前言
一提到React,学过的人都会想到提高性能的两大神奇特色:虚拟DOM & diff算法。React diff作为Virtual DOM的加速器,其算法的改进优化是React整的界面渲染的基础,以及性能提高的保障。虽然开发中不需要知道其运行机制,但是理解之后有助于更好的理解React组件的生命周期,以及优化React程序。
React diff表示什么?表示React针对传统的diff算法进行了React风格的优化!
传统diff算法
计算一棵树形结构转换成另一棵树形结构的最少操作,是一个复杂且值得研究的问题。
传统 diff 算法通过循环递归对节点进行依次对比,效率低下,算法复杂度达到 O(n^3),其中 n 是树中节点的总数。O(n^3) 到底有多可怕,这意味着如果要展示1000个节点,就要依次执行上十亿次的比较。代价太高。
如果 React 只是单纯的引入 diff 算法而没有任何的优化改进,那么其效率是远远无法满足前端渲染所要求的性能。
因此,想要将 diff 思想引入 Virtual DOM,就需要设计一种稳定高效的 diff 算法,而 React 做到了!
那么,React diff 到底是如何实现的呢?
React diff优化
传统的diff算法的复杂度为O(n^3),显然无法满足性能要求。Facebook工程师通过大胆的策略,将O(n^3)复杂度简化成了O(n),怎么做到的呢?
diff策略
- Web UI 中 DOM 节点跨层级的移动操作特别少,可以忽略不计。
- 拥有相同类的两个组件将会生成相似的树形结构,拥有不同类的两个组件将会生成不同的树形结构。
- 对于同一层级的一组子节点,它们可以通过唯一 id 进行区分。
基于以上三个前提策略,React团队对传统diff算法优化基于三个策略(《深入React技术栈》等讲的确实有点难理解且模糊,这边经过理解给出了自己的理解)
- a->tree diff
- b->component diff
- c->element diffd
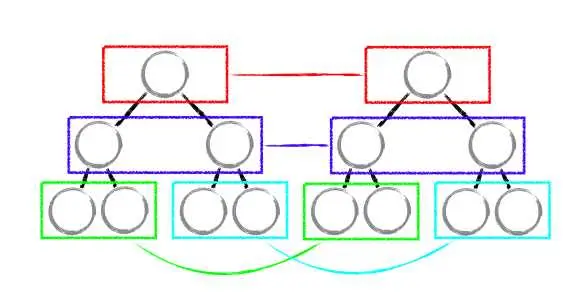
优化策略a: tree diff
基于tree diff策略,React对Virtual DOM树进行 分层比较、层级控制,只对相同颜色框内的节点进行比较(同一父节点的全部子节点),当发现某一子节点不在了直接删除该节点以及其所有子节点,不会用于进一步的比较,在算法层面上就是说只需要遍历一次就可以了,而无需在进行不必要的比较,便能完成整个DOM树的比较。
如图:

同属于分层比较、层级控制范畴,还会出现DOM节点跨层级的移动操作(React中这种情况DOM节点不稳定,损害性能,所以开发中不推荐这种情况的出现),React diff怎么解决的呢?如下图情况:

上面描述的是同一层次不同DOM节点范畴,React diff用趋近于‘暴力’的方式,并不是把A B C 直接拼接到 D 节点上,而是删除A B C 三个节点之后在 D 下面在创建的 A B C。这里不做详细分析,想直观理解该过程,建议阅读这篇用在生命周期里打log的方式展示上述过程
优化策略b: component diff
React是基于组件构建应用的,对于组件间的比较所采用的策略也是简洁高效。
- 对于同一类型的组件,根据Virtual DOM是否变化也分两种,可以用shouldComponentUpdate()判断Virtual DOM是否发生了变化,若没有变化就不需要在进行diff,这样可以节省大量时间,若变化了,就对相关节点进行update
- 对于非同一类的组件,则将该组件判断为 dirty component,从而替换整个组件下的所有子节点。
如下图,当 component D 改变为 component G 时,即使这两个 component 结构相似,一旦 React 判断 D 和 G 是不同类型的组件,就不会比较二者的结构,而是直接删除 component D,重新创建 component G 以及其子节点。虽然当两个 component 是不同类型但结构相似时,React diff 会影响性能,但正如 React 官方博客所言:不同类型的 component 是很少存在相似 DOM tree 的机会,因此这种极端因素很难在实现开发过程中造成重大影响的。

而如果上图中左一中的D节点只是单纯的改变什么state,update就好了。
优化策略c: element diff
所有同一层级的子节点.他们都可以通过key来区分-----并遵循策略a、b。

没经过优化的算法,实现新老交替的方法是将A B C D全部删除之后,在新建B A D C,这样的实现方法显然很垃圾,React diff怎么优化呢?是通过为每一个节点添加key值标识。
新老集合所包含的节点,如上图所示,新老集合进行 diff 差异化对比,通过 key 发现新老集合中的节点都是相同的节点,因此无需进行节点删除和创建,只需要将老集合中节点的位置进行移动,更新为新集合中节点的位置,此时 React 给出的 diff 结果为:B、D 不做任何操作,A、C 进行移动操作,即可。
上述分析的是新老集合中存在相同节点但是位置不同,要是有新加入的节点且有旧节点需要删除呢?这里不再啰嗦,如下图:

加了key的好处:
如果不加key,map遍历的时候控制台发出warn,既然是warn就说明不加也能实现遍历,但是是经过删除、创建、插入实现,这样的话损害性能可想而知,而加上key就可以有助于React diff算法结合Virtual DOM找到最合适的方式进行diff,最大限度的实现高效diff,即哪里需要改变,就改变哪里!
总结
- React 通过分层求异的策略,对 tree diff 进行算法优化;
- React 通过相同类生成相似树形结构,不同类生成不同树形结构的策略,对 component diff 进行算法优化;
- React 通过设置唯一 key的策略,对 element diff 进行算法优化;
- React 通过制定大胆的 diff 策略,将 O(n3) 复杂度的问题转换成 O(n) 复杂度的问题;
- 建议,开发时保持稳定的DOM结构有助于性能的提升;
参考
- 《深入React技术栈》
- React 源码剖析系列 - 不可思议的 react diff
- 浅谈React diff算法与key