142. Linked List Cycle II

249 阅读2分钟

题目要求

Given a linked list, return the node where the cycle begins. If there is no cycle, return null.

To represent a cycle in the given linked list, we use an integer pos which represents the position (0-indexed) in the linked list where tail connects to. If pos is -1, then there is no cycle in the linked list.

Note: Do not modify the linked list.

Example 1:

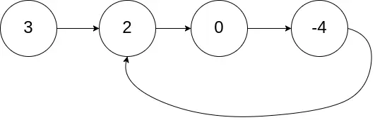
Input: head = [3,2,0,-4], pos = 1
Output: tail connects to node index 1
Explanation: There is a cycle in the linked list, where tail connects to the second node.

Example 2:

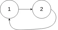
Input: head = [1,2], pos = 0
Output: tail connects to node index 0
Explanation: There is a cycle in the linked list, where tail connects to the first node.

Example 3:

Input: head = [1], pos = -1
Output: no cycle
Explanation: There is no cycle in the linked list.

Follow up: Can you solve it without using extra space?

中文说明

给定一个链表,返回链表开始入环的第一个节点。 如果链表无环,则返回 null。

为了表示给定链表中的环,我们使用整数 pos 来表示链表尾连接到链表中的位置(索引从 0 开始)。 如果 pos 是 -1,则在该链表中没有环。

说明:不允许修改给定的链表。

思路1

哈希表

public class Solution {
    public ListNode detectCycle(ListNode head) {
        Set<ListNode> m = new HashSet<>();
        while (head != null) {
            if (m.contains(head)) return head;
            m.add(head);
            head = head.next;
        }
        return null;
    }
}
  • 时间复杂度:O(N)
  • 空间复杂度:O(N)

思路

快慢指针

数学证明:

  1. 假设链表长度为L,其中链表起始点到环的入口点长度为s,环的长度为c,即L=s+c
  2. 相遇时,慢指针slow走过的长度为L_s,快指针走过的长度为L_f,则L_f = L_s + Nc = 2 L_s,N代表fast走的环数。可得L_s = Nc
  3. 假设相遇点与环的入口点距离为x。则L_s = s + x = Nc = (N-1)c + c = (N-1)c + L - s
  4. s = (N-1)c + (L - s - x),其中L - s - x为相遇点到入口点需要走的距离。
  5. 由此可见,从链表头到环入口点等于N-1个环+相遇点到环入口点的步数。
  6. 我们从链表头和相遇点开始,每次各走一步,再次相遇时即为环的入口点。
public class Solution {
    public ListNode detectCycle(ListNode head) {
        ListNode slow = head, fast = head;
        while (fast != null && fast.next != null) {
            slow = slow.next;
            fast = fast.next.next;
            if (slow == fast) {
                fast = head;
                while (fast != slow) {
                    fast = fast.next;
                    slow = slow.next;
                }
                return fast;
            }
        }
        return null;
    }
}
  • 时间复杂度:O(N)
  • 空间复杂度:O(1)

更多