7 逻辑回归

407 阅读5分钟

本章讲解一个在机器学习领域里,用到的最多的一个算法,逻辑回归

1 逻辑回归

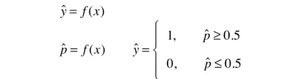
逻辑回归是一个分类算法

回归问题怎么解决分类问题? 答:将样本的特征和样本发生的概率联系起来,概率是一个数。

逻辑回归只能解决二分类问题

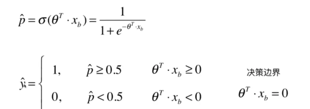
如果数值大于0.5,分类为1,相反,分类为0

我们求得的回归问题的值域为(-infinity, +infinity),那么如何将(-infinity, +infinity)值域转到(0,1)呢?

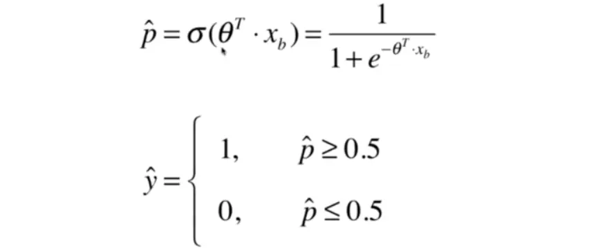
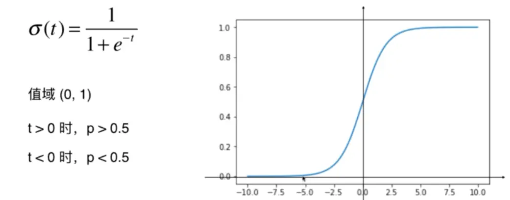
1.1 表达式 Sigmoid函数

所以逻辑回归的表达式

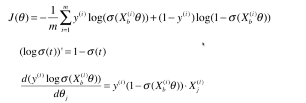
如何找到参数θ,可以用这样的方式最大程度获得样本数据集X对应的分类y? 也就是损失函数如何定义?

1.2 损失函数

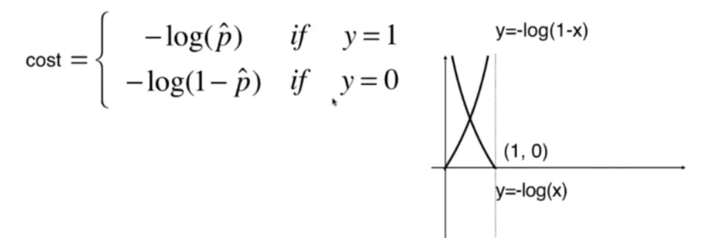
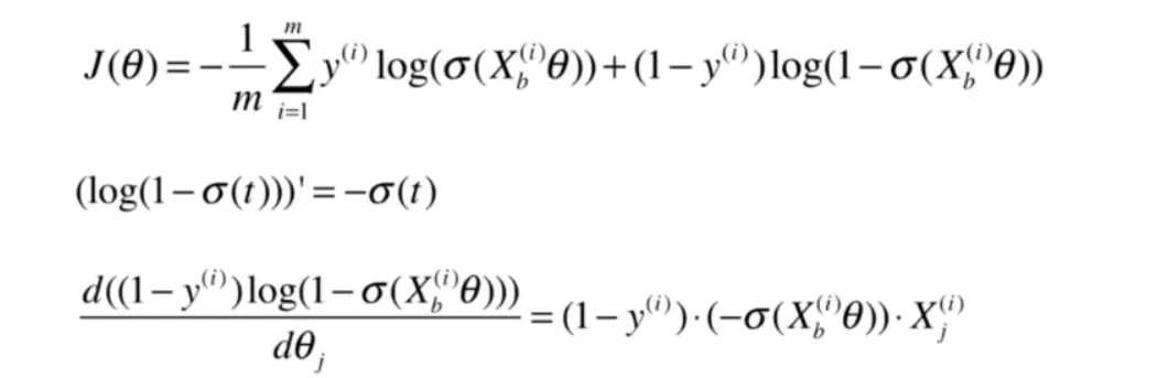
损失函数分析如下,因此可以找出这样的一组表达式可以表示损失函数。

在坐标轴上损失函数表示的更加直观

因此结合二者,可以用一个表达式来表示。因为y要么为0,要么为1

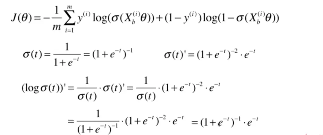
最终的损失函数如下:

因为是离散的,没有公式解,只能使用梯度下降法求解

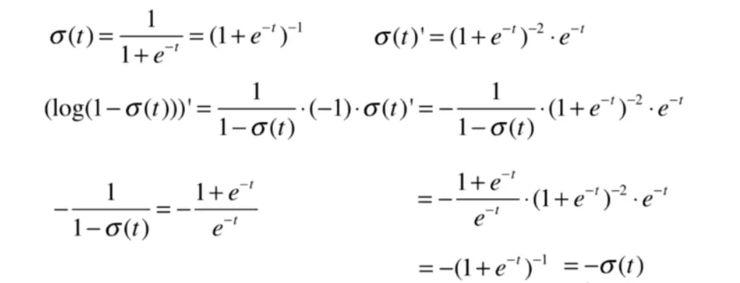
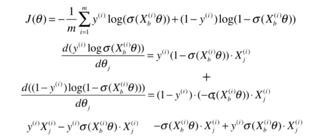
1.3 梯度推导过程

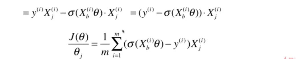
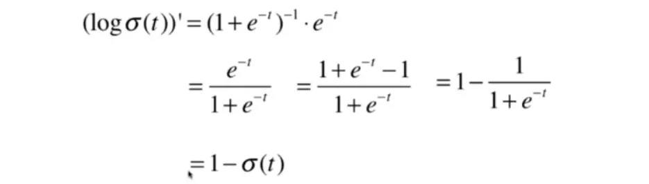
所以左半部分为

再来看右半部分:

所以右半部分为:

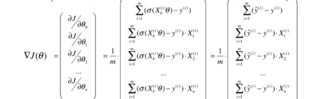
总的部分为:

因此:

发现结果与线性回归很相似

逻辑回归最终的结果为:

2 封装逻辑回归

前面已经得知目标函数与损失函数,因此我们对线性回归稍加修改,就可以得到逻辑回归算法了

import numpy as np
from .metrics import accuracy_score

class LogisticRegression:

    def __init__(self):
        """初始化Logistic Regression模型"""
        self.coef_ = None
        self.intercept_ = None
        self._theta = None

    def _sigmoid(self, t):
        return 1. / (1. + np.exp(-t))

    def fit(self, X_train, y_train, eta=0.01, n_iters=1e4):
        """根据训练数据集X_train, y_train, 使用梯度下降法训练Logistic Regression模型"""
        assert X_train.shape[0] == y_train.shape[0]

        def J(theta, X_b, y):
        """损失函数"""
            y_hat = self._sigmoid(X_b.dot(theta))
            try:
                return - np.sum(y*np.log(y_hat) + (1-y)*np.log(1-y_hat)) / len(y)
            except:
                return float('inf')

        def dJ(theta, X_b, y):
            """损失函数的梯度"""
            return X_b.T.dot(self._sigmoid(X_b.dot(theta)) - y) / len(y)

        def gradient_descent(X_b, y, initial_theta, eta, n_iters=1e4, epsilon=1e-8):

            theta = initial_theta
            cur_iter = 0

            while cur_iter < n_iters:
                gradient = dJ(theta, X_b, y)
                last_theta = theta
                theta = theta - eta * gradient
                if (abs(J(theta, X_b, y) - J(last_theta, X_b, y)) < epsilon):
                    break

                cur_iter += 1

            return theta

        X_b = np.hstack([np.ones((len(X_train), 1)), X_train])
        initial_theta = np.zeros(X_b.shape[1])
        self._theta = gradient_descent(X_b, y_train, initial_theta, eta, n_iters)

        self.intercept_ = self._theta[0]
        self.coef_ = self._theta[1:]

        return self

    def predict_proba(self, X_predict):
        """给定待预测数据集X_predict,返回表示X_predict的结果概率向量"""
        assert self.intercept_ is not None and self.coef_ is not None
        assert X_predict.shape[1] == len(self.coef_)

        X_b = np.hstack([np.ones((len(X_predict), 1)), X_predict])
        return self._sigmoid(X_b.dot(self._theta))

    def predict(self, X_predict):
        """给定待预测数据集X_predict,返回表示X_predict的结果向量"""
        assert self.intercept_ is not None and self.coef_ is not None
        assert X_predict.shape[1] == len(self.coef_)

        proba = self.predict_proba(X_predict)
        return np.array(proba >= 0.5, dtype='int')

    def score(self, X_test, y_test):
        """根据测试数据集 X_test 和 y_test 确定当前模型的准确度"""

        y_predict = self.predict(X_test)
        return accuracy_score(y_test, y_predict)

    def __repr__(self):
        return "LogisticRegression()"

使用过程:

import numpy as np
import matplotlib.pyplot as plt
from sklearn import datasets
from playML.LogisticRegression import LogisticRegression

iris = datasets.load_iris()
X = iris.data
y = iris.target
X_train, X_test, y_train, y_test = train_test_split(X, y, seed=666)

log_reg = LogisticRegression()
log_reg.fit(X_train, y_train)
log_reg.score(X_test, y_test) # 1.0

3 决策边界

下面给出绘制决策边界的方法

def plot_decision_boundary(model, axis):
    
    # 先变成网格
    x0, x1 = np.meshgrid(
        np.linspace(axis[0], axis[1], int((axis[1]-axis[0])*100)).reshape(-1, 1),
        np.linspace(axis[2], axis[3], int((axis[3]-axis[2])*100)).reshape(-1, 1),
    )
    X_new = np.c_[x0.ravel(), x1.ravel()]

    y_predict = model.predict(X_new)
    zz = y_predict.reshape(x0.shape)

    from matplotlib.colors import ListedColormap
    custom_cmap = ListedColormap(['#EF9A9A','#FFF59D','#90CAF9'])
    
    plt.contourf(x0, x1, zz, linewidth=5, cmap=custom_cmap)

对上一小节的数据进行绘制边界

plot_decision_boundary(log_reg, axis=[4, 7.5, 1.5, 4.5])
plt.scatter(X[y==0,0], X[y==0,1])
plt.scatter(X[y==1,0], X[y==1,1])
plt.show()

kNN也可以使用这种方式绘制决策边界,当多个分类的时候,决策边界如下:

当k越大(k = 50时),模型越简单,边界越规整,如下图所示:

4 逻辑回归添加多项式

4.1 逻辑回归的多项式

像上图所示,是一个非线性的分布,显然可以使用一个圆形来绘制决策边界的。与多项式回归类似的做法

import numpy as np
import matplotlib.pyplot as plt
from sklearn.preprocessing import PolynomialFeatures
from sklearn.pipeline import Pipeline
from sklearn.preprocessing import StandardScaler

np.random.seed(666)
X = np.random.normal(0, 1, size=(200, 2))
y = np.array((X[:,0]**2+X[:,1]**2)<1.5, dtype='int')

def PolynomialLogisticRegression(degree):
    return Pipeline([
        ('poly', PolynomialFeatures(degree=degree)),
        ('std_scaler', StandardScaler()),
        ('log_reg', LogisticRegression())
    ])

poly_log_reg = PolynomialLogisticRegression(degree=2)
poly_log_reg.fit(X, y)
poly_log_reg.score(X, y) #0.94999999999999996

# 绘制决策边界
plot_decision_boundary(poly_log_reg, axis=[-4, 4, -4, 4])
plt.scatter(X[y==0,0], X[y==0,1])
plt.scatter(X[y==1,0], X[y==1,1])
plt.show()

4.2 逻辑回归中使用正则化

对逻辑回归中,以防止模型过拟合的问题,也要使用模型正则化

scikit-learn中使用的是右侧的方式,其中L1、L2的系数一定不为0,这也说明了scikit-learn中强制使用正则化。通过改变C的大小,来决定正则化的权重。

import numpy as np
import matplotlib.pyplot as plt

np.random.seed(666)
X = np.random.normal(0, 1, size=(200, 2))
y = np.array((X[:,0]**2+X[:,1])<1.5, dtype='int')
# 加了一些噪音
for _ in range(20):
    y[np.random.randint(200)] = 1

def PolynomialLogisticRegression(degree, C,penalty='l2'):
    return Pipeline([
        ('poly', PolynomialFeatures(degree=degree)),
        ('std_scaler', StandardScaler()),
        ('log_reg', LogisticRegression(C=C))
    ])

# C=0.1,表示正则化权重较大
poly_log_reg3 = PolynomialLogisticRegression(degree=20, C=0.1)
poly_log_reg3.fit(X_train, y_train)
poly_log_reg3.score(X_train, y_train) # 0.85333333333333339
poly_log_reg3.score(X_test, y_test) # 0.92000000000000004

plot_decision_boundary(poly_log_reg3, axis=[-4, 4, -4, 4])
plt.scatter(X[y==0,0], X[y==0,1])
plt.scatter(X[y==1,0], X[y==1,1])
plt.show()

使用L2正则化来绘制决策边界

使用L1正则化时

poly_log_reg4 = PolynomialLogisticRegression(degree=20, C=0.1, penalty='l1')
poly_log_reg4.fit(X_train, y_train)

plot_decision_boundary(poly_log_reg4, axis=[-4, 4, -4, 4])
plt.scatter(X[y==0,0], X[y==0,1])
plt.scatter(X[y==1,0], X[y==1,1])
plt.show()

5 逻辑回归解决多分类问题

5.1 OVR(One VS Rest)

n个类别就进行n次分类,选择分类得分最高的

image.png

若一次分类时间为t,所需要的时间为n*t的时间

5.2 OVO(One VS One)

任意两个类别,分别进行对比 n个类别就进行C(n,2)次分类,选择赢数最高的分类

所需时间更多,n*(n-1)/2,但是准确率更高一些。

5.3 scikit-learn中使用方式

LogisticRegression默认是OVR方式,如果使用OVO方式,需要添加下面两个参数。

LogisticRegression(multi_class="multinomial", solver="newton-cg")

除此之外,scikit-learn还给我们封装了通用的分类器,参数输入任意分类器即可 我们使用iris = datasets.load_iris()的数据集

from sklearn.multiclass import OneVsRestClassifier

ovr = OneVsRestClassifier(log_reg)
ovr.fit(X_train, y_train)
ovr.score(X_test, y_test) # 0.94736842105263153
from sklearn.multiclass import OneVsOneClassifier

ovo = OneVsOneClassifier(log_reg)
ovo.fit(X_train, y_train)
ovo.score(X_test, y_test) #1.0


声明:此文章为本人学习笔记,课程来源于慕课网:python3入门机器学习经典算法与应用。在此也感谢bobo老师精妙的讲解。

如果您觉得有用,欢迎关注我的公众号,我会不定期发布自己的学习笔记、AI资料、以及感悟,欢迎留言,与大家一起探索AI之路。

AI探索之路