相对友好的 Tree 教程

504 阅读5分钟

树是什么

举个现实生活中的例子,公司的组织架构如下:

#        |ceo|
#       /      \
#    |cto|     |cfo|
#    /    \    /    \
# |se|   |se| |sm| |sm|

通过上图可以得到一个直观的感受,就是明显的层级关系。从顶端的 CEO ,到雇佣各种职能人员组成公司,就像一棵 “树” (颠倒的),从根部开始生长,到开枝散叶。在开发中多少都接触过树的概念 ,作为一种数据结构被广泛得应用在各种计算机语言中,了解它的设计思想对日后的开发是非常有帮助的。以上图公司的组织架构来了解下常用的术语,都比较基础:

  • 节点:从 ceo 到研发,都是一个个节点 ;
  • 边:两个节点间的联系,如 cto 与研发 ;
  • 根节点:架构最上层的节点 ,对应 ceo ;
  • 叶子节点:架构最下层的节点,如研发,没有子节点 ;
  • 高度:相对叶子节点而言,如 ceo 的高度 -> 研发;+1;
  • 深度:相对根节点而言,如 cto 的深度 -> ceo ; +1;

二叉树是什么

二叉树是一种特殊的树 ,每个节点最多只能有两个子节点(左子节点、右子节点):

从上图可以看出二叉树是一组节点的集合,每个节点有 3 个属性:

  • 当前节点保存的值
  • 左子节点
  • 右子节点

捋清楚这点关系后就可以动手敲代码了,从最简单的开始:

public class BinaryTree {
    int value;
    BinaryTree left;
    BinaryTree right;

    public BinaryTree(int value) {
        this.value = value;
        this.left = null;
        this.right = null;
    }

    @Override
    public String toString() {
        return "value: " + value + " left: " + left + " right: " + right;
    }
}

二叉树 -- 插入

接下来尝试往二叉树中插入节点,分别定义插入左子节点和右子节点的方法。规则如下

  • 如果当前节点没有左/右子节点,则将创建新的节点作为当前节点的左/右子节点;
  • 如果当前节点存在左/右子节点,则用新创建的节点 “插入” 到当前节点的左/右子节点位置;

第一点比较好理解,第二点画个图:

也很好理解,思路有了,代码就比较好写了, BinaryTree 类中添加如下方法:

public void insertLeft(int value) {
    if (this.left == null) {
        this.left = new BinaryTree(value);
    } else {
        BinaryTree newNode = new BinaryTree(value);
        newNode.left = this.left;
        this.left = newNode;
    }
}

public void insertRight(int value) {
    if (this.right == null) {
        this.right = new BinaryTree(value);
    } else {
        BinaryTree newNode = new BinaryTree(value);
        newNode.right = this.right;
        this.right = newNode;
    }
}

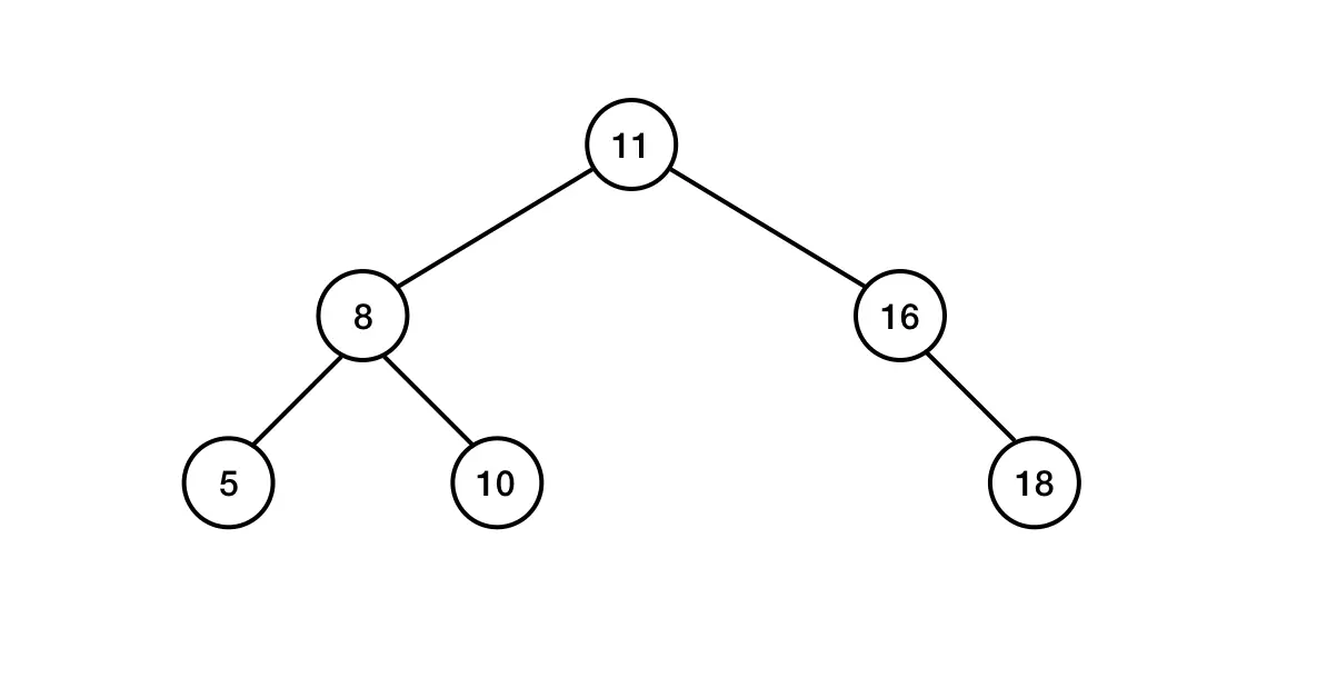
测试下上面写的代码,假设要生成的二叉树如下

测试:

BinaryTree node11 = new BinaryTree(11);
node11.insertLeft(8);
node11.insertRight(16);

BinaryTree node8 = node11.left;
BinaryTree node16 = node11.right;

node8.insertLeft(5);
node8.insertRight(10);
node16.insertRight(18);

BinaryTree node5 = node8.left;
BinaryTree node10 = node8.right;
BinaryTree node18 = node16.right;

System.out.println(node11.value);//11
System.out.println(node8.value);//8
System.out.println(node16.value);//16
System.out.println(node5.value);//5
System.out.println(node10.value);//10
System.out.println(node18.value);//18

二叉树 -- 遍历

二叉树的遍历分为深度优先遍历(Depth-First Search)和广度优先遍历 (Breadth-First Search)。

深度优先--先序
F-B-A-D-C-E-G-I-H

代码实现:

public static void preOrder(BinaryTree currentNode) {
    System.out.println(currentNode.value);
    if (currentNode.left != null) {
        preOrder(currentNode.left);
    }
    if (currentNode.right != null) {
        preOrder(currentNode.right);
    }
}
深度优先--中序
A-B-C-D-E-F-G-H-I

代码实现:

public static void inOrder(BinaryTree currentNode) {
    if (currentNode.left != null) {
        inOrder(currentNode.left);
    }
    System.out.println(currentNode.value);
    if (currentNode.right != null) {
        inOrder(currentNode.right);
    }
}
深度优先--后序
A-C-E-D-B-H-I-G-F

代码实现:

public static void postOrder(BinaryTree currentNode) {
    if (currentNode.left != null) {
        postOrder(currentNode.left);
    }
    if (currentNode.right != null) {
        postOrder(currentNode.right);
    }
    System.out.println(currentNode.value);
}
广度优先--分层
F-B-G-A-D-I-C-E-H

代码实现:

public static void bfs(BinaryTree currentNode) {
    Queue<BinaryTree> queue = new LinkedList<>();
    if (currentNode == null) {
        return;
    }
    queue.clear();
    queue.add(currentNode);
    while (!queue.isEmpty()) {
        BinaryTree node = queue.remove();
        System.out.println(node.value);
        if (node.left != null) {
            queue.add(node.left);
        }
        if (node.right != null) {
            queue.add(node.right);
        }
    }
}

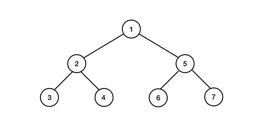
这里借助队列来实现广度优先遍历,假如要遍历下面这棵二叉树:

整个流程如下:

二叉查找树

二叉查找树就是排序后的二叉树,通俗理解如下:

左子树上所有节点的值 < 根节点的值 < 右子树上所有节点的值
- A:不满足条件,子树 7-5-8-6 与子树 2-1-3 顺序颠倒; - B:满足条件; - C:不满足条件,4 应该在 5 的左边;

二叉查找树 -- 插入

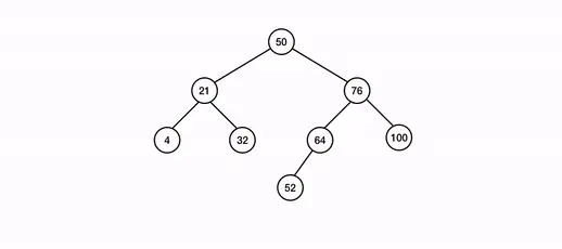
假如要按照 50,76,21,4,32,100,64,52 顺序生成一颗树,流程如下

代码如下:

    public static BinaryTree insert(BinaryTree currentNode, int value) {
        if (currentNode == null) {
            return new BinaryTree(value);
        } else if (value < currentNode.value) {
            currentNode.left = insert(currentNode.left, value);
        } else if (value > currentNode.value) {
            currentNode.right = insert(currentNode.right, value);
        }
        return currentNode;
    }

二叉查找树 -- 查找

在上面例子的基础上,假设要查找 52 这个值是否存在,流程如下:

代码如下:

public static boolean find(BinaryTree currentNode, int value) {
        if (currentNode == null) {
            return false;
        }
        if (value < currentNode.value) {
            return find(currentNode.left, value);
        }
        if (value > currentNode.value) {
            return find(currentNode.right, value);
        }
        return true;
}

二叉查找树 -- 删除

删除操作相对繁琐,需要考虑几种情况:

  • 被删除的节点无子节点;
#        |50|                              |50|
#      /      \                           /    \
#    |30|     |70|   (DELETE 20) --->   |30|   |70|
#   /    \                                \
# |20|   |40|                             |40|

这种情况很简单,直接删除即可

  • 被删除的节点有一个子节点;
#        |50|                              |50|
#      /      \                           /    \
#    |30|     |70|   (DELETE 30) --->   |20|   |70|
#   /            
# |20|

这种情况也相对简单,作为 20 父节点的 30 被删除了,那么此时 20 就由 30 的父节点 50 来 “接管”。

  • 被删除的节点有两个子节点;
#        |50|                              |50|
#      /      \                           /    \
#    |30|     |70|   (DELETE 30) --->   |40|   |70|
#   /    \                             /
# |20|   |40|                        |20|

这种情况稍微麻烦一些,首先查找节点 30 的右子树中最小的值(40),并用它替换节点 30 的值,再将节点 40 删掉。不太好理解?下面会有更详细的分解介绍。

代码如下:

public static BinaryTree delete(BinaryTree currentNode, int value) {
    if (currentNode == null) {
        return null;
    }
    if (value < currentNode.value) {
        currentNode.left = delete(currentNode.left, value);
    } else if (value > currentNode.value) {
        currentNode.right = delete(currentNode.right, value);
    } else {
        if (currentNode.left == null && currentNode.right == null) {
            System.out.println("deleting leaf node" + value);
            return null;
        } else if (currentNode.left == null) {
            System.out.println("no left node; deleting " + value);
            return currentNode.right;
        } else if (currentNode.right == null) {
            System.out.println("no right node; deleting " + value);
            return currentNode.left;
        } else {
            currentNode.value = minimumValue(currentNode.right);
            delete(currentNode.right, currentNode.value);
            System.out.println("with two child node; deleting " + value);
        }
    }
    return currentNode;
}

public static int minimumValue(BinaryTree root) {
    if (root.left != null) {
        return minimumValue(root.left);
    }
    return root.value;
}

做个测试,通过下面代码生成一棵二叉查找树:

BinaryTree root = new BinaryTree(15);
insert(root, 10);
insert(root, 20);
insert(root, 8);
insert(root, 12);
insert(root, 17);
insert(root, 25);
insert(root, 19);
bfs(root);

#        |15|
#      /      \
#    |10|     |20|
#   /    \    /    \
# |8|   |12| |17| |25|
#              \
#              |19|

删无子节点的节点 8 :

delete(root, 8);
bfs(root);

#     |15|
#   /      \
# |10|     |20|
#    \    /    \
#   |12| |17| |25|
#          \
#          |19|

再删带一个子节点的节点 17:

delete(root, 17);
bfs(root);

#        |15|
#      /      \
#    |10|     |20|
#       \    /    \
#      |12| |19| |25|

再删带两个子节点的节点 15:

delete(root, 15);
bfs(root);

#        |19|
#      /      \
#    |10|     |20|
#        \        \
#        |12|     |25|

删带两个子节点的节点的过程用流程表示:

Enjoy --☺