pika主从复制原理之binlog

1,947 阅读3分钟

前言

binlog相关的文件包含两部分:manifest和write2file,其中manifest记录了日志元信息,包括当前日志文件编号、当前日志文件偏移量,write2file+num记录了pika接收到的所有redis写命令、参数。

文件格式

  • manifest文件格式:

日志偏移量(8字节)|con_offset(8字节,未使用)|元素个数(4字节,未使用)|日志文件编号(4字节)。

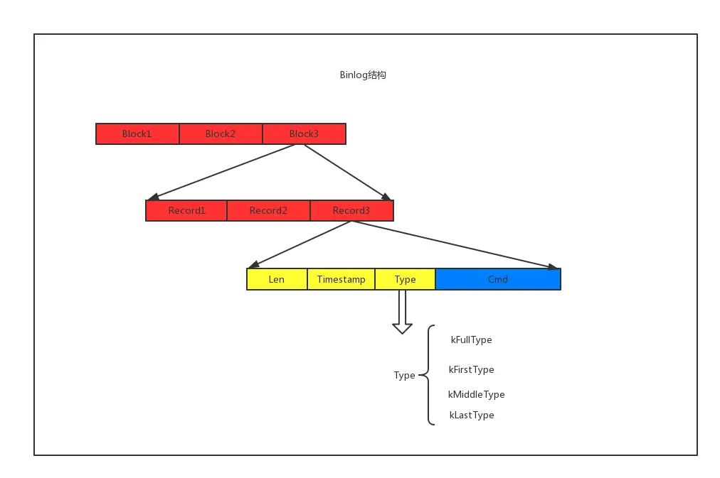
  • Binlog文件格式:

Binlog文件固定大小为100MB,每个Binlog文件由多个Block组成,每个Block大小固定为64KB,每一个写redis命令称为一个Record。一个Record可以分布在多个Block中,但只会分布在一个Binlog文件里,所以Binlog文件有可能大于100MB。

  • Record格式:

Header|Cmd

Header: Record Length(3字节)|时间戳(4字节)|记录类型(1字节)。

Cmd: redis命令的一部分或者全部,取决于当前Block剩余空间是否可以存放该Record。

实现类

  • 基本类

Version: 元信息类,通过mmap与manifest文件映射。

Binlog: 日志类,通过mmap与write2file文件映射。

PikaBinlogSenderThread: 日志消费类,顺序读取日志文件内容,消费日志。

基本操作

  1. 构造Binlog
//file_size可以在配置文件指定,默认为100MB

Binlog::Binlog(const std::string& binlog_path, const int file_size)

1.1 创建binlog文件目录。

1.2 检查log目录下manifest文件是否存在,不存在则新建。

1.3 根据manifest文件初始化Version类。

1.4 根据manifest中的filenum找到对应的日志文件,根据pro_offset定位到文件append的位置,初始化日志指针、记录日志内容长度、Block块数量。
  1. 更新当前日志生产状态
//pro_num: 日志文件编号

//pro_offset: 日志文件偏移量

//用在需要全量同步时更新slave实例对应的binlog信息

Status Binlog::SetProducerStatus(uint32_t pro_num, uint64_t pro_offset)

2.1 删除write2file0。

2.2 删除write2file+pro_num。

2.3 构造新的write2file+pro_num文件,填充pro_offset个空格,初始化version->pro_num为pro_num,version->pro_offset为pro_offset,并刷新到manifest文件中。

2.4 初始化当前filesize、block_offset。
  1. 获取当前日志生产状态
//filenum: 当前日志编号

//pro_offset: 当前日志偏移量

Status Binlog::GetProducerStatus(uint32_t* filenum, uint64_t* pro_offset)

3.1 读取version中的pro_num、pro_offset并返回。
  1. 生产日志
//Put->Produce->EmitPhysicalRecord

Status Binlog::Put(const std::string &item)

4.1检查当前日志文件是否满足切割条件,如果满足则进行切割。

4.1.1 pro_num自增加1,初始化新的日志文件,version->pro_num=pro_num,version->pro_offset = 0,binlog->filesize = 0,binlog->block_offset = 0。

4.1.2 如果当前block剩余大小<kHeaderSize(8字节),则填充剩余空间为'\x00"。

4.1.3 Produce是一个循环,保证在item大小超过kBlockSize时,可以进行多次EmitPhysicalRecord,完成item全部数据落入binlog文件,循环正常退出的条件是left==0。

4.1.3.1 如果left<avail,代表当前block可以存放完整的item,则type=kFullType,调用EmitPhysicalRecord一次,循环退出。

4.1.3.2 如果left > avail,代表需要多个Block存放item,则第一次Type=kFirstType,调用EmitPhysicalRecord多次。

4.1.3.3 如果left > avail,且不是第一次EmitPhysicalRecord,则Type=kMiddleType,调用EmitPhysicalRecord多次。

4.1.4EmitPhysicalRecord。

4.1.4.1 拼接RecordHeader(3字节长度+4字节时间+1字节Type),写入数据,更新block_offset、pro_offset。
  1. 消费日志

//scratch: 消费结果返回一个完整的redis cmd

//Consume->ReadPhysicalRecord,ReadPhysicalRecord每次读取一个完整的Record,多个Record构成一个完整的redis cmd

Status PikaBinlogSenderThread::Consume(std::string &scratch)

5.1Consume是一个循环,可能多次调用ReadPhysicalRecord,循环退出的条件是读取到的record_type==kFullType或record_type==kLastType。

5.1.1如果读取到的kBlockSize-last_record_offset_ <= kHeaderSize代表读到了Block的末尾,且为填充数据,skip掉。

5.1.2读取数据,更新last_record_offset_,con_offset。