消息未读之点不完的小红点(Node+Websocket)

6,722 阅读7分钟

前言

github.com/hua1995116/…

这个项目本来是我学生时代为了找工作的一个练手项目,但是没想到受到了很多的关注,star也快要破K了,这也激励着我不断去完善他,一方面是得对得起关注学习的人,另一方面也是想让自己能过通过慢慢完善一个项目来让自己提高。

今天给大家带来的是基于Websocket+Node+Redis未读消息功能,可能更加偏向于实战方向,需要对Websocket和Node有一些了解,当然不了解也可以看看效果,效果链接( www.qiufengh.com/ )说不定会激起你学习的动力~

下面我通过自己思考的方式来进行讲解,代码可能讲的不多,但是核心逻辑都进行了讲解,上面也有github地址,有兴趣的可以进行详细地查看。自己的idea或多或少会有一些不成熟,但是我还是厚着脸皮出来抛头露脸,如果有什么建议还请大家多多提出,能让我更加完善这个作品。

设计

首先对于消息未读,大家都很熟悉,就是各种聊天的时候,出现的红点点,且是强迫症者必须清理的一个小点点,如👇所示。我会带大家实现一个这样的功能。

由于一对一的方式更加简单,我现在只考虑多对多的情况,也就是在一个房间(也可以称为群组,后面都以房间称呼)中的未读消息,那么设计这样的一个功能,首相我将它分成了3种用户。

  • 离线用户
  • 在线用户
  • 在线用户且进入群组的用户

离线用户

这种场景就相当于我们退出微信,但是别人在房间里发的消息,当我们再次打开的时候依然能够看到房间增长的未读消息。

在线用户

这种场景就是相当我们停留在聊天列表页面,当他人在房间中发送消息,我们能够实时的看到未读消息的条数在增长。

场景示例。

在线用户且在房间的用户

这种场景其实就比较普通了,当别人发送新的消息,我们就能实时看到,此时是不需要标记未读消息的。

场景示例。

流程图

主要流程可以简化为三个部分,分别为用户,推送功能,消息队列。

用户可以是消息提供者也可以是消息接受者。以下就是这个过程。

image

当然在这个过程中涉及比较复杂的消息的存储,如何推送,获取,同步等问题,下面就是对这个过程进行详细的描述

image

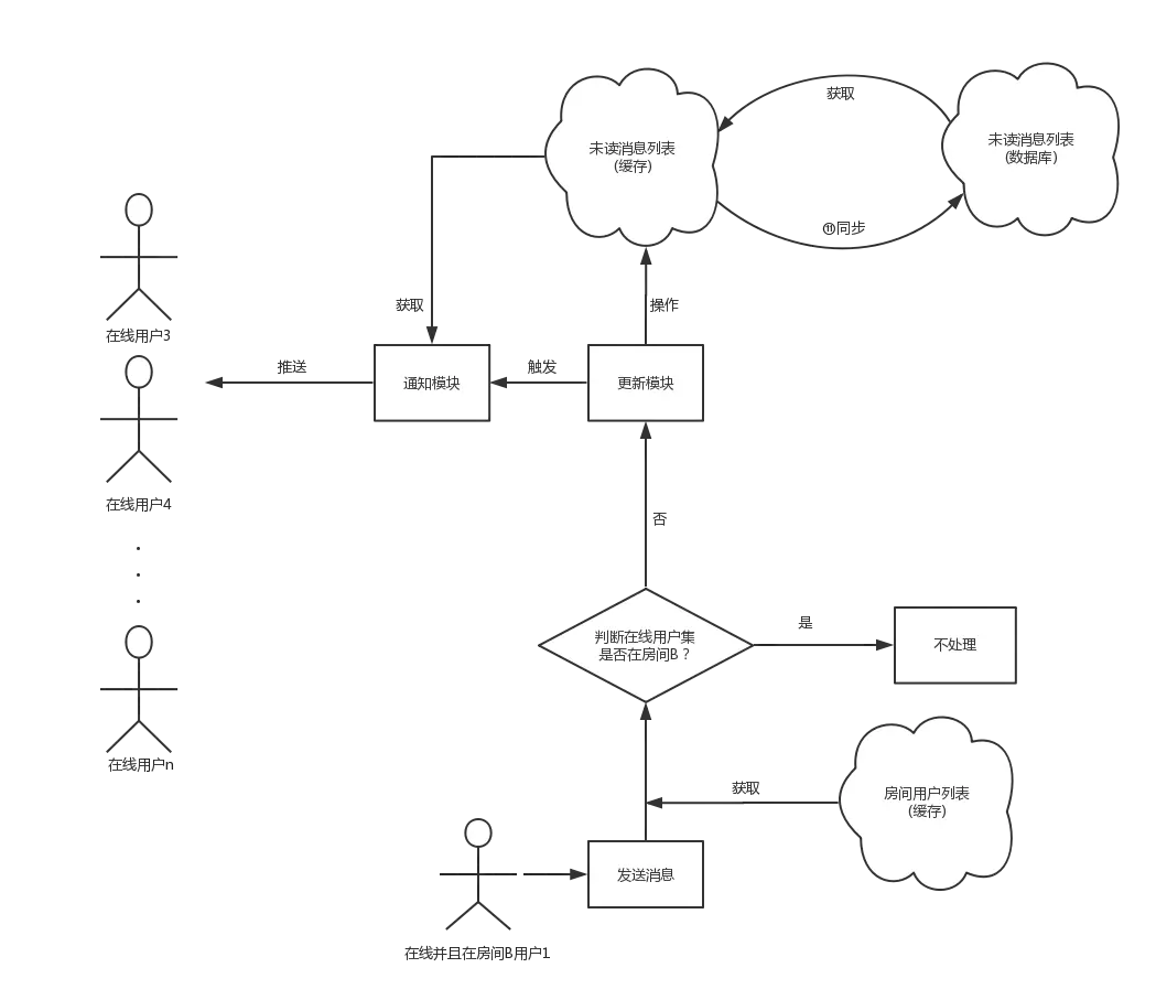
图上的流程解释

A. 存储在Node缓存中的房间用户列表(此处信息也可以存在Redis中)

B. 存储在Redis中的未读消息列表

C. 存储在MongoDB中的未读消息列表

  1. 用户1进入首页。
  2. 用户1进入房间,重置用户在房间1的未读消息,触发更新模块去更新B未读消息列表。
  3. 用户1向向房间B中发送了一条消息。
  4. 后端需要去获取房间用户列表,判断用户是否在房间?
  5. 是,因为在房间中的用户已经读取了最新消息,不需要进行计数。
  6. 否,若用户不在房间中,更新其的未读消息计数
  7. 从缓存中获取用户的消息进行分发。
  8. 用户2登录我们的项目,从离线用户变成了在线用户。
  9. 用户2登录时,触发查询模块,去获取其当前在各个房间未读消息情况。
  10. 查询模块去查询Redis中的未读消息,若Redis中没有数据,会继续向数据库中查询,若没有则返回0给用户。
  11. Redis缓存将会每分钟和数据库同步一次,保证数据的持久化。

环境

  • Node: 8.5.0 +

  • Npm: 5.3.0 +

  • MongoDB

  • Redis

为什么是redis ?

介绍

Redis 是互联网技术领域使用最为广泛的存储中间件,它是「Remote Dictionary Service」的首字母缩写,是一个高性能的key-value数据库。具有性能极高,丰富的数据类型,原子,丰富的特性等优势。

redis 具有以下5种数据结构

  • String——字符串
  • Hash——字典
  • List——列表
  • Set——集合
  • Sorted Set——有序集合

想要深入了解这5种存储结构可以查看www.runoob.com/w3cnote/red…

安装

windows

www.cnblogs.com/jaign/artic…

mac

brew install redis

ubuntu

apt-get install redis

redhat

yum install redis

centos

www.cnblogs.com/zuidongfeng…

运行客户端

redis-cli

可视化工具安装

windows

pan.baidu.com/s/1kU8sY3P

mac

pan.baidu.com/s/10vpdhw7Y…

源码编译

docs.redisdesktop.com/en/latest/i…

项目中的数据结构

在本项目中我们用String 来存储用户的未读消息记录,利用其incr命令来进行自增操作。利用Hash结构 来存储我们websocket连接时用户的socket-id。

上面说了计数利用Redis的Stirng数据结构, 在Redis 我们的计数key-value是这样的。

username-roomid - number

例子: hua1995116-room1 - 1

我们的Socket-id则为Hash结构。

  • socketId
    • username - socketid

例子:

  • socketId
    • hua1995116 - En4ilYqDpk-P5_tzAAAG

MongoDB

本项目一开始就使用了MongoDB,Node天然搭配的MongoDB的优势,这里就不再进行讲解,Node操作MongoDB的模块叫做mongoose,具体的参数方法,可以查看官方文档。

mongoosejs.com/docs/4.x/in…

MongoDB下载地址

www.mongodb.com/download-ce…

可视化下载地址

github.com/mrvautin/ad…

websocket + node 实现

下面我们通过一开始的3种用户的场景来具体说明实现的代码。

离线用户变成在线用户

image

客户端在登录时会发送一个login事件,以下是后端逻辑。

// 建立连接
socket.on('login',async (user) => {
    console.log('socket login!');
    const {name} = user;
    if (!name) {
      return;
    }
    socket.name = name;
    const roomInfo = {};
    // 初始化socketId
    await updatehCache('socketId', name, socket.id);
    
    for(let i = 0; i < roomList.length; i++) {
      const roomid = roomList[i];
      const key = `${name}-${roomid}`;
      // 循环所有房间
      const res = await findOne({username: key});
      const count = await getCacheById(key);
    
      if(res) {
        // 数据库查数据, 若缓存中没有数据,更新缓存
        if(+count === 0) {
          updateCache(key, res.roomInfo);
        }
        roomInfo[roomid] = res.roomInfo;
      } else {
        roomInfo[roomid] = +count;
      }
    }
    // 通知自己有多少条未读消息
    socket.emit('count', roomInfo);
        
});

用户从离线变成在线状态,建立socket连接时候,会发送一个login事件, 服务端就会去查询当前用户的未读消息情况,从MongoDB和Redis分别查询,若Redis中没有数据,则像数据库查询。

在线用户进入房间

image

客户端在加入房间说话会发送一个room事件,以下是后端逻辑

// 加入房间
socket.on('room', async (user) => {
    console.log('socket add room!');
    const {name, roomid} = user;
    if (!name || !roomid) {
      return;
    }
    socket.name = name;
    socket.roomid = roomid;
    
    if (!users[roomid]) {
      users[roomid] = {};
    }
    // 初始化user
    users[roomid][name] = Object.assign({}, {
      socketid: socket.id
    }, user); 
    
    // 初始化user
    const key = `${name}-${roomid}`;
    await updatehCache('socketId', name, socket.id);
    
    // 进入房间默认置空,表示全部已读
    await resetCacheById(key);
    // 进行会话
    socket.join(roomid);
    
    const onlineUsers = {};
    for(let item in users[roomid]) {
      onlineUsers[item] = {};
      onlineUsers[item].src = users[roomid][item].src;
    }
    io.to(roomid).emit('room', onlineUsers);
    global.logger.info(`${name} 加入了 ${roomid}`);
});

服务端接收到客户端发送的room事件,来重置该用户房间内的未读消息,并且该用户加入房间列表。

在房间中的用户发送消息

image

客户端在加入房间说话会发送一个message事件,以下是后端逻辑

socket.on('message', async (msgObj) => {
    console.log('socket message!'); 
    //向所有客户端广播发布的消息
    const {username, src, msg, img, roomid, time} = msgObj;
    if(!msg && !img) {
      return;
    }
    ... // 此处为向数据库存入消息
    const usersList = await gethAllCache('socketId');// 所有用户列表
    usersList.map(async item => {
      if(!users[roomid][item]) {  // 判断是否在房间内
        const key = `${item}-${roomid}`
        await inrcCache(key);
        const socketid = await gethCacheById('socketId', item);
        const count = await getCacheById(key);
        const roomInfo = {};
        roomInfo[roomid] = count;
        socket.to(socketid).emit('count', roomInfo);
    }
}) 

此步骤略微复杂,主要是房间中的用户发送消息,需要经过判断,哪部分用户需要计数,哪部分用户不需要计数,从图中可以看出,不在房间内的用户都需要计数。

接下来还需要推送,那么哪些用户需要实时地推送呢,对的,就是那些在线用户并且不在房间内的用户。因此在这里也需要一个判断。

这样就完美了,能够精确地给用户增加计数,并且精确地推送给需要的用户。

后记

在线演示: www.qiufengh.com/

github地址: github.com/hua1995116/…

如果有什么建议或者疑问可以加入微信群进行探讨。

更多请关注