两个链表的第一个公共节点

141 阅读4分钟

各位好,本公众号将恢复更新。上一次更新还停留在2016年,距今已有4年了。

这4年经历了很多工作上和生活上的事,工作上跳槽、转方向、换行业;生活中经历了结婚、生子、买房、落户。最终还是在北京这座城市留了下来,似乎每天都很忙碌,忙到忘了我曾经写下了pressure and time。

今年遇上疫情,说是世上最难的就业季。此时恢复更新也希望能给找工作的各位小伙伴有一点帮助,哪怕一点点。

另外,后面的文章可能不止限于算法题,也会有工作中遇到的工程问题和实践,算是一种总结。应该先开的是Elasticsearch专题(先给自己挖个坑吧)

闲话到此为止,今天还是先解一道算法题,比较常见的题了,两个链表的第一个公共节点,是LeetCode上easy的题目,Acceptance高达63.8%,题目如下:

输入两个链表,找出它们的第一个公共节点。 如下面的两个链表:

image.png

在节点 c1 开始相交。 示例 1:

image.png

输入:intersectVal = 8, listA = [4,1,8,4,5], listB = [5,0,1,8,4,5], skipA = 2, skipB = 3 输出:Reference of the node with value = 8 输入解释:相交节点的值为 8 (注意,如果两个列表相交则不能为 0)。从各自的表头开始算起,链表 A 为 [4,1,8,4,5],链表 B 为 [5,0,1,8,4,5]。在 A 中,相交节点前有 2 个节点;在 B 中,相交节点前有 3 个节点。

示例 2:

image.png

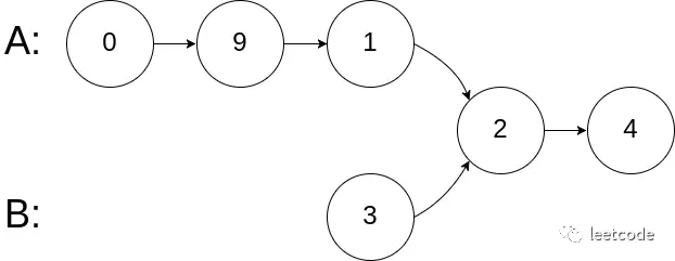
输入:intersectVal = 2, listA = [0,9,1,2,4], listB = [3,2,4], skipA = 3, skipB = 1 输出:Reference of the node with value = 2 输入解释:相交节点的值为 2 (注意,如果两个列表相交则不能为 0)。从各自的表头开始算起,链表 A 为 [0,9,1,2,4],链表 B 为 [3,2,4]。在 A 中,相交节点前有 3 个节点;在 B 中,相交节点前有 1 个节点。

示例 3:

image.png

输入:intersectVal = 0, listA = [2,6,4], listB = [1,5], skipA = 3, skipB = 2 输出:null 输入解释:从各自的表头开始算起,链表 A 为 [2,6,4],链表 B 为 [1,5]。由于这两个链表不相交,所以 intersectVal 必须为 0,而 skipA 和 skipB 可以是任意值。 解释:这两个链表不相交,因此返回 null。

注意:

  • 如果两个链表没有交点,返回 null.
  • 在返回结果后,两个链表仍须保持原有的结构
  • 可假定整个链表结构中没有循环。 程序尽量满足 O(n) 时间复杂度,且仅用 O(1) 内存。 本题与主站 160 题相同: leetcode-cn.com/problems/in… 来源: 力扣(LeetCode) 链接: leetcode-cn.com/problems/li…

思路如下

这道题其实是有一个前提条件的,就是两个列表链表一定是有公共节点的。即判定两个链表是相交的,这也是另外一道题目了。

当然只判断是否相交比较简单,只要两个链表分别遍历到尾结点,判断节点是否相同就可以了(前提是链表没有环)。

如果相交的话,怎么找相交在哪个节点呢?思路如下,首先链表只能顺序访问,不能随机访问,这是前提。在这个前提下,只能考虑遍历链表的方式解题。

我们使用两个指针 node1,node2 分别指向两个链表的头结点 headA,headB,然后同时分别逐结点遍历,当 node1 到达链表 headA 的尾结点时,重新定位到链表 headB 的头结点;当 node2 到达链表 headB 的末尾时,重新定位到链表 headA 的头结点。

这样,当它们相遇时,所指向的结点就是第一个公共结点。

例,如下图1所示,node1,node2 分别指向两个链表的头结点 headA,headB;当node1到达尾结点时,node2在尾结点前一个节点(4这个节点),如图2;下一步将node1指向链表B的头,此时node2到达尾结点5,如图3;继续走,node1指向0,node2指向链表A的头结点4,如图4。此时我们发现node1,node2到第一个公共节点的距离相同了,只要继续走,一定会在第一个节点相遇。

思路清晰了,代码如下: java版

public ListNode getIntersectionNode(ListNode headA, ListNode headB) {
        if (headA == null || headB == null) return null;
        ListNode L = headA;
        ListNode R = headB;
        int count=0; //当一个节点达到一个链表的尾部,则从另一个链表继续,同时count++
        while (L != R) {
            L = L.next;
            R = R.next;
            if (L == null) {
                L = headB;
                count ++;
            }
            if (R == null) {
                R = headA;
                count++;
            }
            if (count >2) {
                return null;
            }
        }
        return L;
    }

最后,大家除了算法题还想看哪些面试题可以给我留言,后端工程的、算法的、数学公式推导的都可以。前端的我不会就不献丑了。

如果觉得文章有帮助的话,不妨关注一下本公众号,当然也希望能帮作者推广一下,更多人关注我也会更有动力,在此先谢过了。

关注我

image