前 K 个高频元素
给定一个非空的整数数组,返回其中出现频率前 k 高的元素。
示例:
输入: nums = [1,1,1,2,2,3], k = 2
输出: [1,2]
说明:
- 你可以假设给定的 k 总是合理的,且 1 ≤ k ≤ 数组中不相同的元素的个数。
- 你的算法的时间复杂度必须优于 O(n log n) , n 是数组的大小。
来源: LeetCode第347题
思路
首先要做的肯定是统计频率,那之后如何来选取频率前 K 个元素同时又保证时间复杂度小于 O(n log n)呢?
当然,这是一道典型的考察优先队列的题,利用容量为 K 的优先队列每次踢出不符合条件的值,那么最后剩下的即为所求。整个时间复杂度成为 O(n log K),明显是小于 O(n log n) 的。
既然是优先队列,就涉及到如何来定义优先级的问题。
倘若我们以高频率为高优先级,那么队首始终是高频率的元素,因此每次出队是踢出出现频率最高的元素,假设优先队列容量为 K,那照这么做,剩下的是频率最低的 K 个元素,显然不符合题意。
因此,我们需要的是每次出队时踢出频率最低的元素,这样最后剩下来的就是频率最高 K 个元素。
是不是我们为了踢出频率最低的元素,还要重新写一个小顶堆的实现呢?
完全不需要!就像我刚才所说的,合理地定义这个优先级的比较逻辑即可。接下来我们来具体实现一下。
代码实现
var topKFrequent = function(nums, k) {
let map = {};
let pq = new PriorityQueue(k, (a, b) => map[a] - map[b] < 0);
for(let i = 0; i < nums.length; i++) {
if(!map[nums[i]]) map[nums[i]] = 1;
else map[nums[i]] = map[[nums[i]]] + 1;
}
let arr = Array.from(new Set(nums));
for(let i = 0; i < arr.length; i++) {
pq.enqueue(arr[i]);
}
return pq.maxHeap.data;
};
合并 K 个排序链表
合并 k 个排序链表,返回合并后的排序链表。请分析和描述算法的复杂度。
示例:
输入:
[
1->4->5,
1->3->4,
2->6
]
输出: 1->1->2->3->4->4->5->6
这一题我们之前在链表篇实现过,殊不知,它也可以利用优先队列完美解决。
来源: LeetCode第23题
/**
* @param {ListNode[]} lists
* @return {ListNode}
*/
var mergeKLists = function(lists) {
let dummyHead = p = new ListNode();
// 定义优先级的函数,重要!
let pq = new PriorityQueue(lists.length, (a, b) => a.val <= b.val);
// 将头结点推入优先队列
for(let i = 0; i < lists.length; i++)
if(lists[i]) pq.enqueue(lists[i]);
// 取出值最小的节点,如果 next 不为空,继续推入队列
while(pq.getSize()) {
let min = pq.dequeue();
p.next = min;
p = p.next;
if(min.next) pq.enqueue(min.next);
}
return dummyHead.next;
};
怎么样,是不是被惊艳到!原来优先队列可以这样来使用!
双端队列及应用
什么是双端队列?
双端队列是一种特殊的队列,首尾都可以添加或者删除元素,是一种加强版的队列。
JS 中的数组就是一种典型的双端队列。push、pop 方法分别从尾部添加和删除元素,unshift、shift 方法分别从首部添加和删除元素。
滑动窗口最大值
给定一个数组 nums,有一个大小为 k 的滑动窗口从数组的最左侧移动到数组的最右侧。你只可以看到在滑动窗口内的 k 个数字。滑动窗口每次只向右移动一位。
返回滑动窗口中的最大值。
示例:
输入: nums = [1,3,-1,-3,5,3,6,7], 和 k = 3
输出: [3,3,5,5,6,7]
解释:
滑动窗口的位置 最大值
--------------- -----
[1 3 -1] -3 5 3 6 7 3
1 [3 -1 -3] 5 3 6 7 3
1 3 [-1 -3 5] 3 6 7 5
1 3 -1 [-3 5 3] 6 7 5
1 3 -1 -3 [5 3 6] 7 6
1 3 -1 -3 5 [3 6 7] 7
要求: 时间复杂度应为线性。
来源: LeetCode第239题
思路
这是典型地使用双端队列求解的问题。
建立一个双端队列 window,每次 push 进来一个新的值,就将 window 中目前前面所有比它小的值都删除。利用双端队列的特性,可以从后往前遍历,遇到小的就删除之,否则停止。
这样可以保证队首始终是最大值,因此寻找最大值的时间复杂度可以降到 O(1)。由于 window 中会有越来越多的值被淘汰,因此整体的时间复杂度是线性的。
代码实现
代码非常的简洁,但是如果要写出 bug free 的代码还是有相当的难度的,希望你能自己独立实现一遍。
var maxSlidingWindow = function(nums, k) {
// 异常处理
if(nums.length === 0 || !k) return [];
let window = [], res = [];
for(let i = 0; i < nums.length; i++) {
// 先把滑动窗口之外的踢出
if(window[0] !== undefined && window[0] <= i - k) window.shift();
// 保证队首是最大的
while(nums[window[window.length - 1]] <= nums[i]) window.pop();
window.push(i);
if(i >= k - 1) res.push(nums[window[0]])
}
return res;
};
栈和队列的相互实现
栈实现队列
使用栈实现队列的下列操作:
push(x) -- 将一个元素放入队列的尾部。 pop() -- 从队列首部移除元素。 peek() -- 返回队列首部的元素。 empty() -- 返回队列是否为空。
示例:
let queue = new MyQueue();
queue.push(1);
queue.push(2);
queue.peek(); // 返回 1
queue.pop(); // 返回 1
queue.empty(); // 返回 false
来源: LeetCode第232题
思路
既然栈是先进后出, 要想得到先进先出的效果,我们不妨用两个栈。
当进行push操作时,push 到 stack1,而进行pop和peek的操作时,我们通过stack2。
当然这其中有一个特殊情况,就是stack2是空,如何来进行pop和peek? 很简单,把stack1中的元素依次 pop 并推入stack2中,然后正常地操作 stack2即可,如下图所示:

这就就能保证先入先出的效果了。
代码实现
var MyQueue = function() {
this.stack1 = [];
this.stack2 = [];
};
MyQueue.prototype.push = function(x) {
this.stack1.push(x);
};
// 将 stack1 的元素转移到 stack2
MyQueue.prototype.transform = function() {
while(this.stack1.length) {
this.stack2.push(this.stack1.pop());
}
}
MyQueue.prototype.pop = function() {
if(!this.stack2.length) this.transform();
return this.stack2.pop();
};
MyQueue.prototype.peek = function() {
if(!this.stack2.length) this.transform();
return this.stack2[this.stack2.length - 1];
};
MyQueue.prototype.empty = function() {
return !this.stack1.length && !this.stack2.length;
};
队列实现栈
和上一题的效果刚好相反,用队列先进先出的方式来实现先进后出的效果。
思路

以上面的队列为例,push 操作好说,直接从在队列末尾推入。但 pop 和 peek 呢?
回到我们的目标,我们的目标是拿到队尾的值,也就是3。这就好办了,我们让前面的元素统统出队,只留队尾元素即可,剩下的元素让另外一个队列保存。

来源: LeetCode第225题
代码实现
实现过程中,值得注意的一点是,queue1 始终保存前面的元素,queue2 始终保存队尾元素(即栈顶元素 )。
但是当 push 的时候有一个陷阱,就是当queue2已经有元素的时候,不能将新值 push 到 queue1,因为此时的栈顶元素应该更新。此时对于新的值来说,应先 push 到 queue2, 然后将旧的栈顶从queue2出队,推入 queue1,这样就实现了更新栈顶的操作。
var MyStack = function() {
this.queue1 = [];
this.queue2 = [];
};
MyStack.prototype.push = function(x) {
if(!this.queue2.length) this.queue1.push(x);
else {
// queue2 已经有值
this.queue2.push(x);
// 旧的栈顶移到 queue1 中
this.queue1.push(this.queue2.shift());
}
};
MyStack.prototype.transform = function() {
while(this.queue1.length !== 1) {
this.queue2.push(this.queue1.shift())
}
// queue2 保存了前面的元素
// 让 queue1 和 queue2 交换
// 现在queue1 包含前面的元素,queue2 里面就只包含队尾的元素
let tmp = this.queue1;
this.queue1 = this.queue2;
this.queue2 = tmp;
}
MyStack.prototype.pop = function() {
if(!this.queue2.length) this.transform();
return this.queue2.shift();
};
MyStack.prototype.top = function() {
if(!this.queue2.length) this.transform();
return this.queue2[0];
};
MyStack.prototype.empty = function() {
return !this.queue1.length && !this.queue2.length;
};
二叉树篇
二叉树的遍历
前序遍历
示例:
示例:
输入: [1,null,2,3]
1
\
2
/
3
输出: [1,2,3]
来源: LeetCode第144题
递归方式
/**
* @param {TreeNode} root
* @return {number[]}
*/
var preorderTraversal = function(root) {
let arr = [];
let traverse = (root) => {
if(root == null) return;
arr.push(root.val);
traverse(root.left);
traverse(root.right);
}
traverse(root);
return arr;
};
非递归方式
var preorderTraversal = function(root) {
if(root == null) return [];
let stack = [], res = [];
stack.push(root);
while(stack.length) {
let node = stack.pop();
res.push(node.val);
// 左孩子后进先出,进行先左后右的深度优先遍历
if(node.right) stack.push(node.right);
if(node.left) stack.push(node.left);
}
return res;
};
中序遍历
给定一个二叉树,返回它的中序 遍历。
示例:
输入: [1,null,2,3]
1
\
2
/
3
输出: [1,3,2]
来源: LeetCode第94题
递归方式:
/**
* @param {TreeNode} root
* @return {number[]}
*/
var inorderTraversal = function(root) {
let arr = [];
let traverse = (root) => {
if(root == null) return;
traverse(root.left);
arr.push(root.val);
traverse(root.right);
}
traverse(root);
return arr;
};
非递归方式
var inorderTraversal = function(root) {
if(root == null) return [];
let stack = [], res = [];
let p = root;
while(stack.length || p) {
while(p) {
stack.push(p);
p = p.left;
}
let node = stack.pop();
res.push(node.val);
p = node.right;
}
return res;
};
后序遍历
给定一个二叉树,返回它的 后序 遍历。
示例:
输入: [1,null,2,3]
1
\
2
/
3
输出: [3,2,1]
来源: LeetCode第145题
递归方式
/**
* @param {TreeNode} root
* @return {number[]}
*/
var postorderTraversal = function(root) {
let arr = [];
let traverse = (root) => {
if(root == null) return;
traverse(root.left);
traverse(root.right);
arr.push(root.val);
}
traverse(root);
return arr
};
非递归方式
var postorderTraversal = function(root) {
if(root == null) return [];
let stack = [], res = [];
let visited = new Set();
let p = root;
while(stack.length || p) {
while(p) {
stack.push(p);
p = p.left;
}
let node = stack[stack.length - 1];
// 如果右孩子存在,而且右孩子未被访问
if(node.right && !visited.has(node.right)) {
p = node.right;
visited.add(node.right);
} else {
res.push(node.val);
stack.pop();
}
}
return res;
};
最大/最小深度
最大深度
给定一个二叉树,找出其最大深度。
二叉树的深度为根节点到最远叶子节点的最长路径上的节点数。
说明: 叶子节点是指没有子节点的节点。
示例: 给定二叉树 [3,9,20,null,null,15,7]:
3
/ \
9 20
/ \
15 7
返回它的最大深度 3 。 来源: LeetCode第104题
递归实现
实现非常简单,直接贴出代码:
/**
* @param {TreeNode} root
* @return {number}
*/
var maxDepth = function(root) {
// 递归终止条件
if(root == null) return 0;
return Math.max(maxDepth(root.left) + 1, maxDepth(root.right) + 1);
};
非递归实现
采用层序遍历的方式,非常好理解。
var maxDepth = function(root) {
if(root == null) return 0;
let queue = [root];
let level = 0;
while(queue.length) {
let size = queue.length;
while(size --) {
let front = queue.shift();
if(front.left) queue.push(front.left);
if(front.right) queue.push(front.right);
}
// level ++ 后的值代表着现在已经处理完了几层节点
level ++;
}
return level;
};
最小深度
给定一个二叉树,找出其最小深度。
最小深度是从根节点到最近叶子节点的最短路径上的节点数量。
说明: 叶子节点是指没有子节点的节点。
示例:
给定二叉树 [3,9,20,null,null,15,7]:
3
/ \
9 20
/ \
15 7
返回它的最小深度 2.
来源: LeetCode第111题
递归实现
在实现的过程中,如果按照最大深度的方式来做会出现一个陷阱,即:
/**
* @param {TreeNode} root
* @return {number}
*/
var minDepth = function(root) {
// 递归终止条件
if(root == null) return 0;
return Math.min(minDepth(root.left) + 1, minDepth(root.right)+1);
};
当 root 节点有一个孩子为空的时候,此时返回的是 1, 但这是不对的,最小高度指的是根节点到最近叶子节点的最小路径,而不是到一个空节点的路径。
因此我们需要做如下的调整:
var minDepth = function(root) {
if(root == null) return 0;
// 左右孩子都不为空才能像刚才那样调用
if(root.left && root.right)
return Math.min(minDepth(root.left), minDepth(root.right)) + 1;
// 右孩子为空了,直接忽略之
else if(root.left)
return minDepth(root.left) + 1;
// 左孩子为空,忽略
else if(root.right)
return minDepth(root.right) + 1;
// 两个孩子都为空,说明到达了叶子节点,返回 1
else return 1;
};
这样程序便能正常工作了。
非递归实现
类似于最大高度问题,采用了层序遍历的方式,很容易理解。
var minDepth = function(root) {
if(root == null) return 0;
let queue = [root];
let level = 0;
while(queue.length) {
let size = queue.length;
while(size --) {
let front = queue.shift();
// 找到叶子节点
if(!front.left && !front.right) return level + 1;
if(front.left) queue.push(front.left);
if(front.right) queue.push(front.right);
}
// level ++ 后的值代表着现在已经处理完了几层节点
level ++;
}
return level;
};
对称二叉树
给定一个二叉树,检查它是否是镜像对称的。
例如,二叉树 [1,2,2,3,4,4,3] 是对称的。
1
/ \
2 2
/ \ / \
3 4 4 3
但是下面这个 [1,2,2,null,3,null,3] 则不是镜像对称的:
1
/ \
2 2
\ \
3 3
来源: LeetCode第101题
递归实现
递归方式的代码是非常干练和优雅的,希望你先自己实现一遍,然后对比改进。
/**
* @param {TreeNode} root
* @return {boolean}
*/
var isSymmetric = function(root) {
let help = (node1, node2) => {
// 都为空
if(!node1 && !node2) return true;
// 一个为空一个不为空,或者两个节点值不相等
if(!node1 || !node2 || node1.val !== node2.val) return false;
return help(node1.left, node2.right) && help(node1.right, node2.left);
}
if(root == null) return true;
return help(root.left, root.right);
};
非递归实现
用一个队列保存访问过的节点,每次取出两个节点,进行比较。
var isSymmetric = function(root) {
if(root == null) return true;
let queue = [root.left, root.right];
let node1, node2;
while(queue.length) {
node1 = queue.shift();
node2 = queue.shift();
// 两节点均为空
if(!node1 && !node2)continue;
// 一个为空一个不为空,或者两个节点值不相等
if(!node1 || !node2 || node1.val !== node2.val) return false;
queue.push(node1.left);
queue.push(node2.right);
queue.push(node1.right);
queue.push(node2.left);
}
return true;
};
LCA 问题
LCA (Lowest Common Ancestor)即最近公共祖先问题。
百度百科中最近公共祖先的定义为:“对于有根树 T 的两个结点 p、q,最近公共祖先表示为一个结点 x,满足 x 是 p、q 的祖先且 x 的深度尽可能大(一个节点也可以是它自己的祖先)。”
二叉树的最近公共祖先
对于一个普通的二叉树: root = [3,5,1,6,2,0,8,null,null,7,4]

输入: root = [3,5,1,6,2,0,8,null,null,7,4], p = 5, q = 1
输出: 3
解释: 节点 5 和节点 1 的最近公共祖先是节点 3。
来源: LeetCode第236题
思路分析
思路一: 首先遍历一遍二叉树,记录下每个节点的父节点。然后对于题目给的 p 节点,根据这个记录表不断的找 p 的上层节点,直到根,记录下 p 的上层节点集合。然后对于 q 节点,根据记录不断向上找它的上层节点,在寻找的过程中一旦发现这个上层节点已经包含在刚刚的集合中,说明发现了最近公共祖先,直接返回。
思路二: 深度优先遍历二叉树,如果当前节点为 p 或者 q,直接返回这个节点,否则查看左右孩子,左孩子中不包含 p 或者 q 则去找右孩子,右孩子不包含 p 或者 q 就去找左孩子,剩下的情况就是左右孩子中都存在 p 或者 q, 那么此时直接返回这个节点。
祖先节点集合法
/**
* @param {TreeNode} root
* @param {TreeNode} p
* @param {TreeNode} q
* @return {TreeNode}
*/
var lowestCommonAncestor = function(root, p, q) {
if(root == null || root == p || root == q) return root;
let set = new Set();
let map = new WeakMap();
let queue = [];
queue.push(root);
// 层序遍历
while(queue.length) {
let size = queue.length;
while(size --) {
let front = queue.shift();
if(front.left) {
queue.push(front.left);
// 记录父亲节点
map.set(front.left, front);
}
if(front.right) {
queue.push(front.right);
// 记录父亲节点
map.set(front.right, front);
}
}
}
// 构造 p 的上层节点集合
while(p) {
set.add(p);
p = map.get(p);
}
while(q) {
// 一旦发现公共节点重合,直接返回
if(set.has(q))return q;
q = map.get(q);
}
};
可以看到整棵二叉树遍历了一遍,时间复杂度大致是 O(n),但是由于哈希表的存在,空间复杂度比较高,接下来我们来用另一种遍历的方式,可以大大减少空间的开销。
深度优先遍历法
代码非常简洁、美观,不过更重要的是体会其中递归调用的过程,代码是自顶向下执行的,我建议大家用自底向上的方式来理解它,即从最左下的节点开始分析,相信你会很好的理解整个过程。
var lowestCommonAncestor = function(root, p, q) {
if (root == null || root == p || root == q) return root;
let left = lowestCommonAncestor(root.left, p, q);
let right = lowestCommonAncestor(root.right, p, q);
if(left == null) return right;
else if(right == null) return left;
return root;
};
二叉搜索树的最近公共祖先
给定如下二叉搜索树: root = [6,2,8,0,4,7,9,null,null,3,5]
输入: root = [6,2,8,0,4,7,9,null,null,3,5], p = 2, q = 8
输出: 6
解释: 节点 2 和节点 8 的最近公共祖先是 6。
来源: LeetCode第235题
实现
二叉搜索树作为一种特殊的二叉树,当然是可以用上述的两种方式来实现的。
不过借助二叉搜索树有序的特性,我们也可以写出另外一个版本的深度优化遍历。
/**
* @param {TreeNode} root
* @param {TreeNode} p
* @param {TreeNode} q
* @return {TreeNode}
*/
var lowestCommonAncestor = function(root, p, q) {
if(root == null || root == p || root == q) return root;
// root.val 比 p 和 q 都大,找左孩子
if(root.val > p.val && root.val > q.val)
return lowestCommonAncestor(root.left, p, q);
// root.val 比 p 和 q 都小,找右孩子
if(root.val < p.val && root.val < q.val)
return lowestCommonAncestor(root.right, p, q);
else
return root;
};
同时也可以采用非递归的方式:
var lowestCommonAncestor = function(root, p, q) {
let node = root;
while(node) {
if(p.val > node.val && q.val > node.val)
node = node.right;
else if(p.val < node.val && q.val < node.val)
node = node.left;
else return node;
}
};
是不是被二叉树精简而优雅的代码惊艳到了呢?希望你能好好体会其中遍历的过程,然后务必自己独立实现一遍,保证对这种数据结构足够熟悉,增强自己的编程内力。
二叉树中的路径问题
No.1 二叉树的直径
给定一棵二叉树,你需要计算它的直径长度。一棵二叉树的直径长度是任意两个结点路径长度中的最大值。这条路径可能穿过根结点。
示例 : 给定二叉树
1
/ \
2 3
/ \
4 5
返回 3, 它的长度是路径 [4,2,1,3] 或者 [5,2,1,3]。
注意:两结点之间的路径长度是以它们之间边的数目表示。
来源: LeetCode第543题
思路
所谓的求直径, 本质上是求树中节点左右子树高度和的最大值。
注意,这里我说的是树中节点, 并非根节点。因为会有这样一种情况:
1
/
2
/ \
4 5
/ \
8 6
\
7
那这个时候,直径最大的路径是: 8 -> 4 -> 2-> 5 -> 6 -> 7。交界的元素并不是根节点。这是这个问题特别需要注意的地方,不然无解。
初步求解
目标已经确定了,求树中节点左右子树高度和的最大值。开干!
/**
* @param {TreeNode} root
* @return {number}
*/
var diameterOfBinaryTree = function(root) {
// 求最大深度
let maxDepth = (node) => {
if(node == null) return 0;
return Math.max(maxDepth(node.left) + 1, maxDepth(node.right) + 1);
}
let help = (node) => {
if(node == null) return 0;
let rootSum = maxDepth(node.left) + maxDepth(node.right);
let childSum = Math.max(help(node.left), help(node.right));
return Math.max(rootSum, childSum);
}
if(root == null) return 0;
return help(root);
};
这样一段代码放到 LeetCode 是可以通过,但时间上却不让人很满意,为什么呢?
因为在反复调用 maxDepth 的过程,对树中的一些节点增加了很多不必要的访问。比如:
1
/
2
/ \
4 5
/ \
8 6
\
7
我们看什么时候访问节点 8,maxDepth(节点 2)的时候访问, maxDepth(节点 4)的时候又会访问,如果节点层级更高,重复访问的次数更加频繁,剩下的节点6、节点 7 都是同理。每一个节点访问的次数大概是 O(logK)(设当前节点在第 K 层)。那能不能把这个频率降到 O(1) 呢?
答案是肯定的,接下来我们来优化这个算法。
优化解法
var diameterOfBinaryTree = function(root) {
let help = (node) => {
if(node == null) return 0;
let left = node.left ? help(node.left) + 1: 0;
let right = node.right ? help(node.right) + 1: 0;
let cur = left + right;
if(cur > max) max = cur;
// 这个返回的操作相当关键
return Math.max(left, right);
}
let max = 0;
if(root == null) return 0;
help(root);
return max;
};
在这个过程中设置了一个max全局变量,深度优先遍历这棵树,每遍历完一个节点就更新max,并通过返回值的方式自底向上把当前节点左右子树的最大高度传给父函数使用,使得每个节点只需访问一次即可。
现在提交我们优化后的代码,时间消耗明显降低。
No.2 二叉树的所有路径
给定一个二叉树,返回所有从根节点到叶子节点的路径。
说明: 叶子节点是指没有子节点的节点。
示例:
输入:
1
/ \
2 3
\
5
输出: ["1->2->5", "1->3"]
解释: 所有根节点到叶子节点的路径为: 1->2->5, 1->3
来源: LeetCode第257题
递归解法
利用 DFS(深度优先遍历) 的方式进行遍历。
/**
* @param {TreeNode} root
* @return {string[]}
*/
var binaryTreePaths = function(root) {
let path = [];
let res = [];
let dfs = (node) => {
if(node == null) return;
path.push(node);
dfs(node.left);
dfs(node.right);
if(!node.left && !node.right)
res.push(path.map(item => item.val).join('->'));
// 注意每访问完一个节点记得把它从path中删除,达到回溯效果
path.pop();
}
dfs(root);
return res;
};
非递归解法
接下来我们通过非递归的后序遍历的方式来实现一下, 顺便复习一下后序遍历的实现。
::: tip 提示
后序遍历其实也是 DFS 的一种具体实现方式。
:::
var binaryTreePaths = function(root) {
if(root == null) return [];
let stack = [];
let p = root;
let set = new Set();
res = [];
while(stack.length || p) {
while(p) {
stack.push(p);
p = p.left;
}
let node = stack[stack.length - 1];
// 叶子节点
if(!node.right && !node.left) {
res.push(stack.map(item => item.val).join('->'));
}
// 右孩子存在,且右孩子未被访问
if(node.right && !set.has(node.right)) {
p = node.right;
set.add(node.right);
} else {
stack.pop();
}
}
return res;
};
No.3 二叉树的最大路径和
给定一个非空二叉树,返回其最大路径和。
本题中,路径被定义为一条从树中任意节点出发,达到任意节点的序列。该路径至少包含一个节点,且不一定经过根节点。
示例:
输入: [-10,9,20,null,null,15,7]
-10
/ \
9 20
/ \
15 7
输出: 42
来源: LeetCode第124题
递归解
/**
* @param {TreeNode} root
* @return {number}
*/
var maxPathSum = function(root) {
let help = (node) => {
if(node == null) return 0;
let left = Math.max(help(node.left), 0);
let right = Math.max(help(node.right), 0);
let cur = left + node.val + right;
// 如果发现某一个节点上的路径值比max还大,则更新max
if(cur > max) max = cur;
// left 和 right 永远是"一根筋",中间不会有转折
return Math.max(left, right) + node.val;
}
let max = Number.MIN_SAFE_INTEGER;
help(root);
return max;
};
二叉搜索树
No.1 验证二叉搜索树
给定一个二叉树,判断其是否是一个有效的二叉搜索树。
假设一个二叉搜索树具有如下特征:
节点的左子树只包含小于当前节点的数。 节点的右子树只包含大于当前节点的数。 所有左子树和右子树自身必须也是二叉搜索树。
示例 1:
输入:
2
/ \
1 3
输出: true
来源: LeetCode第98题
方法一: 中序遍历
通过中序遍历,保存前一个节点的值,扫描到当前节点时,和前一个节点的值比较,如果大于前一个节点,则满足条件,否则不是二叉搜索树。
/**
* @param {TreeNode} root
* @return {boolean}
*/
var isValidBST = function(root) {
let prev = null;
const help = (node) => {
if(node == null) return true;
if(!help(node.left)) return false;
if(prev !== null && prev >= node.val) return false;
// 保存当前节点,为下一个节点的遍历做准备
prev = node.val;
return help(node.right);
}
return help(root);
};
方法二: 限定上下界进行DFS
二叉搜索树每一个节点的值,都有一个上界和下界,深度优先遍历的过程中,如果访问左孩子,则通过当前节点的值来更新左孩子节点的上界,同时访问右孩子,则更新右孩子的下界,只要出现节点值越界的情况,则不满足二叉搜索树的条件。
parent
/ \
left right
假设这是一棵巨大的二叉树的一个部分(parent、left、right都是实实在在的节点),那么全部的节点排完序一定是这样:
...left, parent, right...
可以看到左孩子的最严格的上界是该节点, 同时, 右孩子的最严格的下界也是该节点。我们按照这样的规则来进行更新上下界。
递归实现:
var isValidBST = function(root) {
const help = (node, max, min) => {
if(node == null) return true;
if(node.val >= max || node.val <= min) return false;
// 左孩子更新上界,右孩子更新下界,相当于边界要求越来越苛刻
return help(node.left, node.val, min)
&& help(node.right, max, node.val);
}
return help(root, Number.MAX_SAFE_INTEGER, Number.MIN_SAFE_INTEGER);
};
非递归实现:
var isValidBST = function(root) {
if(root == null) return true;
let stack = [root];
let min = Number.MIN_SAFE_INTEGER;
let max = Number.MAX_SAFE_INTEGER;
root.max = max; root.min = min;
while(stack.length) {
let node = stack.pop();
if(node.val <= node.min || node.val >= node.max)
return false;
if(node.left) {
stack.push(node.left);
// 更新上下界
node.left.max = node.val;
node.left.min = node.min;
}
if(node.right) {
stack.push(node.right);
// 更新上下界
node.right.max = node.max;
node.right.min = node.val;
}
}
return true;
};
No.2 将有序数组转换为二叉搜索树
将一个按照升序排列的有序数组,转换为一棵高度平衡二叉搜索树。
本题中,一个高度平衡二叉树是指一个二叉树每个节点 的左右两个子树的高度差的绝对值不超过 1。
示例:
给定有序数组: [-10,-3,0,5,9],
一个可能的答案是:[0,-3,9,-10,null,5],它可以表示下面这个高度平衡二叉搜索树:
0
/ \
-3 9
/ /
-10 5
来源: LeetCode第108题
递归实现
/**
* @param {number[]} nums
* @return {TreeNode}
*/
var sortedArrayToBST = function(nums) {
let help = (start, end) => {
if(start > end) return null;
if(start === end) return new TreeNode(nums[start]);
let mid = Math.floor((start + end) / 2);
// 找出中点建立节点
let node = new TreeNode(nums[mid]);
node.left = help(start, mid - 1);
node.right = help(mid + 1, end);
return node;
}
return help(0, nums.length - 1);
};
递归程序比较好理解,不断地调用 help 完成整棵树树的构建。那如何用非递归来解决呢?我觉得这是一个非常值得大家思考的问题。希望你能动手试一试,如果实在想不出来,可以参考下面我写的非递归版本。
其实思路跟递归的版本是一样的,只不过实现起来是用栈来实现 DFS 的效果。
/**
* @param {number[]} nums
* @return {TreeNode}
*/
var sortedArrayToBST = function(nums) {
if(nums.length === 0) return null;
let mid = Math.floor(nums.length / 2);
let root = new TreeNode(nums[mid]);
// 说明: 1. index 指的是当前元素在数组中的索引
// 2. 每一个节点的值都是区间中点,那么 start 属性就是这个区间的起点,end 为其终点
root.index = mid; root.start = 0; root.end = nums.length - 1;
let stack = [root];
while(stack.length) {
let node = stack.pop();
// node 出来了,它本身包含了一个区间,[start, ..., index, ... end]
// 下面判断[node.start, node.index - 1]之间是否还有开发的余地
if(node.index - 1 >= node.start) {
let leftMid = Math.floor((node.start + node.index)/2);
let leftNode = new TreeNode(nums[leftMid]);
node.left = leftNode;
// 初始化新节点的区间起点、终点和索引
leftNode.start = node.start;
leftNode.end = node.index - 1;
leftNode.index = leftMid;
stack.push(leftNode);
}
// 中间夹着node.index, 已经有元素了,这个位置不能再开发
// 下面判断[node.index + 1, node.end]之间是否还有开发的余地
if(node.end >= node.index + 1) {
let rightMid = Math.floor((node.index + 1 + node.end)/2);
let rightNode = new TreeNode(nums[rightMid]);
node.right = rightNode;
// 初始化新节点的区间起点、终点和索引
rightNode.start = node.index + 1;
rightNode.end = node.end;
rightNode.index = rightMid;
stack.push(rightNode);
}
}
return root;
};
No.3 二叉树展开为链表
给定一个二叉(搜索)树,原地将它展开为链表。
例如,给定二叉树
1
/ \
2 5
/ \ \
3 4 6
将其展开为:
1
\
2
\
3
\
4
\
5
\
6
来源: LeetCode第114题
递归方式
采用后序遍历,遍历完左右孩子我们要做些什么呢?用下面的图来演示一下(点击可放大):

/**
* @param {TreeNode} root
* @return {void} Do not return anything, modify root in-place instead.
*/
var flatten = function(root) {
if(root == null) return;
flatten(root.left);
flatten(root.right);
if(root.left) {
let p = root.left;
while(p.right) {
p = p.right;
}
p.right = root.right;
root.right = root.left;
root.left = null;
}
};
非递归方式
采用非递归的后序遍历方式,思路跟之前的完全一样。
var flatten = function(root) {
if(root == null) return;
let stack = [];
let visited = new Set();
let p = root;
// 开始后序遍历
while(stack.length || p) {
while(p) {
stack.push(p);
p = p.left;
}
let node = stack[stack.length - 1];
// 如果右孩子存在,而且右孩子未被访问
if(node.right && !visited.has(node.right)) {
p = node.right;
visited.add(node.right);
} else {
// 以下为思路图中关键逻辑
if(node.left) {
let p = node.left;
while(p.right) {
p = p.right;
}
p.right = node.right;
node.right = node.left;
node.left = null;
}
stack.pop();
}
}
};
No.4 不同的二叉搜索树II
给定一个整数 n,生成所有由 1 ... n 为节点所组成的二叉搜索树。
示例:
输入: 3
输出:
[
[1,null,3,2],
[3,2,null,1],
[3,1,null,null,2],
[2,1,3],
[1,null,2,null,3]
]
解释:
以上的输出对应以下 5 种不同结构的二叉搜索树:
1 3 3 2 1
\ / / / \ \
3 2 1 1 3 2
/ / \ \
2 1 2 3
来源: LeetCode第95题
递归解法
递归创建子树
/**
* @param {number} n
* @return {TreeNode[]}
*/
var generateTrees = function(n) {
let help = (start, end) => {
if(start > end) return [null];
if(start === end) return [new TreeNode(start)];
let res = [];
for(let i = start; i <= end; i++) {
// 左孩子集
let leftNodes = help(start, i - 1);
// 右孩子集
let rightNodes = help(i + 1, end);
for(let j = 0; j < leftNodes.length; j++) {
for(let k = 0; k < rightNodes.length; k++) {
let root = new TreeNode(i);
root.left = leftNodes[j];
root.right = rightNodes[k];
res.push(root);
}
}
}
return res;
}
if(n == 0) return [];
return help(1, n);
};
非递归解法
var generateTrees = function(n) {
let clone = (node, offset) => {
if(node == null) return null;
let newnode = new TreeNode(node.val + offset);
newnode.left = clone(node.left, offset);
newnode.right = clone(node.right, offset);
return newnode;
}
if(n == 0) return [];
let dp = [];
dp[0] = [null];
// i 是子问题中的节点个数,子问题: [1], [1,2], [1,2,3]...逐步递增,直到[1,2,3...,n]
for(let i = 1; i <= n; i++) {
dp[i] = [];
for(let j = 1; j <= i; j++) {
// 左子树集
for(let leftNode of dp[j - 1]) {
// 右子树集
for(let rightNode of dp[i - j]) {
let node = new TreeNode(j);
// 左子树结构共享
node.left = leftNode;
// 右子树无法共享,但可以借用节点个数相同的树,每个节点增加一个偏移量
node.right = clone(rightNode, j);
dp[i].push(node);
}
}
}
}
return dp[n];
};
这一次的分享就到这里了。可以看到数据结构和算法是知识是多么庞大,不过在这个系列的驱动下,相信你一定能拿下数据结构和算法这一板块的知识体系,下面是本系列的github仓库,供大家参考学习,我们下期再见。
另外本人的博客现在已经分类整理完毕,地址在这里,点击打开。