写在前面
其实准备ARKit已经很久了,确切地说当WWDC开始介绍时就开始了。其后参加了苹果的ARKit workShop,加上自己有点事,所以文章一直没发出来,现在再发一篇上手文章,也没什么意义。所以本篇文章重在workShop上与苹果工程师的交流和我对ARKit的理解, 最后会简单介绍一下相关技术。
Work Shop Demo
MarkDown无法传视频,这里是视频链接。

ARKit

ARKit Logo
AR(Augment Reality)大家都知道,就是将3D模型渲染在摄像头图像之上,混合渲染达到虚拟物品就好像是现实的一部分。ARKit解决了模型定位难的问题,结合CoreMotion运动数据与图像处理数据,来建立一个非常准确的SLAM系统,构建虚拟世界和现实世界之间的映射。同时能够分析环境自动给模型添加光源,实际效果还是比较惊艳的。
从结构上看,ARKit提供了一套简单易用的AR框架,但框架之外,需要很多的三维空间、游戏编程、3D模型、GPU渲染的知识来理解AR技术。ARKit最重要的两个类是
ARSession与ARSCNView

session-view
类似与AVFoudation,ARKit中由ARSesseion类来配置SLAM系统的建立。设置RSession的配置选项为ARWorldTrackingSessionConfiguration来追踪设备的方向与位置,并且能够检测平面。这个选项只有A9处理器之上才支持。其他型号处理器(6S以下)只能追踪设备的方向。 ARKit的提供了自带的两个渲染类:ARSCNView和ARSKView,后者用来渲染2D模型。之前鲜有问津的SceneKit算是有了用武之地。这两个类会自动开启摄像头并建立虚拟空间与现实空间之间的映射。同时ARKit也支持自定义用OpenGL或Metal实现渲染类,但要自己管理与ARSession之间的通信,同时要遵循iOS GPU命令不能在后台调用的规则。
其他比较重要的类有ARAnchor、ARHitTestResult、ARFrame、ARCamera。
- ARAnchor
世界中点,可以用来放置虚拟物品,也可以代指现实物品的放置位置。ARAnchor在世界中是唯一的,并包含仿射变换的信息。
- ARHitTestResult
HitTest的返回,世界中的ARAnchor。 与UIKit中的hitTest不同,ARKit的HitTest以设备方向配合视图坐标,建立一条世界中的射线,所有在射 线上的ARAnchor, 会以由近到远的方式返回。此外SCeneKit的HitTest返回虚拟物品。
- ARFrame
摄像头视频帧的包装类,包含位置追踪信息、环境参数、视频帧。重点是它包含了苹果检测的特征点,通过rawFeaturePoints可以获取,不过只是特征的位置,具体的特征向量并没有开放。
- ARCamera
场景中的摄像机,用来控制模型视图变换和投影变换。同时提供6DOF(自由度信息,方向+位置)与追踪信息。
对ARKit的思考
从框架接口来看,ARKit 暴露出来的能力并不多且小心翼翼。 AR的能力,由三部分组成:
- 3D渲染
- 空间定位与方向追踪
- 场景理解(检测与识别)
目前看 ARKit 只提供了3D渲染的入口,其他两个都被封装起来了,所以目前来看渲染是差异化的主要途径,但不唯一。ARKit workShop 上,面对大家提出的苛刻问题,苹果工程师大量提到特征点。其实计算机视觉是可以在场景理解这一层面做一些自定义的。如果苹果开放更多的能力,那AR的能力完全可以作为任何一个APP的特性。 此外,ARKit还存在一些问题:
- ARKit 是基于惯性-视觉来做空间定位的,需要平稳缓慢的移动+转向手机,才能构建更加准确的世界,这对用户来说是一种考验,需要积极提示。
- 理论上 ARKit 在双目摄像头上的表现应该优于单目,这里需要具体测试,如何来平衡用户体验。
- .scn文件还是知识一个简单的3维模型编辑器,支持的文件格式少,对模型、光照的编辑方式不太友好。对骨骼动画的支持还有只在能用的阶段。
- 一旦刚开始检测平面失败,出现时间久,飘逸的现象,后期很难再正确检测,要强制重启。
ARKit最佳实践
模型与骨骼动画
- 如果是使用.dae 转 .scn 文件,资源中包含骨骼动画时,加载.scn文件到 scene 中会丢失动画,需要在加载时手动恢复一下(方法)。
- 设计骨骼动画是,要求设计师把动画放在根节点上,不要分散地放在每个bone上,这样可以方便地读取出动画到
CAAnimation。 - 最好不要将太远的光照加载模型文件中,这样会导致加载文件到
SCNNdoe时,你的 node 真实尺寸特别大,而你期望的尺寸可能只是模型对象的大小。 - 模型的
SCNMaterial是用 physically based lighting model 会有更好的表现,设置比较好的环境光也比较重要。
光照
- 合理的阴影会大大提高AR的效果,贴一张纹理当然可以,但动态阴影更让人沉浸,我们还是要有追求的。
- 使用Bake ambient occlusion(ABO)效果,模型会更逼真。
- 光照node加载到
SCNScene的rootNode上,这对做碰撞检测尤其重要
ARKit workShop
汇总了一下workShop上,比较感兴趣的问题和苹果工程师的回答,掺杂自己的理解。
1 . ARFrame提供的YUV特征,如何获取RGB特征?
答:使用Metal去获取特征点的RGB值。 (这个我一般是用OpenGL的shader去做,我想苹果工程师是说将图像用Metal转成位图后,根据坐标去获取RGB值。但特征点不多的话,直接在CPU中利用公式计算一下不就行了吗?不过也许Metal有更强大的方法。)
2 . ARKit中怎么做虚拟环境?
答:利用Cube背景。 (这个在VR中用的比较多,就是用一个贴满背景的立方体包裹住摄像机所在的空间,网上的资料较多。)
3 . ARKit的如何模拟光源的?为什么不产生阴影。
答:ARKit通过图像的环境来设置模型的环境光强度,而环境光是不产生阴影的。
(我猜苹果应该是通过像素值来确定环境光的,如果用高级一点的方法完全可以添加直射光。光照有许多模型,只有带方向的光才会产生阴影,如果想用ARKit做出阴影,可以看我的回答。)
4 . AVFoudation与ARSession之间的切换会有问题吗?
答: ARSession底层也是用AVFoudation的,如果重新打开ARKit,只需要重新 run 一下 ARSession 可以了,但切换时会有卡顿。
(我自己试了一下,切换时确实有轻微的卡顿,切换后ARSession就停止摄像头采集了,但3D渲染会继续,只是丧失了空间定位与检测识别的能力。)
5 . ARKit是否支持前置摄像头?
答:不支持。ARKit并不是一个用于前置摄像头环境的技术,因为空间有限,能提供的信息也非常有限。 (这个问题是很多参会者关心的问题,但 ARKit 团队似乎不是很 care ,说到底还是因为前置摄像头的场景中,用户很少会移动,画面中一般大部分都是人脸,这样 ARKit 的定位与检测能力无法很好使用。建议由类似需求的同学好好梳理,是不是想要的是3D渲染而不是AR。
6 . ARKit的最大应用范围是多少?
答:100米是 ARKit 在保持较好用户体验的最大测量距离。 (这个其实我有点没太听清,实际数字应该是100米以上)
7 . ARKit如何做marker?
答:ARKit不会提供这样的能力,如果想实现的,可以用 ARKit 提供的特征点来跑自己的计算机视觉。 (熟悉计算机视觉的同学应该都明白,其实marker就是一种简单的图像识别,如果 ARKit 提供的特征点可靠的话,完全可以自己做特征匹配。现场问了苹果工程师,他们的特征点是什么特征,他们不愿回答,不过看使用场景的话,应该是一种边缘敏感的低维特征,应该类似 PCA + SURF)。
8 . ARKit合适支持A8?性能如何?
答:支持A8处理器并不在计划中(这里指的是空间定位能力,A8只支持空间方向追踪),ARKit 的大部分计算都是在CPU上处理的,在A8处理器上的性能损耗在 15% ~ 25%, 在A9处理器上的性能损耗在 10% ~ 15%。 (看他们的意思,大量的计算,在A8上应该是比较低效的,解释了为什么A8上的追踪能力是阉割版的。性能应该说还不错,与游戏类似)
9 . 如何追踪实际的物体?
答:可以在已识别的物体位置上,添加一个node, 这样就能在之后的处理中一直保持这个物体的追踪。 (这次的wrokShop,苹果大量提到他们的特征点,如果他们真的足够重视的话,应该开放特征检测的过程与特征向量,希望后期能够开放吧)
10 . 如何连接两个不同 ARKit 世界?
答:ARKit没有计划支持这些,比较 tricky 的做法是将两个手机紧挨着启动ARKit。 (这个也是很多参会者关注的问题,相信不少人已经有了自己的解决方案,这里我后期会出一篇文章讲解。)
AR相关
渲染
AR说到底还是一种游戏技术,AR提供了定位、检测平面的功能,这些功能并没有暴露出来供我们自定义,那么只能在渲染方面做出差异。 目前ARKit支持的3D渲染引擎,有sceneKit,Unity3D,UE。后两者都是成熟的游戏引擎,能够提供完整的游戏功能,但没有我们没有使用,主要因为:
- 上手较慢,iOS11 9月中旬就要发布了,时间紧促。
- 接入Unity3D会给安装包造成很大压力,成本大约10M。
最终决定还是用sceneKit,主要出于一下考虑:
- ARKit目前对Unity3D,UE的支持没有sceneKit好。
- sceneKit用OC写,可以OCS。
- sceneKit是系统动态库,对安装包压力不大。
- sceneKit虽然能力弱,但是对于AR来说足够了,AR毕竟打造不了复杂的游戏。
坐标系
ARKit和OpenGL一样,使用右手坐标系, 这个新建一个camera就可以看出来。

camera -w500
定位
将模型加载到空间中,需要6个自由度(6DOF)的信息来指定模型的表现:

6DOF
分别是沿三个坐标轴的平移与旋转。 可以使用旋转矩阵、欧拉角、四元数来定义空间旋转,ARKit的这三种方式均有运用。
- 旋转矩阵
这个好理解,使用旋转的变换矩阵即可,维度4*4,定义一次旋转需要16个数。
- 欧拉角
把空间旋转分解成绕三个局部坐标轴的平面旋转,分别是pitch(俯仰角,绕x轴),yaw(偏航角,绕y轴),roll(翻滚角,绕z轴),然后以一定顺序做旋转(sceneKit中是 roll -> yew -> pitch),欧拉角是使用三个 3*3 矩阵连乘实现,而且存在万向锁的问题。

rotation matirx
当pitch为90°时,pitch与yew的旋转轴重合了,这时飞机丧失了一个旋转的维度。

eulars1 angle

eulars2 angle
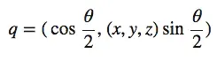
- 四元数
将三维空间的旋转表示成四维空间的超球面上位移, 概念有点复杂。简单来说,我们只需要旋转轴 $ \overrightarrow{u}= (x, y, z) $ ,和角度 𝛉 来构造一个单位四元数 q:

quaternion
那么旋转可以定位为:

quaternion result
对任何需要旋转的点$\overrightarrow{v}= (r, d, t)$ ,将它扩展成一个纯四元数$\overrightarrow{p}= (r, d, t,0)$ ,代入上面的公式,就可以得到旋转后的点。
追踪
visual-inertial odometry :基于视觉和惯性的测量方法,惯性数据是指角速度和加速度,这些都由Core Motion提供,加上图像特征,能够更准确地建立SLAM系统。ARKit会将提取到的特征点映射的空间中,也就是说特征点是由三维坐标的,我们可以利用特征点来确定图像中物体的远近。实测效果不错,误差在分米以内。