前言:
在梳理知识点的时候,发现作为浏览器渲染中的机制之一——异步加载机制,当用户访问站点,需要下载各种资源,例如JS脚本,CSS,图片,iframe等,它是实现现代网站进行加载页面时一种必不可少的手段。查资料加上老师拓展课程均对于异步加载机制还有很多方法可以说,故抽出来单独进行一个知识点的梳理。
了解js脚本异步加载前,我们有必要先了解一下浏览器在页面样式和js的作用下出现的两种页面常见场景:白屏和fouc(无样式内容闪烁)。
一、白屏和FOUC
1、即指影响浏览器页面加载顺序的两种场景
-白屏:特指一种场景,打开页面是一片白色,突然页面出现,样式正确。那么一片白色的时间,则称之为白屏。 -FOUC (Flash of UnstyledContent):无样式内容闪烁,网速情况差,打开页面时仍有样式,之后样式时有时无,甚至一开始并无出现样式,突然样式恢复。(常出现在firefox浏览器)
此类现象,在不同浏览器进行的资源加载和页面渲染时,所采用的不同的处理方式,并不是bug。
2、写一个server,验证白屏和fouc效果
在样式文件index.html中
//index.html
<!DOCTYPE html>
<html lang="en">
<head>
<meta charset="UTF-8">
<title>fouc & 白屏</title>
<!--在下面模拟一个延时装置-->
<link rel="stylesheet" href="b.css?t=10"> //设置这个工具,当请求该文件时,服务器会延迟请求10s再去加载这个资源,以此可以模拟一个网速特别慢的情况
<link rel="stylesheet" href="a.css?t=3">
</head>
<body>
<p>hello</p>
<p>饥人谷</p>
<!-- <script src="A.js?t=5"></script>
-->
<img src="https://p1-jj.byteimg.com/tos-cn-i-t2oaga2asx/gold-user-assets/2018/8/15/1653c442f35af77c~tplv-t2oaga2asx-image.image" alt="">
<!-- <link rel="stylesheet" href="c.css?t=6"> -->
<!-- <script src="http://a.jrg.com:8080/B.js?t=4" ></script>
<script src="http://b.jrg.com:8080/A.js?t=8" ></script> -->
</body>
</html>
(1)关于白屏,需要注意的是,浏览器对于样式和js的处理,即CSS 和 JS 放置顺序。推荐:将样式放在<head>里面,将JS放在<body>内部下方。
如上面代码所示,html页面里引入了两个css:a.css和b.css。b.css引用了c.ss(@import"./c.css?t=5";)b.css中加入了一个10s的延时文件(<link rel="stylesheet"href="b.css?t=10">),加载这个10s的css样式文件,浏览器是如何完成加载工作,有两种方式:
第1种: html解析完成,此时10s延时的css文件先不管,先展示<body>里所展示的内容,等css文件全加载后再去计算样式,再去重新渲染一次
第2种: 即使html的dom树已经解析、渲染都完成,对未加载完成的样式都必须等待,即css样式要全部加载、获取,img资源加载完成,此时底部JS立刻执行,才一次性展示出页面。例子中展示这种方法,即为白屏很久的原因。
(2)不同浏览器的不同处理机制所出现的场景不同
A、白屏场景(常出现在chrome): 打开一个国外网站,使用国外服务器,嵌在css的字体使用的是谷歌字体,运行特别慢,等了好久突然出现页面样式效果。这是因为页面需要等待css样式加载所有完成,甚至出现404加载失败,最后才展示出页面。那么那段加载时间,等待了几秒左右的白色一片的页面,就是白屏
B、Fouc场景(常出现在Firefox): 一开始的时候,先让你看见样式,如字的小号样式,样式加载完后看到所规定字号的大字。对用户来说,同样的样式,突然从小变大,则这个场景就是Fouc(无样式内容闪烁)。
总结: 不管是css样式,还是js文件,只要加长延时,都会造成白屏
(3)CSS 和 JS 最佳放置顺序
- 使用 link 标签将样式表放在顶部
- 将JS放在底部
(3.1)场景:假设JS文件页面顶部:
- JS脚本会阻塞后面内容的呈现
- JS脚本会阻塞其后组件(如图片)的下载
- JS加载时间过长,css需等待,则会出现一段时间白屏
场景说明: 引入一个JS文件在顶部,设置一个延时时间。
加载顺序: css—js—img—全部获取到展现页面效果
此时,img和css加载时会并发加载,即如一个域名下同时加载两个文件(并发是有限度的),加载在顶部的js时,会禁用并发img和css,并阻止其他内容下载和渲染。
js并不影响css加载,但是会影响css样式的一个计算。当js加载时,css已经获取到(不过此时页面还是一片空白),直到js获取立即执行后,图片立刻出现,页面才展示效果。所以js文件放入页面顶部<head>里,也会导致白屏现象出现
(3.2)JS加载特点总结
A、优先加载js文件,加载后js立刻去执行,展示页面(CSS样式则是全部加载完,然后一次性展示出页面)
注: css放前面,优先加载;若放后面,其他资源则会阻碍css加载,那么时机就太晚。
B、由于渲染线程和js脚本线程是互斥的,白屏是渲染进程被阻塞的原因,当碰到script标签的时候,会先执行js脚本,然后再渲染。
- (放顶部时)JS加载时机过晚导致一系列问题,脚本会阻塞后面内容的呈现、脚本会阻塞其后组件的下载(主要指img资源下载)、白屏等。
- (放底部)则可以先让其他先加载完成,JS立刻执行的特点可以“扫尾”最后的页面效果
C、JS脚本操作页面上的html+css元素,(放顶部时)JS先执行,元素都未加载到(即不存在),未出现在文档流中【加载,这里指资源加载和资源是否出现在文档流中】,所以也不能操作相应JS功能,此时后台将会报错。
D、(放顶部时)其他JS若作为一种框架语言,则能提前形成一个初步的框架有效构成页面结构。
二、JS脚本的异步加载
1、一个问题?
即一个放在的js文件,如下:
<script src="script.js"></script>
原本放在顶部的这个js文件,会提前加载,如何使它在顶部仍然稍后加载呢?
2、解决方法: async和defer
(1)作用:
没有 defer 或async,浏览器会立即加载并执行指定的脚本,“立即”指的是在渲染该<script>标签之下的文档元素之前,也就是说不等待后续载入的文档元素,读到就加载并执行。也就是说,使用defer或async后能够改变这种加载、执行的时机。
常应用在引用了广告和统计的页面中,不会影响、堵塞,更不会影响到到页面其他元素
(2)async
HTML5里为script标签里新增了async属性,用于异步加载脚本:
不保证顺序(独立的个体)
<script async src="script.js"></script>
/*或*/
<script type="text/javascript" src="alert.js" async="async"></script>
浏览器解析到HTML里的该行script标签,发现指定为async,会异步下载解析执行脚本(即加载后续文档元素的过程将和script.js的加载并行进行)。
页面的DOM结构里假设<script>在img之前,如果你的浏览器支持async的话,就会异步加载脚本。此时DOM里已经有img了,所以脚本里能顺利取到img的src并弹框。
(3)defer
<script>标签里可以设置defer,表示延迟加载脚本:脚本先不执行,延迟到文档解析和显示后执行,有顺序
<script defer src="script.js"></script>
/*或*/
<script type="text/javascript" src="alert.js" defer="defer"></script>
浏览器解析到HTML里该行<script>标签,发现指定为defer,会暂缓下载解析执行脚本,等到页面文档解析并加载执行完毕后,才会加载该脚本(更精确地说,是在DOM树构建完成后,在DOMContentLoaded事件触发前,加载defer的脚本)。
页面的DOM结构里假设script在img图片之前,如果你的浏览器支持defer的话,就会延迟到页面加载完后才下载脚本。此时DOM里已经有img元素了,所以脚本里能顺利取到img的src并弹框。
总结: JS实质采用一种可以更自由地选择加载时机和任何位置,让处于顶部的js文件能够像在底部时,在页面必要元素加载完成时进行“异步”加载。
三、同步与异步
- 同步:等待结果
- 异步:不等待结果
注意,异步常常伴随回调一起出现,但是异步不是回调,回调也不一定是异步。
// 同步的 sleep
function sleep(seconds){
var start = new Date()
while(new Date() - start < seconds * 1000){
}
return
}
console.log(1)
sleep(3) //3秒内要不断重复做一些无意义的工作才能保证js运行按顺序
console.log('wake up')
console.log(2)
//执行结果的顺序是:打印1——停3s——醒来——打印2,但事实上js环境内,停3s不可能不做事情

同步的 sleep
//异步的 sleep
function sleep(seconds, fn){
setTimeout(fn, seconds * 1000)
}
console.log(1)
sleep(3, ()=> console.log('wake up'))
console.log(2)

画一张同步&异步工作的示意图:

但是注意,在 JS 空闲的这段时间,实际上是浏览器中的计时器在工作(很有可能是每过一段时间检查是否时间到了,具体要看 Chrome 代码)
四、遇到异步实例
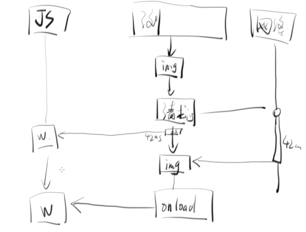
1、前端经常遇到的异步:图片加载是需要时间的
document.getElementsByTagNames('img')[0].width // 宽度为 0
console.log('done')
刚开始是直接获取宽度
<!DOCTYPE html>
<html>
<head>
<meta charset="utf-8">
<title>JS Bin</title>
</head>
<body>
<img src="https://p1-jj.byteimg.com/tos-cn-i-t2oaga2asx/gold-user-assets/2018/8/17/16546d713fd568f0~tplv-t2oaga2asx-image.image" alt="">
</body>
</html>
var w = document.getElementsByTagNames('img')[0].width
console.log(w)
先画一个示意图:

//先获取网络请求前img信息,为空对象
var img = document.getElementsByTagName('img')[0]
img等待网络请求完成后,获取完整图片信息后,便会触发一个onload事件:
//等待完成之后执行的内容:img如果加载成功,就会触发一个onload的事件,获取它的宽度并打印出宽度
img.onload = function(){
var w =img.width
console.log(w)
}
✨完整代码:
var img = document.getElementsByTagName('img')[0]
//异步不等继续执行,异步回调函数:等待到网络请求完成后触发onload事件
img.onload = function(){
var w =img.width
console.log(w)
}
console.log(img.width)
/*或*/
document.getElementsByTagNames('img')[0].onload = function(){
console.log(this.width) // 宽度不为 0
console.log('real done')
}
console.log('done')
总结: 异步想拿到一个结果,常采用监听一个事件,然后告知(这个事件的完成时间不确定,不可预测),那就可以挂一个函数在onload上,等你请求完成,调用一下onload事件,此为回调函数。
2、面试题中的异步
let liList = document.querySelectorAll('li')
for(var i=0; i<liList.length; i++){
liList[i].onclick = function(){
console.log(i)
}
}
//获取dom结构的所有li元素,获取li的长度去遍历,每一个点击后都能打印出东西
把 var i 改成 let 就可以破解:zhuanlan.zhihu.com/p/28140450
先让我运行上面的js代码:

var i = 0
【关键点】变量提升为:
var i
i =0
那么,代码如下:
let liList = document.querySelectorAll('li')
var i //i是贯穿6次循环的一个变量(没有多个)
for(i=0; i<liList.length; i++){
liList[i].onclick = function(){
console.log(i)
}
}
画一个时序图:

可以看出,js执行代码时,当i=5,i++结果为6的时候,并不小于liList.length,那么就跳出该循环,最后输出结果:i=6。js代码执行完,用户开始操作他的鼠标,假设等待3ms后,执行click li,当你最先click的时候(i=0,liList[0],此时js已经执行完代码,输出i = 6 ),而不是在绑定事件的时候打印出几,就是几。
在这里,我们有必要知道,异步函数以下绑定事件为:
XXXX.onclick function(){
console.log(i)
}
浏览器并未等该异步执行,直接进入for循环,直接将i=6输出,然后第一个click才出现,浏览器不会等click出现才去打印i 值
如何解决?——使用let
假设你已经知道let(不懂看这篇文章): 方应杭:我用了两个月的时间才理解let
将代码var i改为let:
let liList = document.querySelectorAll('li')
for(let i=0; i<liList.length; i++){
liList[i].onclick = function(){
console.log(i)
}
}
运行如下:

画一个运行图:【缺】
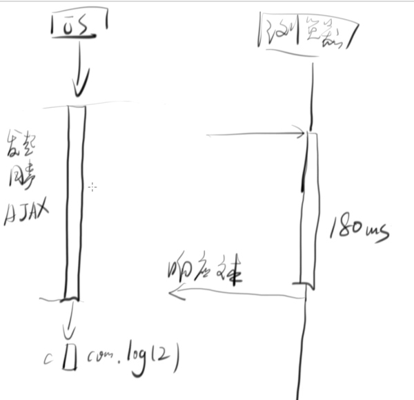
3、AJAX 中的异步(必须)
//同步的Ajax
let request = $.ajax({
url: '.', //1、获取当前 url
async: false
})//2、此时,该函数会等待请求完成才执行下一步
console.log(request.responseText)//打印出这个请求的响应文本,即当前html页面
//responseText:响应文本
相当于同步,js在该函数中什么都没做,但就是停了几十ms,如同一个呆滞的人白白浪费了一段空闲时间。
而Ajax的异步如何做?——async:true
$.ajax({
url: '.',
async: true,
success: function(responseText){
console.log(responseText)
}//表示:如果请求返回回来,麻烦调用以下success这个函数,然后把得出的结果打印出来
})
console.log('请求发送完毕')
在控制台上,模拟一个网速很慢的操作:Network——slow 3G,如图:

画一下图:

async:false,并模拟一个很慢的网速:Network——add,参数设置如下:


五、异步的形式
从上面的例子中:可以通过绑定onload事件获取宽度大小,或者ajax中的success函数。一般,有两种方式拿到异步结果
1、傻逼方法:轮询
2、正规方法:回调
回调的形式
- Node.js 的 error-first 形式
fs.readFile('./1.txt', (error, content)=>{
if(error){
// 失败
}else{
// 成功
}
})
-jQuery 的 success / error 形式
$.ajax({
url:'/xxx',
success:()=>{},
error: ()=>{}
})
-jQuery 的 done / fail / always 形式
$.ajax({
url:'/xxx',
}).done( ()=>{} ).fail( ()=>{} ).always( ()=> {})
- Prosmise 的 then 形式
$.ajax({
url:'/xxx',
}).then( ()=>{}, ()=>{} ).then( ()=>{})
六、如何处理异常?
- 如何使用多个 success 函数?
- 在有多个成功回调的情况下,如何处理异常?
自己返回 Promise
function ajax(){
return new Promise((resolve, reject)=>{
做事
如果成功就调用 resolve
如果失败就调用 reject
})
}
var promise = ajax()
promise.then(successFn, errorFn)
async / await
function buyFruit(){
return new Promise((resolve, reject)=>{
做事
如果成功就调用 resolve
如果失败就调用 reject
})
}
var promise = await ajax()
async functon fn(){
var result = await buyFruit()
return result
}
var r = await fn()
console.log(r)