特性

堆结构很像二叉树,堆也是一个近似树形结构,堆的每个节点也最多有左、右两个孩子,但是堆实质是存储在数组中的结构,所以他和二叉树只是近似的有某些共同的特性。
- 第一特性,堆结构是存储在数组中的。
- 堆通过 priority 优先事项进行排序,可以分为,max-priority(最高优先级)、和 max-priority(最低优先级)两种
- 二叉搜索树中,有left<parent<right 的特性,但是在堆中,只是只能保证孩子一定是小于或大于父节点的。
- 二叉树在存储的过程中需要更多的内存,因为节点需要存储指向父节点,子节点等的指针,但是堆不需要,他存储在数组中
- 二叉树中的一些特别树,如红黑树,AVL树等,删除,插入,及搜索的多度都很快,但是,堆结构的搜索相对来说会慢很多,但是堆结构对于查找,最大或者最小等需求时,查找速度是很快的。
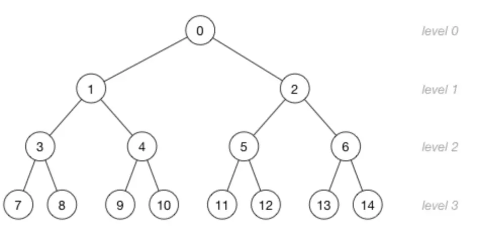
- 堆有一个很重要的特性,就是只有在上一层完全满之后,才能到下一层来进行存储,不允许中间某个节点的子节点为空,因为是通过数组存储的嘛
前面说过堆结构实际存储在数组中,他具体的形式如下


从上面的图中可以推导出,一个重要的公式: 节点 node 的孩子在数组中的位置: 左孩子:index = 2 * i + 1 右孩子:index = 2 * i + 2 其中i为当前节点n在数组中的下标
插入及删除
堆结构的插入及删除操作的基本思路如下:
- 插入: 插入时一定是从最后面开始插入,类似入队操作,插入后,用新节点和父节点比,如果优先级大于父节点,则和父节点交互位置后,继续和新的父节点比较,依次类推
- 删除:删除通常为删除最大的节点,即根节点,过程为,先将根节点和最后面的节点互换位置后,在删除最后面的节点,即原来的根节点,然后用根节点和子节点向下进行比较,如果小于子节点,则互换位置,依次类推。 时刻谨记,堆结构是存储在数组中的。
实现
struct Heap<Element> {
///存放元素的数组
var elements: [Element]
//比较两个元素大小的方法
let priorityFunction: (Element, Element) -> Bool
init(elements: [Element] = [], priorityFunction: @escaping (Element, Element) -> Bool) { // 1 // 2
self.elements = elements
self.priorityFunction = priorityFunction // 3
buildHeap() // 4
}
mutating func buildHeap() {
for index in (0 ..< count / 2).reversed() { // 5
siftDown(index) // 6
}
}
var isEmpty : Bool {
return elements.isEmpty
}
var count : Int {
return elements.count
}
func peek() -> Element? {
return elements.first
}
func isRoot(_ index: Int) -> Bool {
return (index == 0)
}
///当前节点的左孩子
func leftChildIndex(of index: Int) -> Int {
return (2 * index) + 1
}
///当前节点的右孩子
func rightChildIndex(of index: Int) -> Int {
return (2 * index) + 2
}
///当前节点的父节点
func parentIndex(of index: Int) -> Int {
return (index - 1) / 2
}
//插入
mutating func equeue(_ element: Element) {
elements.append(element)
siftUP(elementAtIndex: elements.count - 1)
}
//删除
mutating func dequeue() -> Element? {
//判空
guard !isEmpty else { return nil }
//将第一个节点和最后一个节点交换位置
swapElement(at: 0, with: count - 1)
//删除原本的第一个,现在的最后一个
elements.removeLast()
guard !isEmpty else { return nil }
//向下判断,新的节点是不是优先级最高的节点
return nil
}
}
private extension Heap {
func isHigherPriority(firstIndex: Int, secondIndex: Int) -> Bool{
return priorityFunction(elements[firstIndex], elements[secondIndex])
}
func highestPriorityIndex(of parentIndex: Int, and childIndex: Int) -> Int {
guard childIndex < count && isHigherPriority(firstIndex: childIndex, secondIndex: parentIndex)
else { return parentIndex }
return childIndex
}
func highestPriorityIndex(for parent: Int) -> Int {
return highestPriorityIndex(of: highestPriorityIndex(of: parent, and: leftChildIndex(of: parent)), and: rightChildIndex(of: parent))
}
mutating func swapElement(at firstIndex: Int, with secondIndex: Int) {
guard firstIndex != secondIndex
else { return }
elements.swapAt(firstIndex, secondIndex)
}
mutating func siftDown(_ elementIndex: Int) {
//从当前节点及子节点中找出优先级最高的节点
let highestIndex = highestPriorityIndex(for: elementIndex)
//如果当前节点就是优先级最高的节点,直接放回
if highestIndex == elementIndex { return }
//如果不是优先级最高的节点,和优先级最高的节点对换位置
swapElement(at: elementIndex, with: highestIndex)
//从新的节点开始递归的向下判断优先级
siftDown(highestIndex)
}
mutating func siftUP(elementAtIndex: Int) {
//获得父节点的索引
let parentIndex = self.parentIndex(of: elementAtIndex)
//如果当前节点不是根节点,比较当前节点和父节点的优先级
guard !isRoot(elementAtIndex), isHigherPriority(firstIndex: elementAtIndex, secondIndex: parentIndex) else {
return
}
//如果当前节点的优先级高于父节点,兑换位置
swapElement(at: elementAtIndex, with: parentIndex)
//递归的从新的父节点开始向上比较
siftUP(elementAtIndex: parentIndex)
}
}