图像的二值化
在先前的文章二值图像分析:案例实战(文本分离+硬币计数)中已经介绍过,什么是图像的二值化以及二值化的作用。
这次,我们借助cv4j来实现简单的基于内容的图像分析。
轮廓分析(Contour Analysis)
轮廓(Contours),指的是有相同颜色或者密度,连接所有连续点的一条曲线。检测轮廓的工作对形状分析和物体检测与识别都非常有用。
完整的轮廓分析大致是这样的:
第一步,先对图片进行二值化。当然,也可以直接用Canny进行检测边缘,在本文中我们采用二值化。
CV4JImage cv4JImage = new CV4JImage(bitmap);
Threshold threshold = new Threshold();
threshold.process((ByteProcessor)(cv4JImage.convert2Gray().getProcessor()),Threshold.THRESH_OTSU,Threshold.METHOD_THRESH_BINARY,255);
image1.setImageBitmap(cv4JImage.getProcessor().getImage().toBitmap());第二步,连通组件标记。
ConnectedAreaLabel connectedAreaLabel = new ConnectedAreaLabel();
connectedAreaLabel.setFilterNoise(true);
int[] mask = new int[cv4JImage.getProcessor().getWidth() * cv4JImage.getProcessor().getHeight()];
connectedAreaLabel.process((ByteProcessor)cv4JImage.getProcessor(),mask,null,false);
SparseIntArray colors = new SparseIntArray();
Random random = new Random();
int height = cv4JImage.getProcessor().getHeight();
int width = cv4JImage.getProcessor().getWidth();
int size = height * width;
for (int i = 0;i<size;i++) {
int c = mask[i];
if (c>=0) {
colors.put(c, Color.argb(255, random.nextInt(255),random.nextInt(255),random.nextInt(255)));
}
}
cv4JImage.resetBitmap();
Bitmap newBitmap = cv4JImage.getProcessor().getImage().toBitmap();
for(int row=0; row<height; row++) {
for (int col = 0; col < width; col++) {
int c = mask[row*width+col];
if (c>=0) {
newBitmap.setPixel(col,row,colors.get(c));
}
}
}
image2.setImageBitmap(newBitmap);在识别出的连通组件上进行着色,颜色是随机产生的。

第三步,进行轮廓分析。
// 轮廓分析
Bitmap thirdBitmap = Bitmap.createBitmap(newBitmap);
ContourAnalysis ca = new ContourAnalysis();
List<MeasureData> measureDatas = new ArrayList<>();
ca.process((ByteProcessor)(cv4JImage.convert2Gray().getProcessor()),mask,measureDatas);
Canvas canvas = new Canvas(thirdBitmap);
Paint paint = new Paint();
paint.setColor(Color.WHITE);
for (MeasureData data:measureDatas) {
canvas.drawText(data.toString(),data.getCp().x,data.getCp().y,paint);
}
image3.setImageBitmap(thirdBitmap);
我们提供了ContourAnalysis类来实现轮廓分析。最后,在识别的物体中心添加了一段文字描述。
把第三步的结果放大,可以看到具体的描述内容。包含了物体的质心、轮廓旋转的角度、面积(像素的面积)以及圆度(测量轮廓为圆的可能性)

将这些描述内容打印到日志中。

ContourAnalysis采用几何距的算法。 矩是描述图像特征的算子,主要应用于图像检索和识别 、图像匹配 、图像重建 、数字压缩 、数字水印及运动图像序列分析等。
一阶矩和零阶矩用来计算某个形状的重心。

其中,M00是零阶矩,M10、M01是一阶矩。ic和jc是图像的重心坐标。
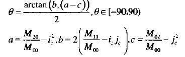
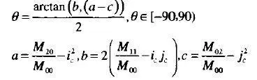
二阶矩用来计算形状的方向。

那么物体的方向,

好了,算法介绍到这里,如果对ContourAnalysis类感兴趣,可以查阅cv4j 的代码。
总结
cv4j 是gloomyfish和我一起开发的图像处理库,纯java实现,目前还处于早期的版本。本周我们修复了一些之前的bug。下周,我们开始做直方图。
该系列先前的文章:
基于边缘保留滤波实现人脸磨皮的算法
二值图像分析---案例实战(文本分离+硬币计数)
Java实现高斯模糊和图像的空间卷积
Java实现图片滤镜的高级玩法
Java实现图片的滤镜效果