西瓜书-AdaBoost

1,380 阅读6分钟

zhuanlan.zhihu.com/p/57689719

概念

集成学习(ensemble learning)通过构建多个个体学习器并结合起来完成学习任务。

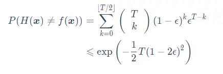
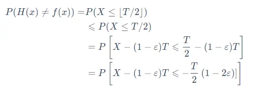
做一个简单分析,考虑二分类问题y ∈ {-1,+1} ,假定基本分类器的错误率为ϵ,有

P(h_i(x) != f(x)) = ϵ

由基分类器相互独立,设X为T个基分类器分类正确的次数,因此\mathrm{X} \sim \mathrm{B}(\mathrm{T}, 1-\mathrm{\epsilon})

根据Hoeffding不等式P(X-(1-\epsilon)T\leqslant -kT) \leq \exp (-2k^2T)k=\frac {(1-2\epsilon)}{2}

由上面的式子可以得到,个体分类器的数目越大。错误率将指数级下降,最终变为0。

要获得好的集成,个体学习器应该“好而不同”,要有一定的“准确性”,即学习器不能太坏,并且要有多样性,之间具有差异。互为补充,才可提升效果。 而集成学习的难点就是如何获得“好而不同”的学习器。

根据个体学习器的生成方式,集成学习大致分为两类:

  1. 个体学习器间有强依赖,必须串行生成的序列化方法。代表:AdaBoost
  2. 个体学习器不存在强依赖,可并行生成方法。代表:Bagging和RandomForest

AdaBoost

直观解释层面

boosting 方法背后的直观想法是:

  1. 我们需要串行训练模型,而不是并行训练。
  2. 每个模型需要重点关注之前的分类器表现不佳的地方。

上述想法可以诠释为:

  • 在整个数据集上训练模型 h1
  • 对 h1 表现较差的区域的数据加权,并在这些数据上训练模型 h2
  • 对 h1 ≠ h2 的区域的数据加权重,并在这些数据上训练模型 h3
  • ...

加权误差

我们如何才能实现这样的分类器呢?实际上,我们是通过在整个迭代过程中加权误差做到的。这样,我们将为之前分类器表现较差的区域赋予更大的权重。

不妨想想二维图像上的数据点。有些点会被很好地分类,有些则不会。通常,在计算误差率时,每个误差的权重为 1/n,其中 n 是待分类的数据点个数。

现在让我们对误差进行加权!

现在,你可能注意到了,我们对没有被很好地分类的数据点赋予了更高的权重。加权的过程如下图所示:

最终,我们希望构建如下图所示的强分类器:

在每一轮迭代 t 中,我们将选择能够最好地划分数据的弱分类器 ht,该分类器能够最大限度地降低整体误差率。回想一下,这里的误差率是一个经过加权修正之后的误差率版本,它考虑到了前面介绍的内容。

寻找最佳划分

如上所述,通过在每轮迭代 t 中识别最佳弱分类器 ht(通常为具有 1 个节点和 2 片叶子的决策树(决策树桩))来找到最佳划分。假设我们试图预测一个想借钱的人是否会是一个好的还款人:

在这种情况下,t 时刻的最佳划分是将「支付历史」作为树桩,因为这种划分的加权误差是最小的。

只需注意,实际上,像这样的决策树分类器可能具备比简单的树桩更深的结构。这将会是一个超参数。

融合分类器

自然而然地,下一步就应该是将这些分类器融合成一个符号分类器。根据某个数据点处于分割线的哪一侧,将其分类为 0 或 1。该过程可以通过如下方式实现:

你发现了可能提升分类器性能的方法吗?

通过为每个分类器加权,可以避免赋予不同的分类器相同的重要性。

西瓜书理论推导

为什么使用指数损失函数

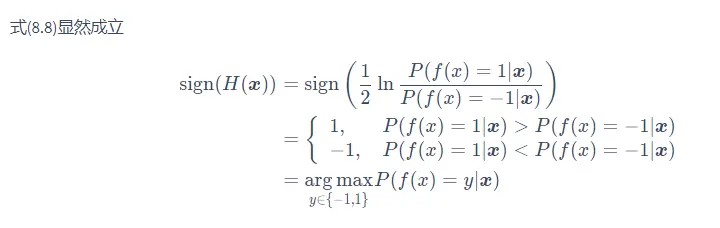
  1. 先考虑指数损失函数e^{-f(x) H(x)}的含义,f为真实函数,对于样本x来说,f(\boldsymbol{x}) \in\{-1,+1\}只能取和两个值,而H(\boldsymbol{x})是一个实数; 当H(\boldsymbol{x})的符号与f(x)一致时, f(\boldsymbol{x}) H(\boldsymbol{x})>0,因此e^{-f(\boldsymbol{x}) H(\boldsymbol{x})}=e^{-|H(\boldsymbol{x})|}<1,且|H(\boldsymbol{x})|大指数损失函数e^{-f(\boldsymbol{x}) H(\boldsymbol{x})}

(这很合理:此时|H(\boldsymbol{x})|越大意味着分类器本身对预测结果的信心越大,损失应该越小;若|H(\boldsymbol{x})|零附近,虽然预测正确,但表示分类器本身对预测结果信心很小,损失应该较大) 越小。

H(\boldsymbol{x})的符号与f(\boldsymbol{x})不一致时,f(\boldsymbol{x}) H(\boldsymbol{x})<0,因此e^{-f(\boldsymbol{x}) H(\boldsymbol{x})}=e^{|H(\boldsymbol{x})|}>1,且| H(\boldsymbol{x}) |∣H(x)∣越大指数损失函数越大(这很合理:此时| H(\boldsymbol{x}) |大意味着分类器本身对预测结果的信心越大,但预测结果是错的,因此损失应该越大;

| H(\boldsymbol{x}) |在零附近,虽然预测错误,但表示分类器本身对预测结果信心很小,虽然错了,损失应该较小)

  1. 符号\mathbb{E}_{\boldsymbol{x} \sim \mathcal{D}}[\cdot]的含义:\mathcal{D}为概率分布,可简单理解为在数据集D中进行一次随机抽样,每个样本被取到的概率, E[⋅]为经典的期望,则综合起来\mathbb{E}_{\boldsymbol{x} \sim \mathcal{D}}[\cdot]表示在概率分布\mathcal{D}上的期望

显然sign(H(x))达到了贝叶斯最优错误率,换言之,若指数损失函数最小化,分类错误率也将最小化。这说明指数损失函数是原本0/1损失函数的一致性替代损失函数。它的优势是它是连续可微函数,因此我们替换它作为优化目标。

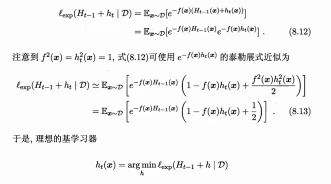
类似地,在AdaBoost算法中,第一个基分类器h1是通过直接将基学习算法用于初始数据分布而得;此后迭代地生成 h_tα_t

权重更新以后,样本分布将要进行调整,是下一轮的基本学习器ht能纠正上一轮的H(t-1)的一些错误,理想情况下h(t)能纠正所有错误。

所以下一轮的学习是看谁能最小化上一轮的调整后的权重分布,谁就是最合适的。


实例演示

最后还是看实例把内容串起来的,哎

参考自:zhuanlan.zhihu.com/p/27126737

例 给定如下表所示训练数据。假设个体学习器由x(输入)和y(输出)产生,其阈值v(判定正反例的分界线)使该分类器在训练数据集上分类误差率最低。(y=1为正例,y=-1为反例)

第一个个体学习器:

我们首先认为x_i(i=1,2,…,10)的权重是一样的,即每一个数据同等重要。(权重是用来计算误差的)

D1