推荐系统遇上深度学习(十三)--linUCB方法浅析及实现

1,446 阅读5分钟
原文链接: www.jianshu.com

上一篇中介绍了Bandit算法,并介绍了几种简单的实现,如 Epsilon-Greedy算法,Thompson sampling算法和UCB算法。

但是传统的实现方法存在很大的缺陷,主要是缺乏用附加信息刻画决策过程的机制。今天的文章就来介绍一种结合上下文信息的Bandit方法,LinUCB,它是Contextual bandits算法框架的一种。

本文的原文是雅虎的新闻推荐算法:arxiv.org/pdf/1003.01…。里面公式是真的挺多的,而且涉及到了两种linUCB算法,本文只介绍第一种方法。感兴趣的同学可以阅读原文。

LinUCB浅析

这里只简单介绍一下LinUCB算法的流程,真的是浅析,浅析!

在推荐系统中,通常把待推荐的商品作为MAB问题的arm。UCB是context-free类的算法,没有充分利用推荐场景的上下文信息,为所有用户的选择展现商品的策略都是相同的,忽略了用户作为一个个活生生的个性本身的兴趣点、偏好、购买力等因素,因而,同一个商品在不同的用户、不同的情景下接受程度是不同的。故在实际的推荐系统中,context-free的MAB算法基本都不会被采用。

与context-free MAB算法对应的是Contextual Bandit算法,顾名思义,这类算法在实现E&E时考虑了上下文信息,因而更加适合实际的个性化推荐场景。

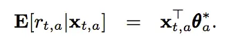
在LinUCB中,每一个arm维护一组参数,用户和每一个arm的组合可以形成一个上下文特征(上下文特征的特征维度为d),那么对于一个用户来说,在每个arm上所能够获得的期望收益如下:

对于一个老虎机来说,假设手机到了m次反馈,特征向量可以写作Da(维度为md),假设我们收到的反馈为Ca(维度为m1),那么通过求解下面的loss,我们可以得到当前每个老虎机的参数的最优解:

这其实就是岭回归嘛,我们很容易得到最优解为:

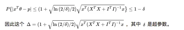
既然是UCB方法的扩展,我们除了得到期望值外,我们还需要一个置信上界,但是,我们没法继续用Chernoff-Hoeffding Bound的定理来量化这个上界,幸运的是,这个上界已经被人找到了:

因此,我们推荐的item就能够确定了:

可以看到,我们在计算参数及最后推荐结果的时候,用到了以下几部分的信息:上下文特征x,用户的反馈c。而这些信息都是可以每次都存储下来的,因此在收集到了一定的信息之后,参数都可以动态更新,因此我们说LinUCB是一种在线学习方法

什么是在线学习?个人简单的理解就是模型的训练和更新是在线进行的,能够实时的根据在线上的反馈更新模型的参数。

好了,我们来看一下linUCB算法的流程吧:

上面的ba可以理解为特征向量x和反馈r的乘积。

是否觉得一头雾水,不用着急,我们通过代码来一步步解析上面的流程。

2、linUCB代码实战

本文的代码地址为:github.com/princewen/t…

设定超参数和矩阵

首先我们设定一些超参数,比如α,正反馈和负反馈的奖励程度r1,r0,上下文特征的长度d

self.alpha = 0.25
self.r1 = 0.6
self.r0 = -16
self.d = 6  # dimension of user features

接下来,我们设定我们的几个矩阵,比如A和A的逆矩阵,b(x和r的乘积),以及参数矩阵:

self.Aa = {} # Aa : collection of matrix to compute disjoint part for each article a, d*d
self.AaI = {}  # AaI : store the inverse of all Aa matrix

self.ba = {}  # ba : collection of vectors to compute disjoin part, d*1
self.theta = {}

初始化矩阵

初始化矩阵对应上面的4-7步,A设置为单位矩阵,b设置为0矩阵,参数也设置为0矩阵,注意的是,每个arm都有这么一套矩阵:

def set_articles(self,art):
    for key in art:
        self.Aa[key] = np.identity(self.d) # 创建单位矩阵
        self.ba[key] = np.zeros((self.d,1))

        self.AaI[key] = np.identity(self.d)
        self.theta[key] = np.zeros((self.d,1))

计算推荐结果

计算推荐结果对应于上面的8-11步,我们直接根据公式计算当前的最优参数和置信上界,并选择最大的arm作为推荐结果。代码中有个小trick,及对所有的arm来说,共同使用一个特征,而不是每一个arm单独使用不同的特征:

def recommend(self,timestamp,user_features,articles):
    xaT = np.array([user_features]) # d * 1
    xa = np.transpose(xaT)

    AaI_tmp = np.array([self.AaI[article] for article in articles])
    theta_tmp = np.array([self.theta[article] for article in articles])
    art_max = articles[np.argmax(np.dot(xaT,theta_tmp) + self.alpha * np.sqrt(np.dot(np.dot(xaT,AaI_tmp),xa)))]

    self.x = xa
    self.xT = xaT

    self.a_max = art_max
    return self.a_max

更新矩阵信息

这对应于上面的12-13步,根据选择的最优arm,以及得到的用户反馈,我们更新A和b矩阵:

def update(self,reward):
    if reward == -1:
        pass
    elif reward == 1 or reward == 0:
        if reward == 1:
            r = self.r1
        else:
            r = self.r0

        self.Aa[self.a_max] += np.dot(self.x,self.xT)
        self.ba[self.a_max] += r * self.x
        self.AaI[self.a_max] = np.linalg.inv(self.Aa[self.a_max])
        self.theta[self.a_max] = np.dot(self.AaI[self.a_max],self.ba[self.a_max])

    else:
        # error

写到这里,本来应该就要结束了,可是脑子里又想到一个问题,为什么可以直接通过加法来更新A矩阵?其实是个很简单的问题,试着写出A矩阵中每个元素的计算公式来,问题就迎刃而解了!

结语

总结一下LinUCB算法,有以下优点(来自参考文献3,自己又增加了一条):
1)由于加入了特征,所以收敛比UCB更快(论文有证明);
2)特征构建是效果的关键,也是工程上最麻烦和值的发挥的地方;
3)由于参与计算的是特征,所以可以处理动态的推荐候选池,编辑可以增删文章;
4)特征降维很有必要,关系到计算效率。
5)是一种在线学习算法。

参考文献

1、arxiv.org/pdf/1003.01…
2、zhuanlan.zhihu.com/p/35753281
3、blog.csdn.net/legendavid/…
4、zhuanlan.zhihu.com/p/32382432