从零开始造一个“智障”聊天机器人

7,278 阅读15分钟

腾讯DeepOcean原创文章:dopro.io/nlp_seq2seq…

智能机器人在生活中随处可见:iPhone里会说话的siri、会下棋的阿法狗、调皮可爱的微软小冰……她们都具有一定的智能,能够和人类进行交互。这些智能机器人非常神奇,看上去离我们也十分遥远,但其实只要我们动动手,便可以造一个属于自己的智能机器人。 

本文将教你从零开始造出一个智障,不对是“智能聊天机器人"。


要造一个聊天机器人,首先你需要了解一些相关概念——自然语言处理(NLP),它是一门融语言学、计算机科学、数学于一体的科学,研究让电脑“懂”人类语言的方法。当然,它也包含很多分支:文本朗读、语音识别、句法分析、自然语言生成、人机对话、信息检索、信息抽取、文字校对、文本分类、自动文摘、机器翻译、文字蕴含等等等。 

看到这里的朋友,千万别被这些吓跑。既然本文叫《从零开始造一个“智障”聊天机器人》那么各位看官老爷不懂这些也没有关系!跟着我的脚步一步一步做吧


0x1 基本概念

这里涉及到的原理基础,没兴趣的看官老爷略过即可,不影响后续代码实现。

01|神经网络

人工智能的底层是”神经网络“,许多复杂的应用(比如模式识别、自动控制)和高级模型(比如深度学习)都基于它。学习人工智能,一定是从它开始。 

那么问题来了,什么是神经网络呢?简单来说,神经网络就是模拟人脑神经元网络,从而让计算机懂得”思考“。具体概念在这里不再赘述,网络上有很多简单易懂的解释。 

本文使用的的是循环神经网络(RNN),我们来看一个最简单的基本循环神经网络: 

从零开始造一个“智障”聊天机器人

虽然图像看起来很抽象,但是实际很好理解。x、o、s是一个向量,x代表输入层的值,o代表输出层的值,s是隐藏层的值(这里其实有很多节点);U、V是权重矩阵,U代表输入层隐藏层权重矩阵,而V则代表隐藏层输出层权重矩阵。那么W是什么呢?其实循环神经网络隐藏层的值s不仅仅由x、U决定,还会由上一次隐藏层的值s,而W就是上一次到隐藏层到这一次的权重矩阵,将其展开就是这样:

从零开始造一个“智障”聊天机器人

这样逻辑就清晰很多了,这便是一个简单的循环神经网络。而我们的智障,不对是“智能聊天机器人"便是使用循环神经网络,基于自然语言的词法分析、句法分析不断的训练语料,并把语义分析都融入进来做的补充和改进。


02|深度学习框架

适合RNN的深度学习框架有很多,本文的聊天机器人基于Google开源的Tensorflow,从GayhubGithub的starts数便可以看出,Tensorflow是一个极其火爆的深度学习框架,并且可以轻松地在cpu / gpu 上进行分布式计算,下面罗列了一些目前主流深度学习框架的特性,大家可以凭兴趣选择框架进行研究:

从零开始造一个“智障”聊天机器人


03|seq2seq模型

顾名思义,seq2seq 模型就像一个翻译模型,输入是一个序列(比如一个英文句子),输出也是一个序列(比如该英文句子所对应的法文翻译)。这种结构最重要的地方在于输入序列和输出序列的长度是可变的。 

举个例子: 

在对话机器中:输入(hello) -> 输出 (你好)。 

输入是1个英文单词,输出为2个汉字。我们提(输入)一个问题,机器会自动生成(输出)回答。这里的输入和输出显然是长度没有确定的序列(sequences)

我们再举一个长一点的例子: 

我教小黄鸡说“大白天的做什么美梦啊?”回答是“哦哈哈哈不用你管”。 

Step1应用双向最大匹配算法分词:双向分词结果,正向《大白天,的,做什么,美梦,啊》;反向《大白天,的,做什么,美梦,啊》。正向反向都是一样的,所以不需要处理歧义问题。长词优先选择,“大白天”和“做什么”。 

Step2:以“大白天”举例,假设hash函数为f(),并设f(大白天)指向首字hash表项[大,11,P]。于是由该表项指向“3字索引”,再指向对应“词表”。 

Step3将结构体<大白天,…>插入队尾。体中有一个Ans域,域中某一指针指向“哦哈哈哈不用你管”。 

这便是seq2seq的基本原理,原理和技术我们都有了,下一步就是将它实现出来!


0x2 语料准备

了解完一些前置基础,我们话不多说,直接进入造智能聊天机器人的阶段。首先我们需要准备相关训练的语料

01|语料整理

本次训练的语料库是从Github上下载的(Github用于对话系统的中英文语料:https://github.com/candlewill/Dialog_Corpus)。我们下载其中的xiaohuangji50w_fenciA.conv(小黄鸡语料)进行我们的训练。 

当我们下载完后打开发现,它这个语料库是这样的: 

从零开始造一个“智障”聊天机器人

虽然这里面的文字、对话我们都能看懂,但是这些E、M、/都是些什么鬼?其实从图来看很容易理解,M即代表这句话,而E则代表一段对话的开始与结束。 

我们拿到这些语料后,用代码将其按照问/答分为两类"Question.txt"、"Answer.txt":

1import re
2import sys
3def prepare(num_dialogs=50000):
4    with open("xhj.conv"as fopen:
5        # 替换E、M等
6        reg = re.compile("EnM (.*?)nM (.*?)n")
7        match_dialogs = re.findall(reg, fopen.read())
8        # 使用5W条对话作为训练语料
9        if num_dialogs >= len(match_dialogs):
10            dialogs = match_dialogs
11        else:
12            dialogs = match_dialogs[:num_dialogs]
13        questions = []
14        answers = []
15        for que, ans in dialogs:
16            questions.append(que)
17            answers.append(ans)
18        # 保存到data/文件夹目录下
19        save(questions, "data/Question.txt")
20        save(answers, "data/Answer.txt")
21def save(dialogs, file):
22    with open(file, "w"as fopen:
23        fopen.write("n".join(dialogs))

最终我们得到5W条问题与回答数据:

从零开始造一个“智障”聊天机器人

02|向量表映射建立

到这里,大家可能会问,那么这个"智能"聊天机器人是不是就是将我们输入的问题匹配Question.txt里面的问题,然后再从Answer.txt找到相应回答进行输出? 

当然不会是这么简单,本质上聊天机器人是基于问句的上下文环境产生一个新的回答,而非是从数据库中拿出一条对应好的回答数据。

那么机器怎么知道该回答什么呢?此处借用一下谷歌的seq2seq原理图:

从零开始造一个“智障”聊天机器人


简单来说就是:我们输入的每一句话,都会被机器拆成词并向量化;这些词作为输入层的向量,与权重矩阵进行计算后到隐藏层隐藏层输出的向量再与权重矩阵进行计算,得到最终向量。我们再将此向量映射到词向量库时,便可得到我们想要的结果。 

在代码上实现比较简单,因为复杂底层逻辑的都由Tensorflow帮我们完成了,我们将词汇表进行最终的梳理:

 1def gen_vocabulary_file(input_file, output_file): 
2    vocabulary = {}
3    with open(input_file) as f:
4        counter = 0
5        for line in f:
6            counter += 1
7            tokens = [word for word in line.strip()]
8            for word in tokens:
9                                # 过滤非中文 文字
10                if u'u4e00' <= word <= u'u9fff':
11                    if word in vocabulary:
12                        vocabulary[word] += 1
13                    else:
14                        vocabulary[word] = 1
15        vocabulary_list = START_VOCABULART + sorted(vocabulary, key=vocabulary.get, reverse=True)
16        # 取前3500个常用汉字,vocabulary_size = 3500
17        if len(vocabulary_list) > vocabulary_size:
18            vocabulary_list = vocabulary_list[:vocabulary_size]
19        print(input_file + " 词汇表大小:", len(vocabulary_list))
20        with open(output_file, "w"as ff:
21            for word in vocabulary_list:
22                ff.write(word + "n")
23        ff.close


0x3 开始训练

01|训练

在我们的语料准备好之后,便可以开始我训练,其实训练本身是很简单的,其核心是调用Tensorflow的Seq2SeqModel,不断的进行循环训练。下面是训练的核心代码与参数设置:

 1# 源输入词表的大小
2vocabulary_encode_size = 3500
3# 目标输出词表的大小
4vocabulary_decode_size = 3500
5#一种有效处理不同长度的句子的方法 
6buckets = [(510), (1015), (2025), (4050)]
7# 每层单元数目
8layer_size = 256
9# 网络的层数。  
10num_layers = 3
11# 训练时的批处理大小
12batch_size =  64
13# max_gradient_norm:表示梯度将被最大限度地削减到这个规范
14# learning_rate: 初始的学习率
15# learning_rate_decay_factor: 学习率衰减因子
16# forward_only: false意味着在解码器端,使用decoder_inputs作为输入。例如decoder_inputs 是‘GO, W, X, Y, Z ’,正确的输出应该是’W, X, Y, Z, EOS’。假设第一个时刻的输出不是’W’,在第二个时刻也要使用’W’作为输入。当设为true时,只使用decoder_inputs的第一个时刻的输入,即’GO’,以及解码器的在每一时刻的真实输出作为下一时刻的输入。
17model = seq2seq_model.Seq2SeqModel(source_vocab_size=vocabulary_encode_size, target_vocab_size=vocabulary_decode_size,buckets=buckets, size=layer_size, num_layers=num_layers, max_gradient_norm= 5.0,batch_size=batch_size, learning_rate=0.5, learning_rate_decay_factor=0.97, forward_only=False)
18
19config = tf.ConfigProto()
20config.gpu_options.allocator_type = 'BFC'  # 防止 out of memory
21
22with tf.Session(config=config) as sess:
23    # 恢复前一次训练
24    ckpt = tf.train.get_checkpoint_state('.')
25    if ckpt != None:
26        print(ckpt.model_checkpoint_path)
27        model.saver.restore(sess, ckpt.model_checkpoint_path)
28    else:
29        sess.run(tf.global_variables_initializer())
30
31    train_set = read_data(train_encode_vec, train_decode_vec)
32    test_set = read_data(test_encode_vec, test_decode_vec)
33
34    train_bucket_sizes = [len(train_set[b]) for b in range(len(buckets))]
35    train_total_size = float(sum(train_bucket_sizes))
36    train_buckets_scale = [sum(train_bucket_sizes[:i + 1]) / train_total_size for i in range(len(train_bucket_sizes))]
37
38    loss = 0.0
39    total_step = 0
40    previous_losses = []
41    # 一直训练,每过一段时间保存一次模型
42    while True:
43        random_number_01 = np.random.random_sample()
44        bucket_id = min([i for i in range(len(train_buckets_scale)) if train_buckets_scale[i] > random_number_01])
45
46        encoder_inputs, decoder_inputs, target_weights = model.get_batch(train_set, bucket_id)
47        _, step_loss, _ = model.step(sess, encoder_inputs, decoder_inputs, target_weights, bucket_id, False)
48
49        loss += step_loss / 500
50        total_step += 1
51
52        print(total_step)
53        if total_step % 500 == 0:
54            print(model.global_step.eval(), model.learning_rate.eval(), loss)
55
56            # 如果模型没有得到提升,减小learning rate
57            if len(previous_losses) > 2 and loss > max(previous_losses[-3:]):
58                sess.run(model.learning_rate_decay_op)
59            previous_losses.append(loss)
60            # 保存模型
61            checkpoint_path = "chatbot_seq2seq.ckpt"
62            model.saver.save(sess, checkpoint_path, global_step=model.global_step)
63            loss = 0.0
64            # 使用测试数据评估模型
65            for bucket_id in range(len(buckets)):
66                if len(test_set[bucket_id]) == 0:
67                    continue
68                encoder_inputs, decoder_inputs, target_weights = model.get_batch(test_set, bucket_id)
69                _, eval_loss, _ = model.step(sess, encoder_inputs, decoder_inputs, target_weights, bucket_id, True)
70                eval_ppx = math.exp(eval_loss) if eval_loss < 300 else float('inf')
71                print(bucket_id, eval_ppx)


 02|实际问答效果

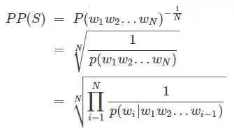
如果我们的模型一直在训练,那么机器怎么知道在什么时候停止训练呢?这个停止训练的阀值又靠什么去衡量?在这里我们引入一个语言模型评价指标——Perplexity。

① Perplexity是什么:

PPL是用在自然语言处理领域(NLP)中,衡量语言模型好坏的指标。它主要是根据每个词来估计一句话出现的概率,并用句子长度作normalize,公式为 :

从零开始造一个“智障”聊天机器人

S代表sentence,N是句子长度,p(wi)是第i个词的概率。第一个词就是 p(w1|w0),而w0是START,表示句子的起始,是个占位符。 
这个式子可以这样理解,PPL越小,p(wi)则越大,一句我们期望的sentence出现的概率就越高。 

还有人说,Perplexity可以认为是average branch factor(平均分支系数),即预测下一个词时可以有多少种选择。别人在作报告时说模型的PPL下降到90,可以直观地理解为,在模型生成一句话时下一个词有90个合理选择,可选词数越少,我们大致认为模型越准确。这样也能解释,为什么PPL越小,模型越好。

对于我们的训练,其最近几次的Perplexity如下:

从零开始造一个“智障”聊天机器人

截止发文时,此模型已经训练了27h,其Perplexity仍然比较难收敛,所以模型的训练真的需要一些耐心。如果有条件使用GPU进行训练,那么此速度将会大大提高。

我们使用现阶段的模型进行一些对话,发现已经初具雏形:

从零开始造一个“智障”聊天机器人

  

至此,我们的“智能聊天机器人”已经大功告成!但不难看出,这个机器人还是在不断的犯傻,很多问题牛头不对马嘴,所以我们又称其为“智障机器人”。

0x4 结语

至此我们就从无到有训练了一个问答机器人,虽然它还有点”智障“不太理解更多的词汇,但是整体流程已经跑通,并且具有一定的效果。后面的工作就是不断的完善其中的算法参数语料了。其中语料是特别关键的部分,大概会占用到50%-70%的工作量,因为本文使用的是互联网上已经处理好的语料,省去了不少时间。事实上大部分开发人员的时间都在进行语料预处理:数据清洗分词词性标注去停用词等方面。 

后续有机会再和大家分享语料预处理这一块。这里有一个可爱的二维码,大家记得关注哟~

从零开始造一个“智障”聊天机器人


相关文献与参考资料:

从机器学习谈起 (http://www.cnblogs.com/subconscious/p/4107357.html)

使用python实现神经网络 (http://www.wildml.com/2015/09/implementing-a-neural-network-from-scratch/)

循环神经网络 (https://zybuluo.com/hanbingtao/note/541458)

语言模型评价指标 (https://blog.csdn.net/index20001/article/details/78884646)

Tensorflow(https://github.com/google/seq2seq)


始发于微信公众号: 腾讯DeepOcean