以数据科学家的眼光投资,你可能会一夜暴富

331 阅读11分钟

全文共5155字,预计学习时长15分钟

来源:Pexels


读者肯定知道数据科学是一个涉及统计、数学、计算机科学和商业知识的交叉学科。数据科学家需具备的心态和多重技能是非常强大的工具。它们才而非博士学位证书才是优秀数据科学家的资格证。它们不仅对你的职业生涯有所助益,同时也对生活决策起到极大的正向推动作用。

对于任何追求财富自由的人来说,投资都是一项终身课题。不论是股票投资还是自我投资,都有许多应当遵守的原则。这些原则十分重要但也容易被遗忘。其原因要归咎于人类本性:只有失败的投资经历才会让人明白这些原则的重要性。


有没有方法能让人不用经历失败就掌握这些原则?答案是有。杰出的数据科学家们拥有良好的心态和多项技能,他们应该知道这个捷径。希望前述两条捷径也能使你在投资方面受益匪浅。


“一切科学源于对日常思考的提炼。”——爱因斯坦


1. 不要贪心→可以通过数学证明


赌博是高回报的生意,有时甚至能支撑整个城市的福利系统,比如拉斯维加斯。其收益源除了游客,最主要的来源还是赌徒的贪婪。


来源:Pexels


赌场里很少有数据科学家。如果有的话,他们或是受雇于赌场,或是假装赌博,以便与非数据科学家的朋友们社交。这一现象的原因是什么呢?因为优秀的数据科学家了解数学。

来看一个简单的例子。


1.一个赌徒在游戏中胜负概率各半。

2.如果他赢了就能获得1美元,如果输了,就会失去1美元。

3.开始时赌徒有X美元

4. 只有两种结束游戏的方式:1)输掉全部X美元,2)赌徒达到他的目标:赢得Y美元。


这个游戏看起来很直白,但却揭示了所有赌博游戏的两个重要属性。第一,它们看起来都很公平。这让玩家以为,只要你的运气不差,就能以平局结束。第二,所有的赌徒都很贪婪。


假设输掉所有X美元的概率是P(X)。


从x开始,一个人有百分之五十的概率输掉一美元,也有百分之五十的概率赢得一美元。


因此


· P(X) = 50%× P(X - 1) + 50% × P(X + 1)

· 即, 2 × P(X)= P(X - 1) + P(X + 1)

· 即, P(X) -P(X - 1) = P(X + 1) - P(X), 这满足典型等差数列的性质。

已知对所有等差数列,有


即,数列中的第n项=第1项+第n项和第1项的差,也就是任意相邻两项之差的n-1倍。


我们还知道:


· P(O)=1, 当一个人身无分文,输掉所有钱的概率就是百分之百

· P(Y)=0, 如果一个人已经有了Y元,那么游戏结束,所以输光的概率是0%。

· 因此,d=1/Y

据此数列可以变形如下:

通过下面的公式:

P(X) = P(Y) + (n - 1)d = P(Y) +(Y - X) ▪ 1 / Y = (Y - X) / Y

也就是说,如果X=1000

1. 如果Y = $1,200, P(X) = 1/6

2. 如果Y = $1,500, P(X) = 1/3

3. 如果Y = $2,000, P(X) = 1/2

4. 如果 Y = $5,000, P(X) = 4/5

因此,赢200美元相对简单,但如果你很贪婪,想要赢得5倍的本金,那就有4/5的概率输得分文不剩。

“不要冒进”——古代中国智慧

2. 小心加密货币和低价股→博弈理论可以证明


比特币图表 来自https://coinmarketcap.com/


你可能听说过2017年的加密货币狂热,当时比特币在一年之间涨了20倍,之后出现的金融危机后果一直持续至今。


用一个简单的例子来说明如何在未来波动的市场中投资:


1. 索非亚邀请诺亚玩游戏,每人各持一枚硬币

2. 每个回合两人都需投掷一次硬币

3. 如果结果是2个正面,诺亚将赢得3美元

4. 如果结果是2个正面,则诺亚赢得1美元

5. 如果结果为1正面和1反面,则诺亚损失2美元


不难想象,投掷硬币所得正反面的可能性对半,因此,出现2个正面的概率为25%,2个反面的概率也为25%,1正1反的概率为50%。


投掷两枚硬币的正反面可能性


不同可能性下产生的游戏结果


因此,诺亚和索菲亚的结果预期为0美元:


25% × $3 +25% × $1 - 50% × $2 = $0


是的,这似乎是一场公平的比赛,诺亚也总想和像索非亚这般迷人的女士一起玩游戏,所以为什么不玩呢?但数小时的比赛之后,Noah甚至连钱包本身都要输光了。这是怎么回事?


原因是:索非亚控制了概率,而不是在每个回合中随机展示硬币。她的策略如下:

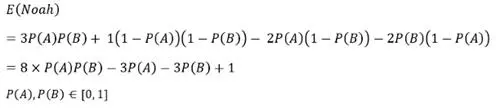
假设A代表索非亚展示硬币正面,B代表诺亚展示硬币正面。


那么诺亚获得收益的期望值是:



绘出上述方程的图形:



平面下的区域代表E(诺亚)为负,并且P(A),即索非亚出硬币正面的概率在一定范围内时,E(诺亚)始终为负!这就是索非亚的把戏。下面的代码显示了这一范围:


  1. import numpy as np
  2. # P(A) and P(B) probabilities within [0, 1]
  3. pa = np.arange(0., 1., 0.01)
  4. pb = np.arange(0., 1., 0.01)
  5. # transform into 100 x 100s
  6. pa_v, pb_v = np.meshgrid(pa, pb)
  7. # function to calculate Noah's reward
  8. defexpectation(pa_v, pb_v):
  9. return8* pa_v * pb_v -3* pa_v -3* pb_v +1
  10. # Noah's reward expectation
  11. ea = expectation(pa_v, pb_v)
  12. # How Sofia manipulate the probability
  13. # so Noah's reward expectancy < 0
  14. print(pa_v[ea <0])

view rawNoah's reward.py hosted with ❤ by GitHub


[0.34 0.35 0.36 ... 0.38 0.39 0.4]


也就是说,如果索非亚将这一概率控制在0.34和0.4之间,诺亚就会一直赔钱!


这个游戏是博弈理论中的一个问题。这可能是一个完美的类比,它告诉我们看似“公平”的游戏是如何骗人的。在这里,游戏可以看作是一种投资,诺亚(Noah)代表个人投资者,索非亚(Sofia)代表机构投资者,俗称“大鲸鱼”。在加密货币和廉价股票之类的小型资本投资中,大鲸鱼可以通过大量抛售或买入的方式,轻松地用大量资金操纵市场,如果个人投资者幸运地跟随“鲸鱼”的波动,他们可以赚钱,但最终由于受到操纵,个人投资者将蒙受损失。


3. 总是比预期更快“放弃”→客观思考


来源:Pexels


在投资过程中,有输有赢十分正常。赢钱时,切莫贪婪(已经在之前证明)。输钱时,明智地及时止损。


山姆持有价值1万美元的股票。最近,该公司虽未受操控,但其股价却突然跌至低于购买价,现在山姆的股票仅值8000美元。


山姆应该及时止损吗?


如果Sam继续持有或者增加份额,则有90%的概率会损失更多。显然,必须及时止损。但是,即便事先向他们提供了统计信息,许多人还是无法做到这一点。 这都是由于人类过于自信,例如“如果永远不卖出就不会亏钱”。“永远都不会亏钱”,不要相信这种鬼话。


抛开这种自信,保持客观思考,这并不像看起来那样简单,它需要定期训练和坚持。这一技能是任何科学家和研究人员的基本素养。


如果损失无法弥补,例如公司本身是一场骗局,不要指望它很快会好起来,承认损失已经成为沉没成本,请立即抽身。尽管有时损失可以通过长期持有弥补,但考虑到机会成本,如果将等待投资回到之前水平所花费的时间用于把资金转移到其他地方,这笔资金可能已经翻番。


在投资生存方面,对股票进行更多研究,并进行一些计算以证明投资决策的合理性。另一种简单而明智的方法是在脑海中把股票当作免费赠予的礼物来处理。如果把这10,000美元的股票当作从天而降的礼物,那么某天若是股价跌至8千美元,就能轻易做出决定。


4. 看穿“期望”→“蒙特卡洛模拟”


来自漫威的图片(Cyclops)and https://screenrant.com/


评估一项投资有数不清的方法,它们有好有坏,上文列出了三种最坏的投资方法。对于个人投资者而言,价值投资,折扣,记分卡,PB + PE +PEG是很好的投资开始。本文不会详细介绍它们。单击链接就会发现它们的用处。


本文想要介绍一种有趣的,但有时是反直觉的方法,这也是包括专业人员在内的许多人都十分依赖的方法——预期回报。下文对它何时发挥作用作了具体说明。


当它发挥作用时


假设有一个投币游戏。每回合,如果硬币投出正面,玩家将赚取1美元,如果是反面,则玩家将赚取2美元。那么,他玩此游戏一局应支付多少钱?


预期收益为1.5美元,因此只有在每局收费低于1.5美元时玩该游戏才不会亏。


当它不发挥作用时


假设有X美元,在下一个单位时间内它有50%的可能性变为0.9×X,也有50%的可能性变为1.11×X。每次都要选择全押吗?



公式表明,在下一单位时间内,X美元将赚取得0.5%的收益。即每次投资都会获利,所以当然,每次都应该全押!


但实际上,这样做将失去一切。是不是反直觉?原因如下:


基于蒙特卡洛模拟,笔者在超过500个时间单位中创建了10,000个初始时拥有100美元的投资者。



图表上的每个点代表特定时间单位的投资者回报。从中可以看到,随着时间的推移,只有少数投资者获得了非常可观的回报,而大多数投资者并不那么幸运。


怎么个不幸法?88.56%的投资者的回报率低于开始时的100美元。更不幸的是,10,000名投资者中有84.76%最终收益为0美元。确实,大多数投资者最终一文不名。


这笔投资表面上前景极其乐观,并且理论上来说如果一个人坚持下去,将会赚得不计其数的钱,但是实际上在这个投资市场上几乎没有真正的赢家。


下面的代码再现了模拟:


  1. import numpy as np
  2. import random
  3. import matplotlib.pyplot as plt
  4. # simulate 10,000 investors
  5. N =10000
  6. # over 300 time units
  7. T =500
  8. # all starting with $100
  9. X_0 =100
  10. # a space to store all the results
  11. # , with X axis as time, Y as return
  12. X = np.full((N, T), X_0)
  13. # increase/decrease rate
  14. a =.9
  15. b =1.11
  16. # simulation
  17. random.seed(888)
  18. for i in np.arange(1, T):
  19. P = np.random.choice([a, b], size= N)
  20. X[:, i] = X[:, i -1] * P
  21. # plotting
  22. x_plot = np.tile(np.arange(0, T), N)
  23. y_plot = X.reshape(1, N * T)
  24. plt.scatter(x_plot, y_plot, s=2)
  25. plt.xlabel("Time")
  26. plt.ylabel("$Return")
  27. plt.title("Simulate %s investors over %s time units"% (N, T))
  28. plt.show()
  29. # stats
  30. print("%s losers"%sum(X[:, T -1] < X_0))
  31. print("%s total losers"%sum(X[:, T -1] ==0))

view rawSimulate 10,000investors.py hostedwith ❤ by GitHub


如果你仍未完全信服,下面笔者将从数学角度解释原因:


已知预期收益为



那么收益极限呢:


因为:


由于大数定律



因此



再次违反直觉!预期收益为正,但极限为零。这是因为最后一些X很大,但这很难实现。由于这些出现概率很低的X,平均回报率被视为正数,但实际上大多数X几乎为零。


投资时,应该明智地使用工具。预期收益是一种简单而有用的工具,但是过分依赖它会忽略某些重要信息,有时这可能是致命的。


总结


来源:Pexels


笔者想通过这篇文章传达两个信息:


1.数据科学不仅仅是日常工作。成为一名出色的数据科学家所需的思维模式和多学科技能是强大的武器,它有益于人们与万事万物沟通交流。


2.切莫贪婪,与动荡的市场保持距离,及时止损,在使用工具前首先知道它们是什么。这四个投资原则可能人们早已听说。但只有少数人将其铭记于心,因为他们仅仅通过他人口述而非现实失败的打击了解这些规则,自然印象不深。本文希望通过揭示这些规律背后的数据和科学知识,使读者不必经历失败就能成为投资高手。

留言 点赞 关注

我们一起分享AI学习与发展的干货
欢迎关注全平台AI垂类自媒体 “读芯术”


(添加小编微信:dxsxbb,加入读者圈,一起讨论最新鲜的人工智能科技哦~)