Android Matrix详解

5,163 阅读34分钟
原文链接: www.cnblogs.com

Matrix的数学原理

平移变换

旋转变换

缩放变换

错切变换

对称变换

代码验证

 

Matrix的数学原理

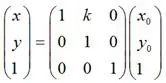
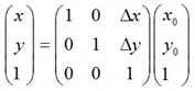
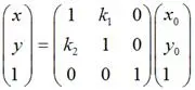
在Android中,如果你用Matrix进行过图像处理,那么一定知道Matrix这个类。Android中的Matrix是一个3 x 3的矩阵,其内容如下:

 

Matrix的对图像的处理可分为四类基本变换:

Translate           平移变换

Rotate                旋转变换

Scale                  缩放变换

Skew                  错切变换

 

从字面上理解,矩阵中的MSCALE用于处理缩放变换,MSKEW用于处理错切变换,MTRANS用于处理平移变换,MPERSP用于处理透视变换。实际中当然不能完全按照字面上的说法去理解Matrix。同时,在Android的文档中,未见到用Matrix进行透视变换的相关说明,所以本文也不讨论这方面的问题。

 

针对每种变换,Android提供了pre、set和post三种操作方式。其中

set用于设置Matrix中的值。

pre是先乘,因为矩阵的乘法不满足交换律,因此先乘、后乘必须要严格区分。先乘相当于矩阵运算中的右乘。

post是后乘,因为矩阵的乘法不满足交换律,因此先乘、后乘必须要严格区分。后乘相当于矩阵运算中的左乘。

 

除平移变换(Translate)外,旋转变换(Rotate)、缩放变换(Scale)和错切变换(Skew)都可以围绕一个中心点来进行,如果不指定,在默认情况下是围绕(0, 0)来进行相应的变换的。

 

下面我们来看看四种变换的具体情形。由于所有的图形都是有点组成,因此我们只需要考察一个点相关变换即可。

 

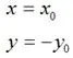
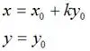
一、 平移变换

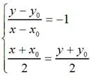
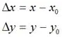
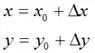
假定有一个点的坐标是 ,将其移动到 ,再假定在x轴和y轴方向移动的大小分别为:


如下图所示:


不难知道:


如果用矩阵来表示的话,就可以写成:

 

 

二、 旋转变换

 

2.1    围绕坐标原点旋转:

假定有一个点 ,相对坐标原点顺时针旋转后的情形,同时假定P点离坐标原点的距离为r,如下图:


那么,


如果用矩阵,就可以表示为:


 

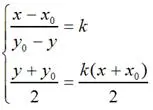
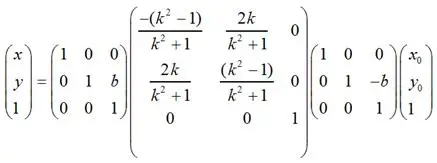
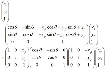
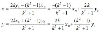
2.2    围绕某个点旋转

如果是围绕某个点顺时针旋转,那么可以用矩阵表示为:


可以化为:


很显然,

1.   

  是将坐标原点移动到点后, 的新坐标。

2.     


是将上一步变换后的,围绕新的坐标原点顺时针旋转 。

3.     


经过上一步旋转变换后,再将坐标原点移回到原来的坐标原点。

 

所以,围绕某一点进行旋转变换,可以分成3个步骤,即首先将坐标原点移至该点,然后围绕新的坐标原点进行旋转变换,再然后将坐标原点移回到原先的坐标原点。

 

三、 缩放变换

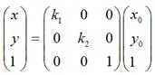
理论上而言,一个点是不存在什么缩放变换的,但考虑到所有图像都是由点组成,因此,如果图像在x轴和y轴方向分别放大k1k2倍的话,那么图像中的所有点的x坐标和y坐标均会分别放大k1k2倍,即


用矩阵表示就是:


缩放变换比较好理解,就不多说了。

 

四、 错切变换

错切变换(skew)在数学上又称为Shear mapping(可译为“剪切变换”)或者Transvection(缩并),它是一种比较特殊的线性变换。错切变换的效果就是让所有点的x坐标(或者y坐标)保持不变,而对应的y坐标(或者x坐标)则按比例发生平移,且平移的大小和该点到x轴(或y轴)的垂直距离成正比。错切变换,属于等面积变换,即一个形状在错切变换的前后,其面积是相等的。

比如下图,各点的y坐标保持不变,但其x坐标则按比例发生了平移。这种情况将水平错切。


下图各点的x坐标保持不变,但其y坐标则按比例发生了平移。这种情况叫垂直错切。

 

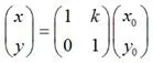
假定一个点经过错切变换后得到,对于水平错切而言,应该有如下关系:


用矩阵表示就是:


扩展到3 x 3的矩阵就是下面这样的形式:

 

同理,对于垂直错切,可以有:


在数学上严格的错切变换就是上面这样的。在Android中除了有上面说到的情况外,还可以同时进行水平、垂直错切,那么形式上就是:


 

五、 对称变换

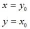
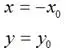
除了上面讲到的4中基本变换外,事实上,我们还可以利用Matrix,进行对称变换。所谓对称变换,就是经过变化后的图像和原图像是关于某个对称轴是对称的。比如,某点 经过对称变换后得到

如果对称轴是x轴,难么,


用矩阵表示就是:


如果对称轴是y轴,那么,


用矩阵表示就是:


如果对称轴是y = x,如图:


那么,


很容易可以解得:


用矩阵表示就是:


同样的道理,如果对称轴是y = -x,那么用矩阵表示就是:

 

特殊地,如果对称轴是y = kx,如下图:


那么,


很容易可解得:


用矩阵表示就是:


k = 0时,即y = 0,也就是对称轴为x轴的情况;当k趋于无穷大时,即x = 0,也就是对称轴为y轴的情况;当k =1时,即y = x,也就是对称轴为y = x的情况;当k = -1时,即y = -x,也就是对称轴为y = -x的情况。不难验证,这和我们前面说到的4中具体情况是相吻合的。

 

如果对称轴是y = kx + b这样的情况,只需要在上面的基础上增加两次平移变换即可,即先将坐标原点移动到(0, b),然后做上面的关于y = kx的对称变换,再然后将坐标原点移回到原来的坐标原点即可。用矩阵表示大致是这样的:


需要特别注意:在实际编程中,我们知道屏幕的y坐标的正向和数学中y坐标的正向刚好是相反的,所以在数学上y = x和屏幕上的y = -x才是真正的同一个东西,反之亦然。也就是说,如果要使图片在屏幕上看起来像按照数学意义上y = x对称,那么需使用这种转换:


要使图片在屏幕上看起来像按照数学意义上y = -x对称,那么需使用这种转换:
 

关于对称轴为y = kx y = kx + b的情况,同样需要考虑这方面的问题。

第二部分 代码验证

在第一部分中讲到的各种图像变换的验证代码如下,一共列出了10种情况。如果要验证其中的某一种情况,只需将相应的代码反注释即可。试验中用到的图片:


其尺寸为162 x 251。

 

每种变换的结果,请见代码之后的说明。

  1. <span style="font-size:13px;"></span><pre name="code" class= "java">package com.pat.testtransformmatrix;  
  2.   
  3. import android.app.Activity;  
  4. import android.content.Context;  
  5. import android.graphics.Bitmap;  
  6. import android.graphics.BitmapFactory;  
  7. import android.graphics.Canvas;  
  8. import android.graphics.Matrix;  
  9. import android.os.Bundle;  
  10. import android.util.Log;  
  11. import android.view.MotionEvent;  
  12. import android.view.View;  
  13. import android.view.Window;  
  14. import android.view.WindowManager;  
  15. import android.view.View.OnTouchListener;  
  16. import android.widget.ImageView;  
  17.   
  18. public class TestTransformMatrixActivity extends Activity  
  19. implements  
  20. OnTouchListener  
  21. {  
  22.     private TransformMatrixView view;  
  23.     @Override  
  24.     public void onCreate(Bundle savedInstanceState)  
  25.     {  
  26.         super.onCreate(savedInstanceState);  
  27.         requestWindowFeature(Window.FEATURE_NO_TITLE);  
  28.         this.getWindow().setFlags(WindowManager.LayoutParams.FLAG_FULLSCREEN, WindowManager.LayoutParams.FLAG_FULLSCREEN);  
  29.   
  30.         view = new TransformMatrixView(this);  
  31.         view.setScaleType(ImageView.ScaleType.MATRIX);  
  32.         view.setOnTouchListener(this);  
  33.           
  34.         setContentView(view);  
  35.     }  
  36.       
  37.     class TransformMatrixView extends ImageView  
  38.     {  
  39.         private Bitmap bitmap;  
  40.         private Matrix matrix;  
  41.         public TransformMatrixView(Context context)  
  42.         {  
  43.             super(context);  
  44.             bitmap = BitmapFactory.decodeResource(getResources(), R.drawable.sophie);  
  45.             matrix = new Matrix();  
  46.         }  
  47.   
  48.         @Override  
  49.         protected void onDraw(Canvas canvas)  
  50.         {  
  51.             // 画出原图像  
  52.             canvas.drawBitmap(bitmap, 00 null);  
  53.             // 画出变换后的图像  
  54.             canvas.drawBitmap(bitmap, matrix, null);  
  55.             super.onDraw(canvas);  
  56.         }  
  57.   
  58.         @Override  
  59.         public void setImageMatrix(Matrix matrix)  
  60.         {  
  61.             this.matrix.set(matrix);  
  62.             super.setImageMatrix(matrix);  
  63.         }  
  64.           
  65.         public Bitmap getImageBitmap()  
  66.         {  
  67.             return bitmap;  
  68.         }  
  69.     }  
  70.   
  71.     public boolean onTouch(View v, MotionEvent e)  
  72.     {  
  73.         if(e.getAction() == MotionEvent.ACTION_UP)  
  74.         {  
  75.             Matrix matrix = new Matrix();  
  76.             // 输出图像的宽度和高度(162 x 251)  
  77.             Log.e("TestTransformMatrixActivity""image size: width x height = " +  view.getImageBitmap().getWidth() +  " x " + view.getImageBitmap().getHeight());  
  78.             // 1. 平移  
  79.             matrix.postTranslate(view.getImageBitmap().getWidth(), view.getImageBitmap().getHeight());  
  80.             // 在x方向平移view.getImageBitmap().getWidth(),在y轴方向view.getImageBitmap().getHeight()  
  81.             view.setImageMatrix(matrix);  
  82.               
  83.             // 下面的代码是为了查看matrix中的元素  
  84.             float[] matrixValues = new  float[9];  
  85.             matrix.getValues(matrixValues);  
  86.             for(int i = 0; i <  3; ++i)  
  87.             {  
  88.                 String temp = new String();  
  89.                 for(int j =  0; j < 3; ++j)  
  90.                 {  
  91.                     temp += matrixValues[3 * i + j ] +  "\t";  
  92.                 }  
  93.                 Log.e("TestTransformMatrixActivity", temp);  
  94.             }  
  95.               
  96.   
  97. //          // 2. 旋转(围绕图像的中心点)  
  98. //          matrix.setRotate(45f, view.getImageBitmap().getWidth() / 2f, view.getImageBitmap().getHeight() / 2f);  
  99. //            
  100. //          // 做下面的平移变换,纯粹是为了让变换后的图像和原图像不重叠  
  101. //          matrix.postTranslate(view.getImageBitmap().getWidth() * 1.5f, 0f);  
  102. //          view.setImageMatrix(matrix);  
  103. //  
  104. //          // 下面的代码是为了查看matrix中的元素  
  105. //          float[] matrixValues = new float[9];  
  106. //          matrix.getValues(matrixValues);  
  107. //          for(int i = 0; i < 3; ++i)  
  108. //          {  
  109. //              String temp = new String();  
  110. //              for(int j = 0; j < 3; ++j)  
  111. //              {  
  112. //                  temp += matrixValues[3 * i + j ] + "\t";  
  113. //              }  
  114. //              Log.e("TestTransformMatrixActivity", temp);  
  115. //          }  
  116.               
  117.               
  118. //          // 3. 旋转(围绕坐标原点) + 平移(效果同2)  
  119. //          matrix.setRotate(45f);  
  120. //          matrix.preTranslate(-1f * view.getImageBitmap().getWidth() / 2f, -1f * view.getImageBitmap().getHeight() / 2f);  
  121. //          matrix.postTranslate((float)view.getImageBitmap().getWidth() / 2f, (float)view.getImageBitmap().getHeight() / 2f);  
  122. //            
  123. //          // 做下面的平移变换,纯粹是为了让变换后的图像和原图像不重叠  
  124. //          matrix.postTranslate((float)view.getImageBitmap().getWidth() * 1.5f, 0f);  
  125. //          view.setImageMatrix(matrix);  
  126. //            
  127. //          // 下面的代码是为了查看matrix中的元素  
  128. //          float[] matrixValues = new float[9];  
  129. //          matrix.getValues(matrixValues);  
  130. //          for(int i = 0; i < 3; ++i)  
  131. //          {  
  132. //              String temp = new String();  
  133. //              for(int j = 0; j < 3; ++j)  
  134. //              {  
  135. //                  temp += matrixValues[3 * i + j ] + "\t";  
  136. //              }  
  137. //              Log.e("TestTransformMatrixActivity", temp);  
  138. //          }             
  139.               
  140. //          // 4. 缩放  
  141. //          matrix.setScale(2f, 2f);  
  142. //          // 下面的代码是为了查看matrix中的元素  
  143. //          float[] matrixValues = new float[9];  
  144. //          matrix.getValues(matrixValues);  
  145. //          for(int i = 0; i < 3; ++i)  
  146. //          {  
  147. //              String temp = new String();  
  148. //              for(int j = 0; j < 3; ++j)  
  149. //              {  
  150. //                  temp += matrixValues[3 * i + j ] + "\t";  
  151. //              }  
  152. //              Log.e("TestTransformMatrixActivity", temp);  
  153. //          }  
  154. //            
  155. //          // 做下面的平移变换,纯粹是为了让变换后的图像和原图像不重叠  
  156. //          matrix.postTranslate(view.getImageBitmap().getWidth(), view.getImageBitmap().getHeight());  
  157. //          view.setImageMatrix(matrix);  
  158. //            
  159. //          // 下面的代码是为了查看matrix中的元素  
  160. //          matrixValues = new float[9];  
  161. //          matrix.getValues(matrixValues);  
  162. //          for(int i = 0; i < 3; ++i)  
  163. //          {  
  164. //              String temp = new String();  
  165. //              for(int j = 0; j < 3; ++j)  
  166. //              {  
  167. //                  temp += matrixValues[3 * i + j ] + "\t";  
  168. //              }  
  169. //              Log.e("TestTransformMatrixActivity", temp);  
  170. //          }  
  171.   
  172.               
  173. //          // 5. 错切 - 水平  
  174. //          matrix.setSkew(0.5f, 0f);  
  175. //          // 下面的代码是为了查看matrix中的元素  
  176. //          float[] matrixValues = new float[9];  
  177. //          matrix.getValues(matrixValues);  
  178. //          for(int i = 0; i < 3; ++i)  
  179. //          {  
  180. //              String temp = new String();  
  181. //              for(int j = 0; j < 3; ++j)  
  182. //              {  
  183. //                  temp += matrixValues[3 * i + j ] + "\t";  
  184. //              }  
  185. //              Log.e("TestTransformMatrixActivity", temp);  
  186. //          }  
  187. //            
  188. //          // 做下面的平移变换,纯粹是为了让变换后的图像和原图像不重叠           
  189. //          matrix.postTranslate(view.getImageBitmap().getWidth(), 0f);  
  190. //          view.setImageMatrix(matrix);  
  191. //            
  192. //          // 下面的代码是为了查看matrix中的元素  
  193. //          matrixValues = new float[9];  
  194. //          matrix.getValues(matrixValues);  
  195. //          for(int i = 0; i < 3; ++i)  
  196. //          {  
  197. //              String temp = new String();  
  198. //              for(int j = 0; j < 3; ++j)  
  199. //              {  
  200. //                  temp += matrixValues[3 * i + j ] + "\t";  
  201. //              }  
  202. //              Log.e("TestTransformMatrixActivity", temp);  
  203. //          }  
  204.               
  205. //          // 6. 错切 - 垂直  
  206. //          matrix.setSkew(0f, 0.5f);  
  207. //          // 下面的代码是为了查看matrix中的元素  
  208. //          float[] matrixValues = new float[9];  
  209. //          matrix.getValues(matrixValues);  
  210. //          for(int i = 0; i < 3; ++i)  
  211. //          {  
  212. //              String temp = new String();  
  213. //              for(int j = 0; j < 3; ++j)  
  214. //              {  
  215. //                  temp += matrixValues[3 * i + j ] + "\t";  
  216. //              }  
  217. //              Log.e("TestTransformMatrixActivity", temp);  
  218. //          }  
  219. //            
  220. //          // 做下面的平移变换,纯粹是为了让变换后的图像和原图像不重叠               
  221. //          matrix.postTranslate(0f, view.getImageBitmap().getHeight());  
  222. //          view.setImageMatrix(matrix);  
  223. //            
  224. //          // 下面的代码是为了查看matrix中的元素  
  225. //          matrixValues = new float[9];  
  226. //          matrix.getValues(matrixValues);  
  227. //          for(int i = 0; i < 3; ++i)  
  228. //          {  
  229. //              String temp = new String();  
  230. //              for(int j = 0; j < 3; ++j)  
  231. //              {  
  232. //                  temp += matrixValues[3 * i + j ] + "\t";  
  233. //              }  
  234. //              Log.e("TestTransformMatrixActivity", temp);  
  235. //          }             
  236.               
  237. //          7. 错切 - 水平 + 垂直  
  238. //          matrix.setSkew(0.5f, 0.5f);  
  239. //          // 下面的代码是为了查看matrix中的元素  
  240. //          float[] matrixValues = new float[9];  
  241. //          matrix.getValues(matrixValues);  
  242. //          for(int i = 0; i < 3; ++i)  
  243. //          {  
  244. //              String temp = new String();  
  245. //              for(int j = 0; j < 3; ++j)  
  246. //              {  
  247. //                  temp += matrixValues[3 * i + j ] + "\t";  
  248. //              }  
  249. //              Log.e("TestTransformMatrixActivity", temp);  
  250. //          }  
  251. //            
  252. //          // 做下面的平移变换,纯粹是为了让变换后的图像和原图像不重叠               
  253. //          matrix.postTranslate(0f, view.getImageBitmap().getHeight());  
  254. //          view.setImageMatrix(matrix);  
  255. //            
  256. //          // 下面的代码是为了查看matrix中的元素  
  257. //          matrixValues = new float[9];  
  258. //          matrix.getValues(matrixValues);  
  259. //          for(int i = 0; i < 3; ++i)  
  260. //          {  
  261. //              String temp = new String();  
  262. //              for(int j = 0; j < 3; ++j)  
  263. //              {  
  264. //                  temp += matrixValues[3 * i + j ] + "\t";  
  265. //              }  
  266. //              Log.e("TestTransformMatrixActivity", temp);  
  267. //          }  
  268.               
  269. //          // 8. 对称 (水平对称)  
  270. //          float matrix_values[] = {1f, 0f, 0f, 0f, -1f, 0f, 0f, 0f, 1f};  
  271. //          matrix.setValues(matrix_values);  
  272. //          // 下面的代码是为了查看matrix中的元素  
  273. //          float[] matrixValues = new float[9];  
  274. //          matrix.getValues(matrixValues);  
  275. //          for(int i = 0; i < 3; ++i)  
  276. //          {  
  277. //              String temp = new String();  
  278. //              for(int j = 0; j < 3; ++j)  
  279. //              {  
  280. //                  temp += matrixValues[3 * i + j ] + "\t";  
  281. //              }  
  282. //              Log.e("TestTransformMatrixActivity", temp);  
  283. //          }  
  284. //            
  285. //          // 做下面的平移变换,纯粹是为了让变换后的图像和原图像不重叠   
  286. //          matrix.postTranslate(0f, view.getImageBitmap().getHeight() * 2f);  
  287. //          view.setImageMatrix(matrix);  
  288. //            
  289. //          // 下面的代码是为了查看matrix中的元素  
  290. //          matrixValues = new float[9];  
  291. //          matrix.getValues(matrixValues);  
  292. //          for(int i = 0; i < 3; ++i)  
  293. //          {  
  294. //              String temp = new String();  
  295. //              for(int j = 0; j < 3; ++j)  
  296. //              {  
  297. //                  temp += matrixValues[3 * i + j ] + "\t";  
  298. //              }  
  299. //              Log.e("TestTransformMatrixActivity", temp);  
  300. //          }             
  301.               
  302. //          // 9. 对称 - 垂直  
  303. //          float matrix_values[] = {-1f, 0f, 0f, 0f, 1f, 0f, 0f, 0f, 1f};  
  304. //          matrix.setValues(matrix_values);  
  305. //          // 下面的代码是为了查看matrix中的元素  
  306. //          float[] matrixValues = new float[9];  
  307. //          matrix.getValues(matrixValues);  
  308. //          for(int i = 0; i < 3; ++i)  
  309. //          {  
  310. //              String temp = new String();  
  311. //              for(int j = 0; j < 3; ++j)  
  312. //              {  
  313. //                  temp += matrixValues[3 * i + j ] + "\t";  
  314. //              }  
  315. //              Log.e("TestTransformMatrixActivity", temp);  
  316. //          }     
  317. //            
  318. //          // 做下面的平移变换,纯粹是为了让变换后的图像和原图像不重叠   
  319. //          matrix.postTranslate(view.getImageBitmap().getWidth() * 2f, 0f);  
  320. //          view.setImageMatrix(matrix);  
  321. //            
  322. //          // 下面的代码是为了查看matrix中的元素  
  323. //          matrixValues = new float[9];  
  324. //          matrix.getValues(matrixValues);  
  325. //          for(int i = 0; i < 3; ++i)  
  326. //          {  
  327. //              String temp = new String();  
  328. //              for(int j = 0; j < 3; ++j)  
  329. //              {  
  330. //                  temp += matrixValues[3 * i + j ] + "\t";  
  331. //              }  
  332. //              Log.e("TestTransformMatrixActivity", temp);  
  333. //          }  
  334.   
  335.               
  336. //          // 10. 对称(对称轴为直线y = x)  
  337. //          float matrix_values[] = {0f, -1f, 0f, -1f, 0f, 0f, 0f, 0f, 1f};  
  338. //          matrix.setValues(matrix_values);  
  339. //          // 下面的代码是为了查看matrix中的元素  
  340. //          float[] matrixValues = new float[9];  
  341. //          matrix.getValues(matrixValues);  
  342. //          for(int i = 0; i < 3; ++i)  
  343. //          {  
  344. //              String temp = new String();  
  345. //              for(int j = 0; j < 3; ++j)  
  346. //              {  
  347. //                  temp += matrixValues[3 * i + j ] + "\t";  
  348. //              }  
  349. //              Log.e("TestTransformMatrixActivity", temp);  
  350. //          }  
  351. //            
  352. //          // 做下面的平移变换,纯粹是为了让变换后的图像和原图像不重叠               
  353. //          matrix.postTranslate(view.getImageBitmap().getHeight() + view.getImageBitmap().getWidth(),   
  354. //                  view.getImageBitmap().getHeight() + view.getImageBitmap().getWidth());  
  355. //          view.setImageMatrix(matrix);  
  356. //            
  357. //          // 下面的代码是为了查看matrix中的元素  
  358. //          matrixValues = new float[9];  
  359. //          matrix.getValues(matrixValues);  
  360. //          for(int i = 0; i < 3; ++i)  
  361. //          {  
  362. //              String temp = new String();  
  363. //              for(int j = 0; j < 3; ++j)  
  364. //              {  
  365. //                  temp += matrixValues[3 * i + j ] + "\t";  
  366. //              }  
  367. //              Log.e("TestTransformMatrixActivity", temp);  
  368. //          }  
  369.               
  370.             view.invalidate();  
  371.         }  
  372.         return true;  
  373.     }  
  374. }  



 

下面给出上述代码中,各种变换的具体结果及其对应的相关变换矩阵

1.     平移

输出的结果:

请对照第一部分中的“一、平移变换”所讲的情形,考察上述矩阵的正确性。

 

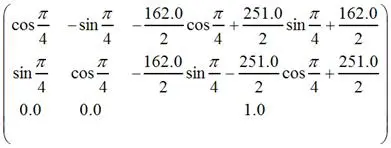
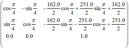
2.     旋转(围绕图像的中心点)

输出的结果:

它实际上是

matrix.setRotate(45f,view.getImageBitmap().getWidth() / 2f, view.getImageBitmap().getHeight() / 2f);

matrix.postTranslate(view.getImageBitmap().getWidth()* 1.5f, 0f);

这两条语句综合作用的结果。根据第一部分中“二、旋转变换”里面关于围绕某点旋转的公式,

matrix.setRotate(45f,view.getImageBitmap().getWidth() / 2f, view.getImageBitmap().getHeight() / 2f);

所产生的转换矩阵就是:

而matrix.postTranslate(view.getImageBitmap().getWidth()* 1.5f, 0f);的意思就是在上述矩阵的左边再乘以下面的矩阵:

关于post是左乘这一点,我们在前面的理论部分曾经提及过,后面我们还会专门讨论这个问题。

 

所以它实际上就是:

出去计算上的精度误差,我们可以看到我们计算出来的结果,和程序直接输出的结果是一致的。

 

3.     旋转(围绕坐标原点旋转,在加上两次平移,效果同2)

根据第一部分中“二、旋转变换”里面关于围绕某点旋转的解释,不难知道:

matrix.setRotate(45f,view.getImageBitmap().getWidth() / 2f, view.getImageBitmap().getHeight() / 2f);

等价于

matrix.setRotate(45f);

matrix.preTranslate(-1f* view.getImageBitmap().getWidth() / 2f, -1f *view.getImageBitmap().getHeight() / 2f);

matrix.postTranslate((float)view.getImageBitmap().getWidth()/ 2f, (float)view.getImageBitmap().getHeight() / 2f);

 

其中matrix.setRotate(45f)对应的矩阵是:

matrix.preTranslate(-1f* view.getImageBitmap().getWidth() / 2f, -1f * view.getImageBitmap().getHeight()/ 2f)对应的矩阵是:

由于是preTranslate,是先乘,也就是右乘,即它应该出现在matrix.setRotate(45f)所对应矩阵的右侧。

 

matrix.postTranslate((float)view.getImageBitmap().getWidth()/ 2f, (float)view.getImageBitmap().getHeight() / 2f)对应的矩阵是:

这次由于是postTranslate,是后乘,也就是左乘,即它应该出现在matrix.setRotate(45f)所对应矩阵的左侧。

 

所以综合起来,

matrix.setRotate(45f);

matrix.preTranslate(-1f* view.getImageBitmap().getWidth() / 2f, -1f *view.getImageBitmap().getHeight() / 2f);

matrix.postTranslate((float)view.getImageBitmap().getWidth()/ 2f, (float)view.getImageBitmap().getHeight() / 2f);

对应的矩阵就是:

这和下面这个矩阵(围绕图像中心顺时针旋转45度)其实是一样的:

因此,此处变换后的图像和2中变换后的图像时一样的。

 

4.     缩放变换

程序所输出的两个矩阵分别是:

其中第二个矩阵,其实是下面两个矩阵相乘的结果:

 

大家可以对照第一部分中的“三、缩放变换”和“一、平移变换”说法,自行验证结果。

 

5.     错切变换(水平错切)

代码所输出的两个矩阵分别是:

其中,第二个矩阵其实是下面两个矩阵相乘的结果:

 

大家可以对照第一部分中的“四、错切变换”和“一、平移变换”的相关说法,自行验证结果。

 

6.     错切变换(垂直错切)

代码所输出的两个矩阵分别是:

其中,第二个矩阵其实是下面两个矩阵相乘的结果:

大家可以对照第一部分中的“四、错切变换”和“一、平移变换”的相关说法,自行验证结果。

 

7.     错切变换(水平+垂直错切)

代码所输出的两个矩阵分别是:

其中,后者是下面两个矩阵相乘的结果:

大家可以对照第一部分中的“四、错切变换”和“一、平移变换”的相关说法,自行验证结果。

 

8.     对称变换(水平对称)

代码所输出的两个各矩阵分别是:

其中,后者是下面两个矩阵相乘的结果:

 

大家可以对照第一部分中的“五、对称变换”和“一、平移变换”的相关说法,自行验证结果。

 

9.     对称变换(垂直对称)

代码所输出的两个矩阵分别是:

其中,后者是下面两个矩阵相乘的结果:

 

大家可以对照第一部分中的“五、对称变换”和“一、平移变换”的相关说法,自行验证结果。

 

10.   对称变换(对称轴为直线y = x)

代码所输出的两个矩阵分别是:

其中,后者是下面两个矩阵相乘的结果:

 

大家可以对照第一部分中的“五、对称变换”和“一、平移变换”的相关说法,自行验证结果。

 

11.   关于先乘和后乘的问题

由于矩阵的乘法运算不满足交换律,我们在前面曾经多次提及先乘、后乘的问题,即先乘就是矩阵运算中右乘,后乘就是矩阵运算中的左乘。其实先乘、后乘的概念是针对变换操作的时间先后而言的,左乘、右乘是针对矩阵运算的左右位置而言的。以第一部分“二、旋转变换”中围绕某点旋转的情况为例:

 

越靠近原图像中像素的矩阵,越先乘,越远离原图像中像素的矩阵,越后乘。事实上,图像处理时,矩阵的运算是从右边往左边方向进行运算的。这就形成了越在右边的矩阵(右乘),越先运算(先乘),反之亦然。

 

当然,在实际中,如果首先指定了一个matrix,比如我们先setRotate(),即指定了上面变换矩阵中,中间的那个矩阵,那么后续的矩阵到底是pre还是post运算,都是相对这个中间矩阵而言的。