-
哈夫曼编码(Huffman Coding)
哈夫曼编码,又称霍夫曼编码,它是现代压缩算法的基础。
假如我们现在有这样的需求,需要把字符串【ABBBCCCCCCCCDDDDDDEE】转为二进制编码进行传输,我们可能想到的是通过转为ASCII编码(65~69,1000001~1000101),但是有点冗长,如果希望编码更短呢?
我们可以约定上面5个字母对应的编码。例如
A -> 0
B -> 1
C -> 10
D -> 11
E -> 100
那么假设我们传递的数据是ABBB时,对应编码,我们传递的是0111。可是,0111根据上面约定的编码,却有不同的解读,可以解读成ADB,也可以解读成ABBB,也可以解读成ABD。所以我们发现,根据这份约定也是不靠谱的。所以我们还应该规定,大家的长度都是一致的,例如

所以假设我们还是传递的是字符串【ABBBCCCCCCCCDDDDDDEE】的话,对应的二进制编码为(每一种颜色对应一个字母)

我们成功将20个字母,转成了60个二进制
但是,如果我们使用哈夫曼编码的话,可以压缩至41个二进制位,约为原来长度的68.3%
-
哈夫曼树
先计算出每个字母的出现频率(权值,这里直接用出现次数),【ABBBCCCCCCCCDDDDDDEE】,经过统计,我们可以得出给字符串的出现频率

然后利用这些权值,构建一棵哈夫曼树(又称霍夫曼树,最优二叉树)
如何构建一棵哈夫曼树?(假设有n个权值)
- 以权值作为根节点构建n棵二叉树,组成森林
- 在森林中选出2个根节点最小的树合并,作为一棵新树的左右子树,且新树的根节点为其左右子树根节点之和
- 从森林中删除刚才选取的2棵树,并将新树加入森林
- 重复2,3步骤,知道森林只剩一棵树为止,该树纪委哈夫曼树
通过图形表示为
步骤一:下图的5个节点就是以权值为根节点,构建的5棵树

步骤二/步骤三:选出森林中最小的2个根节点进行合并成一颗新树,加入森林,删除刚刚选择的2棵子树

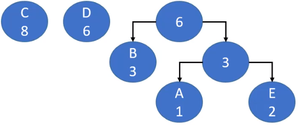
重复步骤二/步骤三:

重复步骤二/步骤三:

重复步骤二/步骤三:

最终,合并完成。这棵树,就叫做哈夫曼树。
构建哈夫曼编码
根据规则,left为0,right为1,可以得出5个字母对应的哈夫曼编码

最终【ABBBCCCCCCCCDDDDDDEE】的哈夫曼编码为

我们发现,5个字母对应的哈夫曼编码,均不为其他字母的前缀,所以在解码时,扫描二进制数据时,就一定能正确解码出正确的字符串
总结
- n个权值构建出来的哈夫曼树拥有n个叶子节点
- 每个哈夫曼编码都不是另外一个哈夫曼编码的前缀
- 哈夫曼树是带权路径长度最短的树,权值较大的节点离根节点较近
- 带权路径长度:树中所有的叶子节点权值乘上其他到根节点的路径长度。与最终的哈夫曼编码总长度成正比关系。
本节完!