Earth Mover's Distance 原理解析
Earth Mover's Distance距离即EMD,是由2000年IJCV期刊文章《The Earth Mover's Distance as a Metric for Image Retrieval》提出的一种图像相似度度量方法,从文章标题也可以得知,最初EMD的概念是用于图像检索的。后来因为其各种优点,逐渐用到其他方面的相似度度量。该部分主要理解EMD的概念与原理。
几个主要的概念
-
signature 定义为一系列的重要特征,可以写作
,
是某个特征,
是该特征的权重。
,
-
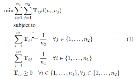
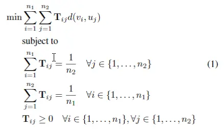
EMD本身是一个线性规划问题。假设
是一张图像的某个特征,
是特征
的权重,而
是另一张图像的某特征,
是特征
的权重。
-
一个特征
集合和特征
集合之间的距离矩阵
,每一项
代表
和
的距离(比如L1、L2距离等),可知
是个
矩阵。
目标
希望找到一个flow,它也是一个矩阵 ,每一项
代表从
到
的流动数量,
是
位置到
位置的代价(距离),从而最小化全局的代价函数:
这个流动量就是线性规划的解
- 线性规划表达式:

- 线性规划示意图

- 对于这篇论文来说,子图之间的相似度,线性规划表达式:

Pyramid Match Graph Kernel (Histogram intersection 直方图交叉核)原理解析
方法最初来自《The Pyramid Match Kernel:Discriminative Classification with Sets of Image Features》这篇论文,用来对特征构成的直方图进行相似度匹配.
基本原理
-
PM的工作原理是将特征空间划分为越来越大的区域,并对每个级别的匹配进行加权求和。 -
如果他们属于同一地区,则说两点相符。较大区域内的匹配加权低于较小区域的匹配。


-
一维示意图
