用最简单的方式画拓扑图!!!

10,060 阅读5分钟

git地址

前言

前段时间重构了下面这样一个页面(产品页面不方便截图):

类似于拓扑图的配置,原来是使用go.js实现的,类似的库还有antv g6。重构主要是为了提高代码质量,降低维护成本,产品上需要更强的定制化能力(对付产品经理的变态需求),所以经过一番研究之后,最后决定放弃使用现成的库。原因如下:

  1. 维护成本高:类似的库(antv/g6, go.js)都是基于canvas实现,也都大同小异的定义了一套组件,有一定的学习成本,同时基于这样的库写出来的代码都相对复杂;
  2. 灵活性差:因为是canvas实现,元素一般需要指定尺寸,所以在一些需要元素大小自适应的地方并没有DOM元素好实现;
  3. 定制化能力差。只能使用库里定义的api和事件,遇到一些比较极端的需求时无能为力。

当然,以上两个库还是相当强大的,不过基于这些原因,自己基于(DOM + SVG)撸一个拓扑图配置的工具库topology-byfe

demo演示

源代码

import React from 'react';
import { Topology, topologyWrapper, TemplateWrapper } from 'topology-byfe';
import { ITopologyNode, ITopologyData, IWrapperOptions } from 'topology-byfe/lib/declare';
import './index.less';

interface FlowState {
    data: ITopologyData;
}
class Flow extends React.Component<{}, FlowState> {
    state: FlowState = {
        data: { lines: [], nodes: [] },
    };

    generatorNodeData = (isBig: boolean) => ({
        id: `${Date.now()}`,
        name: isBig ? '宽节点' : '窄节点',
        content: isBig ? '这是一个宽节点' : '这是一个窄节点',
        branches: isBig ? ['锚点1', '锚点2', '锚点3'] : ['锚点1'],
    });

    handleSelect = (data: ITopologyData) => {
        console.log(data);
    }

    renderTreeNode = (data: ITopologyNode, { anchorDecorator }: IWrapperOptions) => {
        const {
            name = '',
            content = '',
            branches = [],
        } = data;
        return (
            <div className="topology-node">
                <div className="node-header">{name}</div>
                <p className="node-content">{content}</p>
                {branches.length > 0 && (
                    <div className="flow-node-branches-wrapper">
                        {branches.map(
                            (item: string, index: number) => anchorDecorator({
                                anchorId: `${index}`,
                            })(<div className="flow-node-branch">{item}</div>),
                        )}
                    </div>
                )}
            </div>
        );
    };

    onChange = (data: ITopologyData, type: string) => {
        this.setState({ data });
        console.log('change type:', type);
    };

    render() {
        const { data } = this.state;
        return (
            <div className="topology">
                <div className="topology-templates">
                    <TemplateWrapper generator={() => this.generatorNodeData(true)}>
                        <div className="topology-templates-item">宽节点</div>
                    </TemplateWrapper>
                    <TemplateWrapper generator={() => this.generatorNodeData(false)}>
                        <div className="topology-templates-item">窄节点</div>
                    </TemplateWrapper>
                </div>
                <div style={{ width: '100%', height: 800 }}>
                    <Topology
                        data={data}
                        autoLayout
                        onChange={this.onChange}
                        onSelect={this.handleSelect}
                        renderTreeNode={this.renderTreeNode}
                    />
                </div>
            </div>
        );
    }
}

export default topologyWrapper(Flow);

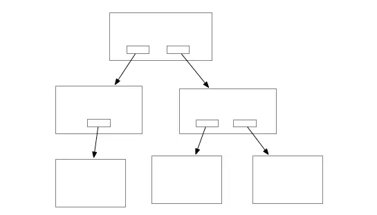
效果图

可以看到,包里只提供了极少的api,文档几分钟就能看完,之所以少,是因为库只负责将节点放到正确的位置,连上线就好了,其他的“概不负责”,修改样式可以在你的div上加个class,添加事件就再上个onXXX,想做啥做啥。

为什么选择DOM + SVG?

最主要的原因就是为了“简单”!对于拓扑图这样 的场景,画一个简单的节点,用DOM实现只需要简单的几行代码,用canvas的话就要写一大堆了,别人来看估计就是“一大坨”了。同时相对于需要先学习一套组件,然后用那些“奇奇怪怪”的api去写交互和样式,直接上手就开始撸自己最熟悉的div + css岂不是很开心?对于开发而言,调试DOM能够看到每一个元素的细节,而canvas就无能为力了。

如何使用

核心部分代码:

 <Topology
    data={data}
    autoLayout
    onChange={this.onChange}
    onSelect={this.handleSelect}
    renderTreeNode={this.renderTreeNode}
 />

data

data = {
    nodes: [
        { id: '1', position: { x: 0, y: 0 } },
        { id: '2', position: { x: 100, y: 100 } }
    ],
    lines: [
        { start: '1-0', end: '2' }
    ]
}

data.nodes

data包含两个属性:nodes和lines,nodes记录节点信息,每个node含有id和position属性,id是必选的,position记录了节点的位置,如果不包含position,点击自动布局,将会自动生成。

data.lines

lines记录节点与节点间的关系,start记录起点信息,格式为:'起点id-锚点id',end记录终点信息,格式为:'终点id'。

autoLayout

上面的效果图可以看到右下角第二个图标点击自动布局功能,为了方便排版,自动布局会根据树结构计算节点的位置。当初始数据没有position字段时,如果autoLayout为true,组件会自动触发布局功能,相当于点击了自动布局按钮。

onChange

组件使用类似input或者select,当有新增节点或者连线发生时,触发onChange,onChange带有两个参数,newData和changeType, 整个过程完全受控,你可以在onChange中做一些校验,决定数据是否更新。

onSelect

当选择节点或者线段时触发,参数selectData格式同data。

renderTreeNode

renderTreeNode接收两个参数:nodeData, decorators,返回节点的DOM。

renderTreeNode = (data: ITopologyNode, { anchorDecorator }) => {
        // name、content、branches都是自定义的字段,通过模板节点生成,详见TemplateWrapper
        const {
            name = '',
            content = '',
            branches = [],
        } = data;
        return (
            <div className="topology-node">
                <div className="node-header">{name}</div>
                <p className="node-content">{content}</p>
                {branches.length > 0 && (
                    <div className="flow-node-branches-wrapper">
                        {branches.map(
                            (item: string, index: number) => anchorDecorator({
                                anchorId: `${index}`,
                            })(<div className="flow-node-branch">{item}</div>),
                        )}
                    </div>
                )}
            </div>
        );
    };

锚点,decorators.anchorDecorator

anchorDecorator({ anchorId: `${index}` })(
    <div className="flow-node-branch">
        {item}
    </div>
)

anchorDecorator是一个装饰器函数,接受一个options,目前只包含一个anchorId属性,即锚点id,如果不传的话,内部会自动生成一个自增id。可以看到,锚点长什么样,放到哪儿完全由你自己决定。

templateWrapper

<div className="topology-templates">
        <TemplateWrapper generator={() => this.generatorNodeData(true)}>
            <div className="topology-templates-item">宽节点</div>
        </TemplateWrapper>
        <TemplateWrapper generator={() => this.generatorNodeData(false)}>
            <div className="topology-templates-item">窄节点</div>
        </TemplateWrapper>
</div>

通过templateWrapper包装生成一个模板节点,接收一个generator函数,当添加节点时,会调用这个函数,生成节点的初始数据,里面包含什么值由你决定,但必须包含一个唯一的id值。

topologyWrapper

export default topologyWrapper(Flow);

包含拖拽部分的最上层组件必须要用topologyWrapper包一下,这是因为使用了react-dnd需要设置backend,这里只是做了一个简单的导出,方便使用:

export const topologyWrapper = DragDropContext(HTML5BackEnd);

总结

从需求出发来看,需要拥有更好的定制化能力和灵活性,从重构的角度来看,需要让代码更简单明了。go.js功能十分强大,但对于拓扑图这种相对较简单的场景而言,并不需要那么多复杂的能力,反而可能出现上面说的问题,所有canvas的实现应该都会有类似的问题。所以充分利用DOM的能力,在能实现需求的情况下,本库或许是更好的选择。

最后

项目只实现了简单的功能,存在不足欢迎大佬们提issue,pr。另外我司招人,欢迎大佬们加入:招聘链接!!!