推荐系统遇上深度学习(一)--FM模型理论和实践

942 阅读6分钟
原文链接: www.jianshu.com

1、FM背景

在计算广告和推荐系统中,CTR预估(click-through rate)是非常重要的一个环节,判断一个商品的是否进行推荐需要根据CTR预估的点击率来进行。在进行CTR预估时,除了单特征外,往往要对特征进行组合。对于特征组合来说,业界现在通用的做法主要有两大类:FM系列与Tree系列。今天,我们就来讲讲FM算法。

2、one-hot编码带来的问题

FM(Factorization Machine)主要是为了解决数据稀疏的情况下,特征怎样组合的问题。已一个广告分类的问题为例,根据用户与广告位的一些特征,来预测用户是否会点击广告。数据如下:(本例来自美团技术团队分享的paper)

clicked是分类值,表明用户有没有点击该广告。1表示点击,0表示未点击。而country,day,ad_type则是对应的特征。对于这种categorical特征,一般都是进行one-hot编码处理。

将上面的数据进行one-hot编码以后,就变成了下面这样 :

因为是categorical特征,所以经过one-hot编码以后,不可避免的样本的数据就变得很稀疏。举个非常简单的例子,假设淘宝或者京东上的item为100万,如果对item这个维度进行one-hot编码,光这一个维度数据的稀疏度就是百万分之一。由此可见,数据的稀疏性,是我们在实际应用场景中面临的一个非常常见的挑战与问题。

one-hot编码带来的另一个问题是特征空间变大。同样以上面淘宝上的item为例,将item进行one-hot编码以后,样本空间有一个categorical变为了百万维的数值特征,特征空间一下子暴增一百万。所以大厂动不动上亿维度,就是这么来的。

3、对特征进行组合

普通的线性模型,我们都是将各个特征独立考虑的,并没有考虑到特征与特征之间的相互关系。但实际上,大量的特征之间是有关联的。最简单的以电商为例,一般女性用户看化妆品服装之类的广告比较多,而男性更青睐各种球类装备。那很明显,女性这个特征与化妆品类服装类商品有很大的关联性,男性这个特征与球类装备的关联性更为密切。如果我们能将这些有关联的特征找出来,显然是很有意义的。

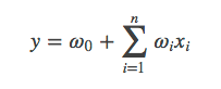
一般的线性模型为:

从上面的式子很容易看出,一般的线性模型压根没有考虑特征间的关联。为了表述特征间的相关性,我们采用多项式模型。在多项式模型中,特征xi与xj的组合用xixj表示。为了简单起见,我们讨论二阶多项式模型。具体的模型表达式如下:

上式中,n表示样本的特征数量,xi表示第i个特征。 与线性模型相比,FM的模型就多了后面特征组合的部分。

4、FM求解

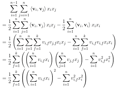
从上面的式子可以很容易看出,组合部分的特征相关参数共有n(n−1)/2个。但是如第二部分所分析,在数据很稀疏的情况下,满足xi,xj都不为0的情况非常少,这样将导致ωij无法通过训练得出。

为了求出ωij,我们对每一个特征分量xi引入辅助向量Vi=(vi1,vi2,⋯,vik)。然后,利用vivj^T对ωij进行求解。

那么ωij组成的矩阵可以表示为:

那么,如何求解vi和vj呢?主要采用了公式:

具体过程如下:

上面的式子中有同学曾经问我第一步是怎么推导的,其实也不难,看下面的手写过程(大伙可不要嫌弃字丑哟)

经过这样的分解之后,我们就可以通过随机梯度下降SGD进行求解:

5、tensorflow代码详解

代码参考地址:github.com/babakx/fm_t…
上面的代码使用的是python2编码,在python3下运行会出错,所以如果大家使用的是python3的话,可以参考我写的,其实就是修复了几个bug啦,哈哈。
我的github地址:
github.com/princewen/t…

本文使用的数据是MovieLens100k Datase,数据包括四列,分别是用户ID,电影ID,打分,时间。

输入变换

要使用FM模型,我们首先要将数据处理成一个矩阵,矩阵的大小是用户数 * 电影数。如何根据现有的数据进行处理呢?使用的是scipy.sparse中的csr.csr_matrix,理解这个函数真的费了不少功夫呢,不过还是在下面博客(blog.csdn.net/u012871493/…)的帮助下理解了函数的原理。盗用博客中的一张图来帮助大家理解这个函数的输入:

函数形式如下:

csr_matrix((data, indices, indptr)

可以看到,函数接收三个参数,第一个参数是数值,第二个参数是每个数对应的列号,第三个参数是每行的起始的偏移量,举上图的例子来说,第0行的起始偏移是0,第0行有2个非0值,因此第一行的起始偏移是2,第1行有两个非0值,因此第二行的起始偏移是4,依次类推。

下面的代码是如何将原始的文件输入转换成我们的矩阵:

def vectorize_dic(dic,ix=None,p=None,n=0,g=0):
    """
    dic -- dictionary of feature lists. Keys are the name of features
    ix -- index generator (default None)
    p -- dimension of featrure space (number of columns in the sparse matrix) (default None)
    """
    if ix==None:
        ix = dict()

    nz = n * g

    col_ix = np.empty(nz,dtype = int)

    i = 0
    for k,lis in dic.items():
        for t in range(len(lis)):
            ix[str(lis[t]) + str(k)] = ix.get(str(lis[t]) + str(k),0) + 1
            col_ix[i+t*g] = ix[str(lis[t]) + str(k)]
        i += 1

    row_ix = np.repeat(np.arange(0,n),g)
    data = np.ones(nz)
    if p == None:
        p = len(ix)

    ixx = np.where(col_ix < p)
    return csr.csr_matrix((data[ixx],(row_ix[ixx],col_ix[ixx])),shape=(n,p)),ix

cols = ['user','item','rating','timestamp']

train = pd.read_csv('data/ua.base',delimiter='\t',names = cols)
test = pd.read_csv('data/ua.test',delimiter='\t',names = cols)

x_train,ix = vectorize_dic({'users':train['user'].values,
                            'items':train['item'].values},n=len(train.index),g=2)


x_test,ix = vectorize_dic({'users':test['user'].values,
                           'items':test['item'].values},ix,x_train.shape[1],n=len(test.index),g=2)


y_train = train['rating'].values
y_test = test['rating'].values

x_train = x_train.todense()
x_test = x_test.todense()

如果不做处理,函数返回的矩阵是按如下的格式保存的:

使用todense变换后,变成如下样式:

估计值计算
得到我们的输入之后,我们使用tensorflow来设计我们的模型,其实很简单啦,我们模型的估计值由两部分构成,原始的可以理解为线性回归的部分,以及交叉特征的部分,交叉特征直接使用我们最后推导的形式即可,再回顾一遍:

因此,我们需要定义三个placeholder,分别是输入的x,输入的y,以及我们的 用户数*电影数大小的待学习的fm矩阵:

n,p = x_train.shape

k = 10

x = tf.placeholder('float',[None,p])

y = tf.placeholder('float',[None,1])

w0 = tf.Variable(tf.zeros([1]))
w = tf.Variable(tf.zeros([p]))

v = tf.Variable(tf.random_normal([k,p],mean=0,stddev=0.01))

#y_hat = tf.Variable(tf.zeros([n,1]))

linear_terms = tf.add(w0,tf.reduce_sum(tf.multiply(w,x),1,keep_dims=True)) # n * 1
pair_interactions = 0.5 * tf.reduce_sum(
    tf.subtract(
        tf.pow(
            tf.matmul(x,tf.transpose(v)),2),
        tf.matmul(tf.pow(x,2),tf.transpose(tf.pow(v,2)))
    ),axis = 1 , keep_dims=True)


y_hat = tf.add(linear_terms,pair_interactions)

定义损失函数

这里我们定义的损失函数除了平方损失外,还加了l2正则项,并使用梯度下降法进行参数的更新:

lambda_w = tf.constant(0.001,name='lambda_w')
lambda_v = tf.constant(0.001,name='lambda_v')

l2_norm = tf.reduce_sum(
    tf.add(
        tf.multiply(lambda_w,tf.pow(w,2)),
        tf.multiply(lambda_v,tf.pow(v,2))
    )
)

error = tf.reduce_mean(tf.square(y-y_hat))
loss = tf.add(error,l2_norm)


train_op = tf.train.GradientDescentOptimizer(learning_rate=0.01).minimize(loss)

模型训练
接下来就是训练啦,这段代码比较好理解:

epochs = 10
batch_size = 1000

# Launch the graph
init = tf.global_variables_initializer()
with tf.Session() as sess:
    sess.run(init)

    for epoch in tqdm(range(epochs), unit='epoch'):
        perm = np.random.permutation(x_train.shape[0])
        # iterate over batches
        for bX, bY in batcher(x_train[perm], y_train[perm], batch_size):
            _,t = sess.run([train_op,loss], feed_dict={x: bX.reshape(-1, p), y: bY.reshape(-1, 1)})
            print(t)


    errors = []
    for bX, bY in batcher(x_test, y_test):
        errors.append(sess.run(error, feed_dict={x: bX.reshape(-1, p), y: bY.reshape(-1, 1)}))
        print(errors)
    RMSE = np.sqrt(np.array(errors).mean())
    print (RMSE)

参考文章:

1、blog.csdn.net/bitcarmanle…
2、blog.csdn.net/u012871493/…