推荐原创专栏 大叔的大数据杂谈
【每日五分钟学习大数据】系列 No.20
上一篇文章简单地介绍过了ES的相关概念,还没看的同学快去复习下:
ES是什么?看完这篇就不要再问这种低级问题了!
文章的最后提到了倒排索引,不知道有没有勾起大家的好奇心,ES的索引是怎么做,为什么他会被广泛地叫做搜索引擎而不是数据库?根源在它的索引,所以这一篇带你一探究竟。
言归正传,说起索引肯定是绕不开经典的B-Tree,来看两张图简单回顾下你们大学的课本内容。
B-Tree
B+Tree
B+Tree是B-Tree的优化,两者的区别由图应该是可以看得比较清楚的。
看个具体的倒排索引实例,写入如下三条数据;
ID是Elasticsearch自建的文档id,那么Elasticsearch建立的索引如下:
Name
Sex
问题来了,在Term量非常大的时候,怎么快速找到目标Term的位置?来看看ES是怎么做的。
Term Dictionary: 把Term按字典序排列,然后用二分法查找Term (存在磁盘)
Term Index: 是Term Dictionary的索引,存Term的前缀,和与该前缀对应的Term Dictionary中的第一个Term的block的位置,找到这个第一个Term后会再往后顺序查找,直到找到目标Term。(存在内存)
Term Index的压缩 所以,理论上Term Index的数据结构就是: Map<Term的前缀, 对应的block的位置> 但是Term量大的情况下同样会把内存撑爆。所以有了基于FST的压缩技术。 Finite State Transducers(FST) :有穷状态转换器,Term Index采用的压缩技术。 举个例子: Map[“cat” - > 5, “deep” - > 10, “do” - > 15, “dog” - > 2, “dogs” - > 8 ]
Posting List的压缩 关键在于:增量编码压缩,将大数变小数,按字节存储。 原理就是通过增量,将原来的大数变成小数仅存储增量值,再精打细算按bit排好队,最后通过字节存储。 BitMaps
假设有某个posting list: [1,3,4,7,10]
对应的bitmap就是: [1,0,1,1,0,0,1,0,0,1]
用0/1表示某个值是否存在,比如10这个值就对应第10位,对应的bit值是1,这样用一个字节就可以代表8个文档id,旧版本(5.0之前)的Lucene就是用这样的方式来压缩的,但这样的压缩方式仍然不够高效,如果有1亿个文档,那么需要12.5MB的存储空间,这仅仅是对应一个索引字段(我们往往会有很多个索引字段)。Bitmap的缺点是存储空间随着文档个数线性增长。
Roaring bitmaps
将posting list按照65535为界限分块,比如第一块所包含的文档id范围在0~65535之间,第二块的id范围是65536~131071,以此类推。
再用<商,余数>的组合表示每一组id,这样每组里的id范围都在0~65535内了,剩下的就好办了,既然每组id不会变得无限大,那么我们就可以通过最有效的方式对这里的id存储。
short[] 占的空间:2bytes(65535 = 2^16-1 是2bytes 能表示的最大数)
bitmap 占的空间: 65536/8 = 8192bytes
当block块里元素个数不超过4096,用short[],因为4096个short[]才等于 8192bytes;而一个bitmap就等于8192bytes了,虽然它能存65536个元素。
联合索引 联合索引通俗地说就是找到满足多个搜索条件的文档ID。那么这种场景下,倒排索引如何满足快速查询的要求呢?
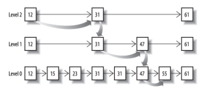
将一个有序链表level0,挑出其中几个元素到level1及level2,每个level越往上,选出来的指针元素越少,查找时依次从高level往低查找,比如55,先找到level2的31,再找到level1的47,最后找到55,一共3次查找,查找效率和2叉树的效率相当,但也是用了一定的空间冗余来换取的。
假设有下面三个posting list需要联合索引:
如果使用跳表,对最短的posting list中的每个id,逐个在另外两个posting list中查找看是否存在,最后得到交集的结果。
如果使用bitset,就很直观了,直接按位与,得到的结果就是最后的交集。
>> 想学大数据?点击找大叔! << 智能人工推荐: 选方向?大数据的职位你了解多少 戏说数据中台 — 大佬玩概念,小弟写接口 在阿里一年,我颠覆了曾经坚信不疑的技术思维 Spark比MR快是因为在内存中计算?错! 觉得有价值请关注 ▼
B+Tree
B+Tree是B-Tree的优化,两者的区别由图应该是可以看得比较清楚的。
- 非叶子节点只存储键值信息。
- 所有叶子节点之间都有一个链指针。
- 数据记录都存放在叶子节点中。
看个具体的倒排索引实例,写入如下三条数据;
| ID | Name | Sex |
| 1 | Kate | Female |
| 2 | John | Male |
| 3 | Bill | Male |
| Term | Posting List |
| Kate | 1 |
| John | 2 |
| Bill | 3 |
| Term | Posting List |
| Female | 1 |
| Male | [2,3] |
Term Dictionary: 把Term按字典序排列,然后用二分法查找Term (存在磁盘)
Term Index: 是Term Dictionary的索引,存Term的前缀,和与该前缀对应的Term Dictionary中的第一个Term的block的位置,找到这个第一个Term后会再往后顺序查找,直到找到目标Term。(存在内存)
Term Index的压缩 所以,理论上Term Index的数据结构就是: Map<Term的前缀, 对应的block的位置> 但是Term量大的情况下同样会把内存撑爆。所以有了基于FST的压缩技术。 Finite State Transducers(FST) :有穷状态转换器,Term Index采用的压缩技术。 举个例子: Map[“cat” - > 5, “deep” - > 10, “do” - > 15, “dog” - > 2, “dogs” - > 8 ]
- 每条边有两条属性,一个表示label(key的元素,上图有点问题,应该是指向a的),另一个表示Value(out)。
- 每个节点有两个属性,Final=true/false(有key再这个节点结束则为true); final为true时,还有个FinalOut,FinalOut=entry的value值-该路径out值之和。
- 举个例子:8号节点,对应的entry的key是do,value是15,而该路径out值之和是2,所以FinalOut=15-2=13
- out值怎么来的?
- 当只有一条数据写入时如cat,则第一个字节即“c”的out值就等于该entry的value值即“5”;
- 当deep写入时因为后面d开头的数据还没写,所以“d”的out值就是“10”;
- 当do写入时,因为“d”=“10”,所以“o”=“15”-“10”=“5”
- 当dog写入时,因为“d”=“10”,“o”=“5”,已经超过了dog的值“2”,此时,会把“d”设为“2”,“o”设为“0”,这样才能满足dog=“2”的情况。
- 但是,这样deep和do的out值就要重新分配了
- deep的整条路径和为“10”,已知“d”=“2”,所以“e”承包剩下的“8”。
- do的整条路径和为“15”,已经“d”=“2”,“o”=“0”,没有label了,所以FinalOut=15-2-0=13。
Posting List的压缩 关键在于:增量编码压缩,将大数变小数,按字节存储。 原理就是通过增量,将原来的大数变成小数仅存储增量值,再精打细算按bit排好队,最后通过字节存储。 BitMaps
假设有某个posting list: [1,3,4,7,10]
对应的bitmap就是: [1,0,1,1,0,0,1,0,0,1]
用0/1表示某个值是否存在,比如10这个值就对应第10位,对应的bit值是1,这样用一个字节就可以代表8个文档id,旧版本(5.0之前)的Lucene就是用这样的方式来压缩的,但这样的压缩方式仍然不够高效,如果有1亿个文档,那么需要12.5MB的存储空间,这仅仅是对应一个索引字段(我们往往会有很多个索引字段)。Bitmap的缺点是存储空间随着文档个数线性增长。
Roaring bitmaps
将posting list按照65535为界限分块,比如第一块所包含的文档id范围在0~65535之间,第二块的id范围是65536~131071,以此类推。
再用<商,余数>的组合表示每一组id,这样每组里的id范围都在0~65535内了,剩下的就好办了,既然每组id不会变得无限大,那么我们就可以通过最有效的方式对这里的id存储。
short[] 占的空间:2bytes(65535 = 2^16-1 是2bytes 能表示的最大数)
bitmap 占的空间: 65536/8 = 8192bytes
当block块里元素个数不超过4096,用short[],因为4096个short[]才等于 8192bytes;而一个bitmap就等于8192bytes了,虽然它能存65536个元素。
联合索引 联合索引通俗地说就是找到满足多个搜索条件的文档ID。那么这种场景下,倒排索引如何满足快速查询的要求呢?
- 利用跳表(Skip list)的数据结构快速做“与”运算,或者
- 利用上面提到的bitset按位“与”
将一个有序链表level0,挑出其中几个元素到level1及level2,每个level越往上,选出来的指针元素越少,查找时依次从高level往低查找,比如55,先找到level2的31,再找到level1的47,最后找到55,一共3次查找,查找效率和2叉树的效率相当,但也是用了一定的空间冗余来换取的。
假设有下面三个posting list需要联合索引:
如果使用跳表,对最短的posting list中的每个id,逐个在另外两个posting list中查找看是否存在,最后得到交集的结果。
如果使用bitset,就很直观了,直接按位与,得到的结果就是最后的交集。
>> 想学大数据?点击找大叔! << 智能人工推荐: 选方向?大数据的职位你了解多少 戏说数据中台 — 大佬玩概念,小弟写接口 在阿里一年,我颠覆了曾经坚信不疑的技术思维 Spark比MR快是因为在内存中计算?错! 觉得有价值请关注 ▼